Matematik 2 Final 12. Deneme Sınavı
Toplam 20 Soru1.Soru
Aşağıda matrisi verilen oyunun aşağı değeri ile yukarı değerinin toplamı kaçtır?
|
0 |
|
1 |
|
-1 |
|
2 |
|
-2 |
Önce aşağı değeri bulalım: I. oyuncu birinci satırı seçtiğinde
sayılarının en küçüğü olan -2, ikinci satırı seçtiğinde
sayılarının en küçüğü olan -1, üçüncü satırı seçtiğinde ise
sayılarının en küçüğü olan -3 getirilerini garanti eder. I. oyuncu maksimizasyon yaptığı için bu getirilerin en büyüğü olan -1’i elde edeceği 2. satırı seçer. Dolayısıyla oyunun aşağı değeri -1 dir. Benzer şekilde oyunun yukarı değerini bulalım: II. oyuncu birinci sütunu seçtiğinde
sayılarının en büyüğü olan 1, ikinci sütunu seçtiğinde
sayılarının en büyüğü olan 2, üçüncü sütunu seçtiğinde
sayılarının en büyüğü olan 4 ve dördüncü sütunu seçtiğinde
sayılarının en büyüğü olan 2 kayıplarını garanti eder. II. oyuncu minimizasyon yaptığı için bu kayıpların en küçüğü olan 1’in bulunduğu birinci sütunu seçer. Birinci sütunu seçtiğinde garantilenmiş olan kayıp 1’dir. Dolayısıyla yukarı değer 1’dir. O halde oyunun aşağı ve yukarı değerlerinin toplamı -1+1=0 olur. Doğru cevap A’dır.
2.Soru
Aşağıda matrisi verilen oyunda oyuncu 2. sütunu seçerse garantilenmiş kaybı ne olur?
|
1 |
|
-1 |
|
3 |
|
2 |
|
-3 |
2. sütunda yer alan
sayılarının en büyüğü II. oyuncunun garantilenmiş kaybı olacağından doğru cevap C’dir.
3.Soru
Bir düzlemsel çizgede bölge sayısı kenar sayısından 1 eksik ise köşe sayısı kaçtır?
|
2 |
|
3 |
|
4 |
|
5 |
|
6 |
Bölge sayısı+ köşe sayısı= kenar sayısı+2 olup
kenar sayısı-1+ köşe sayısı = kenar sayısı +2
köşe sayısı=3 elde edilir.
4.Soru
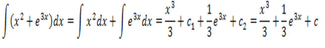
integralinin sonucu aşağıdakilerden hangisidir?
|
|
|
|
|
|
|
|
|
|
İki fonksiyonun toplamının integrali bu fonksiyonların integralleri toplamına eşit olduğundanolur.
Kuvvet fonksiyonunun integral alma kuralı gereği
elde edilir. Üstel fonksiyonun integral alma kuralı gereği
bulunur.
olduğundan
denirse
olur.
5.Soru
obeb(48,64) nedir ?
|
4
|
|
24
|
|
16
|
|
8
|
|
3
|
6.Soru
4 x = 1 (mod 9) denkleminin çözüm kümesi nedir ?
|
{...,-2,7,16,...}
|
|
{...,-4,5,14,...}
|
|
{...,-3,6,15,24,...}
|
|
{...,-5,4,13,...}
|
|
{...,-7,2,11,...}
|
7.Soru
K6 tam çizgesindeki köşe noktalarının dereceleri toplamı kaçtır?
|
6
|
|
12
|
|
18
|
|
24
|
|
30
|
8.Soru
Bugün günlerden Pazar ise 102 gün sonra günlerden ne olur?
|
Salı |
|
Çarşamba |
|
Perşembe |
|
Cuma |
|
Cumartesi |
102 sayısını 7’ye bölerek kalanı bulalım.
102=14x7+4
olduğundan kalan 4'tür. Pazar gününden başlayarak 4 gün sonrasına denk gelen gün Perşembe istenen cevap olur.
9.Soru
Aşağıda matrisi verilen oyunda oyuncuların maksimin-minimaks stratejileri nedir?
|
(3. Satır, 3. Sütun) |
|
(1. Satır, 3. Sütun) |
|
(3. Satır, 1. Sütun) |
|
(1. Satır, 2. Sütun) |
|
(2. Satır, 1. Sütun) |
Her satırın sağına o satırın en küçüğünü, her sütunun altına da o sütunun en büyüğünü yazalım:
maks{-1,0,-3}=0 ve min{0,2,1,3}=0 olduğundan (2. Satır, 1. Sütun) çifti maksimin-minimaks stratejileri çiftidir.
10.Soru
Kuvvet fonksiyonuyla şifrelemede p=10, e=5 olsun. M=8 sayısının şifrelenmişi aşağıdakilerden hangisidir?
|
8 |
|
7 |
|
6 |
|
5 |
|
4 |
85=82.82.8=64.64.8?16.8?6.8=48?8 (mod 10) olur. Böylece ş(8)=8'dir.
11.Soru
eşitsizliğini sağlayan noktalardan biri aşağıdakilerden hangisidir?
|
(0,0) |
|
(4,-10) |
|
(3,-2) |
|
(5,-1) |
|
(6,-11) |
Verilen noktalardan sadece (0,0) taralı bölgeye düşer.
12.Soru
Deşifre fonksiyonu
sayısının deşifresi aşağıdakilerden hangisidir?
|
8 |
|
9 |
|
10 |
|
11 |
|
12 |
olduğundan
olur. Doğru cevap A’dır.
13.Soru
işleminin sonucu aşağıdakilerden hangisidir?
|
1 |
|
2 |
|
3 |
|
4 |
|
5 |
olduğundan
bulunur. Doğru cevap C’dir.
14.Soru
344 sayısının birler basamağındaki rakam kaçtır?
|
0 |
|
1 |
|
2 |
|
3 |
|
4 |
Bir sayının 10 ile bölümünden kalan sayı birler basamağındaki sayıdır.
344?(34)11?(81)11?111?1 (mod 10)
bulunur.
15.Soru
Sırasıyla 1., 2., ve 3. satırları (-3 5 1), (-6 1 4), ve (0 2 3) olan sıfır toplamlı oyunun, eğer varsa denge ikilisini bulunuz.
|
3. satır 1. sütun
|
|
3. satır 3. sütun
|
|
2. satır 2. sürun
|
|
1. satır 1. sütun
|
|
1. satır 2. sütun
|
17.Soru
Dedikodunun yayılma hızı ne ile doğru orantılıdır?
|
Hem dedikoduyu duyan kişi sayısı, hem de dedikoduyu duymayan kişi sayısı
|
|
Sadece dedikoduyu duyan kişi sayısı
|
|
Sadece dedikoduyu duymayan kişi sayısı
|
|
Dedikoduyu ilk yayan kişinin becerisine
|
|
Hiçbirine
|
18.Soru
d(y)=12(y-6) (mod 9) deşifre fonksiyonuna göre y=8 sayısının deşifresi aşağıdakilerden hangisidir?
|
8
|
|
7
|
|
4
|
|
5
|
|
6
|
19.Soru
Aşağıda matrisi verilen sıfır toplamlı oyunun denge ikilisi aşağıdakilerden hangisidir?
|
(1. Satır, 1. Sütun) |
|
(1. Satır, 2. Sütun) |
|
(3. Satır, 1. Sütun) |
|
(1. Satır, 4. Sütun) |
|
(2. Satır, 4. Sütun) |
Her satırın sağına o satırın en küçüğünü, her sütunun altına da o sütunun en büyüğünü yazalım:
Eğer matriste bulunduğu satırda en küçük, bulunduğu sütunda ise en büyük olacak şekilde bir eleman varsa bu elemanın bulunduğu satır sütun numaralarına denge ikilisi denir. O halde bu soru için denge ikilisi vardır ve (2. Satır, 4. Sütun) denge ikilisi olur. Buradan doğru cevap E’dir.
20.Soru
Sırasıyla 1., 2., ve 3. satırları (4 -5 3 2), (-3 -6 -7 1), ve (3 4 2 1) şeklinde verilen oyunda 1. oyuncu 2. satırı seçtiğinde garantilenmiş kazancı aşağıdakilerden hangisidir?
|
-7
|
|
-6
|
|
1
|
|
-3
|
|
0
|
-
- 1.SORU ÇÖZÜLMEDİ
- 2.SORU ÇÖZÜLMEDİ
- 3.SORU ÇÖZÜLMEDİ
- 4.SORU ÇÖZÜLMEDİ
- 5.SORU ÇÖZÜLMEDİ
- 6.SORU ÇÖZÜLMEDİ
- 7.SORU ÇÖZÜLMEDİ
- 8.SORU ÇÖZÜLMEDİ
- 9.SORU ÇÖZÜLMEDİ
- 10.SORU ÇÖZÜLMEDİ
- 11.SORU ÇÖZÜLMEDİ
- 12.SORU ÇÖZÜLMEDİ
- 13.SORU ÇÖZÜLMEDİ
- 14.SORU ÇÖZÜLMEDİ
- 15.SORU ÇÖZÜLMEDİ
- 16.SORU ÇÖZÜLMEDİ
- 17.SORU ÇÖZÜLMEDİ
- 18.SORU ÇÖZÜLMEDİ
- 19.SORU ÇÖZÜLMEDİ
- 20.SORU ÇÖZÜLMEDİ