Matematik 2 Final 16. Deneme Sınavı
Toplam 20 Soru1.Soru
Aşağıda verilen çizgeye göre aşağıdakilerden hangisi doğrudur?
- a nın komşu noktaları b ve f dir.
- f nin komşu noktaları e ve c dir.
- d nin komşu noktaları e ve c dir
- c nin komşu noktaları e ve b dir.
|
Yalnız I |
|
Yalnız II |
|
I ve III |
|
I, II ve III |
|
Hepsi |
C şıkkıdır.
2.Soru
Aşağıdaki çizgede derecesi en büyük köşe noktası aşağıdakilerden hangisidir?
|
a |
|
b |
|
c |
|
e |
|
g |
Çözüm: Verilen çizgeye göre d(a) = 5, d(b) = 6, d(c) = 4, d(e) = 3, d(f)=4, d(g) = 2 olduğundan derecesi en büyük olan köşe noktası b olur.
3.Soru
mod 11’e göre 151.214+475 işleminin sonucu kaçtır?
|
5 |
|
6 |
|
7 |
|
8 |
|
9 |
151≡8 (mod 11), 214≡5 (mod 11) ve 475≡2 (mod 11) olduğundan 151.214+475≡8.5+2≡42≡9 (mod 11) olacaktır.
4.Soru
ebob(48,72) kaçtır?
|
8 |
|
12 |
|
24 |
|
36 |
|
48 |
48 ve 72 asal çarpanlarına ayrılırsa
olup 48=24.3 ve 72=23.32 şeklinde bulunur. Böylece ebob(48,72)=23.3=24 olur.
5.Soru
Aşağıdakilerden hangisi bir çizgenin tüm köşe noktalarının derecelerinin bir dizisi olmaz?
|
2,2,2,3,3
|
|
2,2,1,1
|
|
4,4,4,4
|
|
1,1,1,1,2,2
|
|
1,1,1,2,2
|
6.Soru
Aşağıdaki sayı gruplarından hangisi aralarında asaldır?
|
(5,36)
|
|
(12, 74)
|
|
(14, 35)
|
|
(2, 16)
|
|
(18, 54)
|
7.Soru
x - 4=3 (mod 8) denkleminin çözüm kümesi aşağıdakilerden hangisidir ?
|
{...,-9,-1,7,15,23,...}
|
|
{...,-7,0,7,14,21,...}
|
|
{...,-4,3,10,17,24,...}
|
|
{...,-7,0,7,14,21,...}
|
|
{...,-8,-1,7,14,21,...}
|
8.Soru
Aşağıdaki sayılardan hangisi
denkleminin çözüm kümesine aittir?
|
2 |
|
3 |
|
4 |
|
5 |
|
6 |
sayısı seçeneklerde olmadığına göre denklemi sağlayan sayısıdır. Buna göre doğru cevap D seçeneğidir.
9.Soru
Her bir yüzü düzgün beşgen olan düzgün 12 yüzlünün kaç ayrıtı vardır?
|
30
|
|
32
|
|
34
|
|
36
|
|
38
|
10.Soru
Aşağıdaki sayı gruplarından hangisi aralarında asaldır?
|
(2,8) |
|
(3,21) |
|
(4,32) |
|
(9,11) |
|
(18,27) |
ebob(2,8)=ebob(2,23)=2
ebob (3,21)=ebob (3,3.7)=3
ebob (4,32)=ebob(22,25)= 22=4
ebob (9,11)=ebob(32,11)=1
ebob (18,27)=ebob(2.32,33)=32=9
olduğundan 9 ile 11 sayıları aralarında asaldır.
11.Soru
Aşağıdakilerden hangisi f'nin bir komşusudur?
|
a |
|
c |
|
d |
|
h |
|
j |
f'nin d ve ı olmak üzere iki komşusu vardır.
12.Soru
Matris oyununda ikinci oyuncunun minimaks stratejisi aşağıdakilerden hangisidir?
|
5.sütun |
|
4.sütun |
|
3.sütun |
|
2.sütun |
|
1.sütun |
Sütunların en büyükleri 5,4,2 ve 3’tür. Bu sayıların en küçüğü 2 dir. 2’nin bulunduğu 3.sütun ikinci oyuncunun minimaks stratejisidir.
13.Soru
Matrisi
olan sıfır toplamlı oyunun, eğer varsa, denge ikilisi aşağıdakilerden hangisidir?
|
1. satır, 1. sütun |
|
3. satır, 3. sütun |
|
2. satır, 2. sütun |
|
3. satır, 1. sütun |
|
Yoktur |
sayılar eşit çıkmadığı için verilen matrisin denge ikilisi yoktur. Cevap E’dir.
14.Soru
Aşağıda matrisi verilen sıfır toplamlı oyunun denge ikilisi aşağıdakilerden hangisidir?
|
(1. Satır, 1. Sütun) |
|
(1. Satır, 2. Sütun) |
|
(3. Satır, 1. Sütun) |
|
(1. Satır, 4. Sütun) |
|
(2. Satır, 4. Sütun) |
Her satırın sağına o satırın en küçüğünü, her sütunun altına da o sütunun en büyüğünü yazalım:
Eğer matriste bulunduğu satırda en küçük, bulunduğu sütunda ise en büyük olacak şekilde bir eleman varsa bu elemanın bulunduğu satır sütun numaralarına denge ikilisi denir. O halde bu soru için denge ikilisi vardır ve (2. Satır, 4. Sütun) denge ikilisi olur.
15.Soru
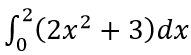
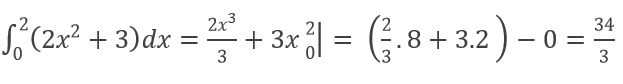
integralinin sonucu aşağıdakilerden hangisidir?
|
0 |
|
17/3 |
|
34/3 |
|
8 |
|
16 |
16.Soru
Aşağıdaki çizgelerden hangisi bir ağaçtır?
|
|
|
|
|
|
|
|
|
|
Bir çizgede kullandığı kenarı bir daha kullanmayan ve başladığı yere geri dönen gezintilere döngü denir. Bu durumda ağacı döngü bulundurmayan tek parça çizge şeklinde tanımlayabiliriz. Bu durumda D seçeneğindeki çizge bir ağaçtır. Çünkü çizgenin noktalarını birleştiren birden fazla gezinti yolu yoktur.
17.Soru
Sıfır toplamlı olmayan
Oyununun denge ikilisi aşağıdakilerden hangisidir?
|
(3. Satır, 1. Sütun) |
|
(1. Satır, 3. Sütun) |
|
(2. Satır, 1. Sütun) |
|
(1. Satır, 2. Sütun) |
|
(2. Satır, 2. Sütun) |
(3,2) ikilisinin birinci bileşeni 3, bulunduğu 1. Sütundaki birinci bileşenlerin en büyüğüdür (bu bileşenler 1,0 ve 3’tür). 2 sayısı da bulunduğu 3. satırdaki ikinci bileşenlerin en büyüğüdür (bu bileşenler 2,1 ve 0’dır). Bundan dolayı (3. Satır, 1. Sütun) denge ikilisidir ve doğru cevap A’dır.
18.Soru
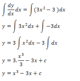
diferansiyel denkleminin y(0)=2 koşuluna uyan çözümü aşağıdakilerden hangisidir?
|
|
|
|
|
|
|
|
|
|
diferansiyel denkleminin genel çözümü için her iki tarafın x’e göre integrali alınırsa
Bu durumda genel çözüm
y(0)=2 koşulu kullanılırsa c=2 elde edilir.
20.Soru
Aşağıdaki sayı gruplarından hangisi aralarında asaldır?
|
9, 15 |
|
12, 26 |
|
18, 24 |
|
16, 25 |
|
30, 40 |
olur. Doğru cevap D’dir.
-
- 1.SORU ÇÖZÜLMEDİ
- 2.SORU ÇÖZÜLMEDİ
- 3.SORU ÇÖZÜLMEDİ
- 4.SORU ÇÖZÜLMEDİ
- 5.SORU ÇÖZÜLMEDİ
- 6.SORU ÇÖZÜLMEDİ
- 7.SORU ÇÖZÜLMEDİ
- 8.SORU ÇÖZÜLMEDİ
- 9.SORU ÇÖZÜLMEDİ
- 10.SORU ÇÖZÜLMEDİ
- 11.SORU ÇÖZÜLMEDİ
- 12.SORU ÇÖZÜLMEDİ
- 13.SORU ÇÖZÜLMEDİ
- 14.SORU ÇÖZÜLMEDİ
- 15.SORU ÇÖZÜLMEDİ
- 16.SORU ÇÖZÜLMEDİ
- 17.SORU ÇÖZÜLMEDİ
- 18.SORU ÇÖZÜLMEDİ
- 19.SORU ÇÖZÜLMEDİ
- 20.SORU ÇÖZÜLMEDİ