Matematik 2 Final 17. Deneme Sınavı
Toplam 19 Soru1.Soru
Doğrusal şifreleme fonksiyonu ş(x)= 4x+8 (mod 5) ile x=7 sayısının şifrelenmesi aşağıdakilerden hangisidir?
|
5
|
|
3
|
|
1
|
|
4
|
|
7
|
2.Soru
3x+2?4 (mod5) denkliğinin çözüm kümesi nedir?
|
{...,-10,-6,-2,2,6,10,...}
|
|
{...,-11,-6,-1,4,9,14,...}
|
|
{2,6,10,...}
|
|
{4,9,14,...}
|
|
{ 2/3}
|
3.Soru
Doğrusal şifreleme yapılırken
denkleminin
çözümünün olması için hangisi olmalıdır?
|
|
|
|
|
|
|
|
|
|
denkleminin
çözümünün olması için
olmalıdır. Doğru cevap A’dır.
5.Soru
Bir malın talep fiyat esnekliği 1/3 olarak verildiğine göre bu malın miktarı ve fiyatı arasındaki ilişkiyi veren talep denklemi aşağıdakilerden hangisidir?
|
|
|
|
|
|
|
|
|
|
6.Soru
Aşağıdakilerden hangisi bir çizgenin tüm köşe noktalarının derecelerinin bir dizisi olamaz?
|
4,4,4,4,4
|
|
1, 1, 3, 3, 4
|
|
1, 1, 2, 2, 4
|
|
1, 1, 2, 2,2
|
|
3,3,3,3,3
|
7.Soru
Aşağıdaki ifadelerden hangisi yanlıştır?
|
Bir çizgede tüm köşe noktalarının dereceleri toplamı çizgedeki kenar sayısının iki katına eşittir
|
|
Bir çizgede bütün köşe noktalarının dereceleri toplamı çift sayıdır
|
|
Bir çizgede derecesi tek olan köşe noktalarının sayısı çifttir
|
|
5 kişilik bir davette kişiler arasında toplam 10 tokalaşma olur
|
|
6 köşe noktası olan bir çizgenin tüm köşe noktalarının dereceleri 2,2,2,3,3,3 dizisi şeklindedir.
|
8.Soru
Sırasıyla 1., 2., ve 3. satırları (-1 -3 1), (-2 3 0), ve (1 2 4) olan sıfır toplamlı oyunun, eğer varsa denge ikilisini bulunuz.
|
3. satır 1. sütun
|
|
3. satır 3.sütun
|
|
2. satır 2.sütun
|
|
1. satır 1. sütun
|
|
1. satır 3. sütun
|
9.Soru
diferansiyel denkleminin y(1)=2 koşuluna uyan çözümü aşağıdakilerden hangisidir?
|
|
|
|
|
|
|
|
|
|
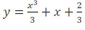
Diferansiyel denklemin genel çözümü
denkleminden c=2/3 bulunur.
diferansiyel denkleminin koşuluna uyan çözümü
bulunur.
10.Soru
Aşağıdakilerden hangisi asal sayıdır?
|
32
|
|
31
|
|
57
|
|
21
|
|
27
|
11.Soru
8 takımdan oluşan bir ligin ikinci haftası tamamlanmıştır. Bu ligin durumunu gösteren çizge aşağıdaki gibidir. Buna göre aşağıdakilerden hangisi söylenemez?
|
Tüm maçlar yapılmıştır. |
|
a takımı, b ve e takımları ile oynamıştır. |
|
f takımı b ve g takımları ile oynamıştır. |
|
e ile d oynamamıştır. |
|
d takımı c ve h ile oynamıştır.
|
e ve h den birer kenar çıktığı için bu takımların oynaması gereken maç ertelenmiştir. Dolayısıyla ikince hafta sonunda bir maç eksik kalmış olup. Tüm maçlar yapılmıştır ifadesi doğru değildir.
12.Soru
Bölge sayısı 4, köşe noktası sayısı 5 olan bir düzlemsel tek parça çizgenin kenar sayısı kaçtır?
|
4
|
|
5
|
|
6
|
|
7
|
|
8
|
13.Soru
Günümüzde RSA şifrelemesi için p ve q sayıları kaç bitlik sayılardan seçilir?
|
8
|
|
64
|
|
128
|
|
256
|
|
512
|
14.Soru
7 bölgesi ve 10 kenarı olan bir düzlemsel tek parça bir çizgenin kaç köşe noktası vardır?
|
5
|
|
6
|
|
7
|
|
8
|
|
9
|
15.Soru
BÇOPKC kelimesinin deşifre edilmiş biçimi aşağıdakilerden hangisidir?
|
KAYDIR
|
|
YALNIZ
|
|
YALANA
|
|
ALINAN
|
|
SAYDIR
|
16.Soru
Deşifre fonksiyonu d(y)=21(y-4) (mod 29) ise y=17 sayısının deşifresi aşağıdakilerden hangisidir?
|
10 |
|
11 |
|
12 |
|
13 |
|
14 |
d(17)=21(17-4)(mod 29)
21.13?273?12(mod 29) olduğundan d(17)=12 olur.
17.Soru
s(x)=3x+5 mod(21)ş(x)=5x-4 mod(24) doğrusal şifrelerdir. Buna göre 20 sayısını bu iki fonksiyona göre şifrelersek ne olur?
|
2,2
|
|
4,2
|
|
2,0
|
|
0,2
|
|
0,0
|
18.Soru
ekok(40,96) nedir ?
|
180
|
|
192
|
|
240
|
|
480
|
|
960
|
19.Soru
Doğrusal şifreleme fonksiyonu ş(x)=7x+5 (mod 13) ile x=6 sayısının şifrelenmişi aşağıdakilerden hangisidir?
|
8
|
|
5
|
|
3
|
|
0
|
|
9
|
-
- 1.SORU ÇÖZÜLMEDİ
- 2.SORU ÇÖZÜLMEDİ
- 3.SORU ÇÖZÜLMEDİ
- 4.SORU ÇÖZÜLMEDİ
- 5.SORU ÇÖZÜLMEDİ
- 6.SORU ÇÖZÜLMEDİ
- 7.SORU ÇÖZÜLMEDİ
- 8.SORU ÇÖZÜLMEDİ
- 9.SORU ÇÖZÜLMEDİ
- 10.SORU ÇÖZÜLMEDİ
- 11.SORU ÇÖZÜLMEDİ
- 12.SORU ÇÖZÜLMEDİ
- 13.SORU ÇÖZÜLMEDİ
- 14.SORU ÇÖZÜLMEDİ
- 15.SORU ÇÖZÜLMEDİ
- 16.SORU ÇÖZÜLMEDİ
- 17.SORU ÇÖZÜLMEDİ
- 18.SORU ÇÖZÜLMEDİ
- 19.SORU ÇÖZÜLMEDİ