Matematik 2 Final 11. Deneme Sınavı
Toplam 20 Soru1.Soru
Aşağıdaki matris oyununda oyunun yukarı değeri seçeneklerden hangisidir?
|
-9 |
|
0 |
|
2 |
|
3 |
|
7 |
Sütunlardaki en büyük değerler sırasıyla 2 ve 7’dir. Bu değerleri seçtiğinde oyuncunun garantilemiş olduğu getiri en büyük olur. Oyuncu minimizasyon yaptığı için 1. sütunu seçip, yukarı değer olan 2 sayısını belirlemiş olur. Doğru yanıt C şıkkıdır.
2.Soru
Doğrusal şifreleme fonksiyonu ş(x)=7x+5 (mod 13) ile x=4 sayısının şifrelenmişi aşağıdakilerden hangisidir?
|
7
|
|
0
|
|
4
|
|
12
|
|
2
|
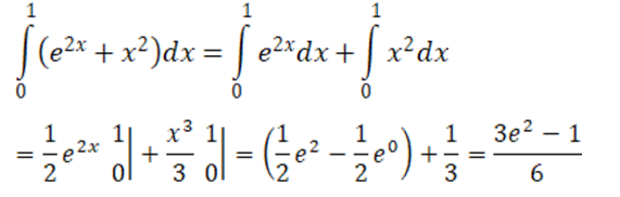
3.Soru
integralinin değeri aşağıdakilerden hangisidir?
|
|
|
|
|
|
|
|
|
|
olur.
4.Soru
Doğrusal şifreleme fonksiyonu
veriliyor.
değerinin şifrelenmiş hali hangisidir?
|
0 |
|
1 |
|
2 |
|
3 |
|
4 |
Doğru cevap A’dır.
5.Soru
EBOB(76,114)=?
|
38 |
|
19 |
|
2 |
|
3 |
|
6 |
76=22x19 olduğundan ve 114=2x3x19 olduğundan EBOB(76,114)=2x19=38 elde edilir.
6.Soru
Bir düzlemsel çizgede bölge sayısı 4, kenar sayısı 7 ise köşe sayısı aşağıdakilerden hangisidir?
|
3
|
|
4
|
|
5
|
|
6
|
|
7
|
7.Soru
Verilen çizgenin köşe noktaları komşu noktalar farklı renklerde olarak şekilde kaç renk ile boyanabilir?
|
6 |
|
5 |
|
4 |
|
3 |
|
2 |
Bir çizgenin tüm köşe noktalarının derecesi en fazla d ise bu çizgenin köşe noktaları, komşu noktalar farklı renklerde olacak şekilde d+1 renk ile boyanır. Verilen çizgenin e köşe nokta derecesi 5 olduğunda 5+1 = 6 tane farklı renk olur.
8.Soru
4 köşe noktası olan farklı ağaçların sayısı aşağıdakilerden hangisidir?
|
8
|
|
16
|
|
14
|
|
12
|
|
32
|
9.Soru
|
|
|
|
|
|
|
|
|
|
. Bu iki eğrinin arakesit noktası (1,1) dir. Bölgenin x ekseni üzerine izdüşümü alınırsa [0,1] kapalı aralığı elde edilir. O halde integralin sınırları 0 dan 1 e olur. Bölgeyi sınırlayan üstteki eğriden alttaki eğriyi çıkardığımızda integrali alınacak fonksiyonu belirlemiş oluruz
10.Soru
Aşağıda matrisi verilen oyunun aşağı değeri ile yukarı değerinin toplamı kaçtır?
|
0 |
|
1 |
|
-1 |
|
2 |
|
-2 |
Önce aşağı değeri bulalım: I. oyuncu birinci satırı seçtiğinde {1,0,3,-2} sayılarının en küçüğü olan -2, ikinci satırı seçtiğinde {-1,2,4,-1} sayılarının en küçüğü olan -1, üçüncü satırı seçtiğinde ise {-2,-3,1,2} sayılarının en küçüğü olan -3 getirilerini garanti eder. I. oyuncu maksimizasyon yaptığı için bu getirilerin en büyüğü olan -1’i elde edeceği 2. satırı seçer. Dolayısıyla oyunun aşağı değeri -1 dir.
Benzer şekilde oyunun yukarı değerini bulalım: II. oyuncu birinci sütunu seçtiğinde {1,-1,-2} sayılarının en büyüğü olan 1, ikinci sütunu seçtiğinde {0,2,-3} sayılarının en büyüğü olan 2, üçüncü sütunu seçtiğinde {3,4,1} sayılarının en büyüğü olan 4 ve dördüncü sütunu seçtiğinde {-2,-1,2} sayılarının en büyüğü olan 2 kayıplarını garanti eder. II. oyuncu minimizasyon yaptığı için bu kayıpların en küçüğü olan 1’in bulunduğu birinci sütunu seçer. Birinci sütunu seçtiğinde garantilenmiş olan kayıp 1’dir. Dolayısıyla yukarı değer 1’dir. O halde oyunun aşağı ve yukarı değerlerinin toplamı -1+1=0 olur.
11.Soru
Aşağıdakilerden hangisi Euler formülünü verir?
|
yüzlerin sayısı-köşelerin sayısı=ayrıtların sayısı+2 |
|
yüzlerin sayısı+köşelerin sayısı=ayrıtların sayısı+2 |
|
yüzlerin sayısı.köşelerin sayısı=ayrıtların sayısı+2 |
|
yüzlerin sayısı+köşelerin sayısı=ayrıtların sayısı-2 |
|
ayrıtların sayısı+köşelerin sayısı=2.yüzlerin sayısı |
Eüler formülünü veren ifade
yüzlerin sayısı+köşelerin sayısı=ayrıtların sayısı+2 dir.
12.Soru
Belirli bir zaman aralığında piyasada üreticilerin değişik fiyat düzeyinde satmaya istekli oldukları mal veya hizmet miktarına ne ad verilir?
|
Arz
|
|
Talep
|
|
Tüketici Rantı
|
|
Mal Miktarı
|
|
Piyasa Fiyatı
|
14.Soru
Aşağıdakilerden hangisi matematiksel probleme neden oyun denilmesinin sebeplerinden değildir?
|
Belli bir kural söz konusudur.
|
|
Her bir oyuncunun kazancı bir tek kendi seçtiği stratejiye bağlı olmayıp, diğer oyuncuların seçtikleri stratejilere de bağlıdır.
|
|
Her bir oyuncu strateji seçerken diğer oyuncuların strateji kümelerini, kazanç fonksiyonlarını biliyor ancak hangi stratejiyi seçeceğini bilmemektedir.
|
|
Her bir taraf için en iyi strateji seçme problemine bu taraflar arasında bir oyun karakteri vermektedir.
|
|
Karma stratejiler kullanılırken oyunların tekrarlanmaması varsayılmaktadır.
|
15.Soru
Bir düzlemsel çizgede bölge sayısı kenar sayısı, köşe sayısı ve kenar sayıları birbirine eşit ise kenar sayısı kaçtır?
|
1 |
|
2 |
|
3 |
|
4 |
|
5 |
Bölge sayısı+ köşe sayısı= kenar sayısı+2
Bölge sayısı=köşe sayısı= kenar sayısı=x olup
x+x=x+2 den x=2 dir.
16.Soru
Aşağıdaki noktalardan hangisi
eşitsizliğini sağlar?
|
(2,2) |
|
(2,3) |
|
(10,5) |
|
(5,25) |
|
(2,1) |
(5,25) noktası verilen eşitsizliği sağlar: 5x-y=5.5-25=0<4.
17.Soru
9 günde bir nöbet tutan bir doktor ilk nöbetini Salı günü tuttuğuna göre 13. Nöbetini hangi günde tutar?
|
Cuma |
|
Cumartesi |
|
Pazar |
|
Pazartesi |
|
Salı |
İlk nöbeti Salı günü tutuyorsa geriye 12 nöbeti kalır.
Son nöbeti Salı dan 3 gün sonra Cuma günü olacaktır.
Doğru cevap A seçeneğidir.
18.Soru
Aşağıdaki sayı ikililerinden hangisi aralarında asaldır?
|
12 ve 21
|
|
45 ve 72
|
|
35 ve 56
|
|
21 ve 45
|
|
69 ve 98
|
19.Soru
mod 7'e göre 12x5 işleminin sonucu aşağıdakilerden hangisidir?
|
4
|
|
3
|
|
6
|
|
2
|
|
5
|
20.Soru
I. 1, 2, 1, 2, 4
II. 1, 3, 2, 5, 2
III. 1, 1, 2, 1, 2
IV. 5, 5, 5, 5, 5
Yukarıdaki ifadelerden kaç tanesi bir çizgenin tüm köşe noktalarının derecelerinin bir dizisi olabilir?
|
0 |
|
1 |
|
2 |
|
3 |
|
4 |
Bir çizgenin tüm köşe noktalarının derecelerinin toplamı çift sayıdır. Yalnızca I ifadesindeki derecelerin toplamı çift sayıdır.
-
- 1.SORU ÇÖZÜLMEDİ
- 2.SORU ÇÖZÜLMEDİ
- 3.SORU ÇÖZÜLMEDİ
- 4.SORU ÇÖZÜLMEDİ
- 5.SORU ÇÖZÜLMEDİ
- 6.SORU ÇÖZÜLMEDİ
- 7.SORU ÇÖZÜLMEDİ
- 8.SORU ÇÖZÜLMEDİ
- 9.SORU ÇÖZÜLMEDİ
- 10.SORU ÇÖZÜLMEDİ
- 11.SORU ÇÖZÜLMEDİ
- 12.SORU ÇÖZÜLMEDİ
- 13.SORU ÇÖZÜLMEDİ
- 14.SORU ÇÖZÜLMEDİ
- 15.SORU ÇÖZÜLMEDİ
- 16.SORU ÇÖZÜLMEDİ
- 17.SORU ÇÖZÜLMEDİ
- 18.SORU ÇÖZÜLMEDİ
- 19.SORU ÇÖZÜLMEDİ
- 20.SORU ÇÖZÜLMEDİ