Matematik 2 Final 2. Deneme Sınavı
Toplam 20 Soru1.Soru
tam çizgesinin kaç kenarı vardır?
|
5 |
|
6 |
|
8 |
|
10 |
|
15 |
Bir çizgede kenar sayısı tüm köşelerin dereceleri toplamının yarısıdır.
tam çizgesinin her köşesinin derecesi 4 ve 5 tane de köşe noktası olduğundan
kenarı olduğu bulunur. Doğru cevap B’dir.
2.Soru
Aşağıda matrisi verilen oyunun yukarı değeri kaçtır?
|
1 |
|
3 |
|
2 |
|
4 |
|
-4 |
II. oyuncu birinci sütunu seçtiğinde
sayılarının en büyüğü olan 3, ikinci sütunu seçtiğinde
sayılarının en büyüğü olan 4 üçüncü sütunu seçtiğinde
sayılarının en büyüğü olan 4 ve dördüncü sütunu seçtiğinde
sayılarının en büyüğü olan 4 kayıplarını garanti eder. II. oyuncu minimizasyon yaptığı için bu sayıların en küçüğünün yer aldığı birinci sütunu seçer. Birinci sütunu seçtiğinde garantilenmiş olan kayıp 3 olur. Doğru cevap B’dir.
3.Soru
Aşağıda verilen çizge için aşağıdakilerden hangisi söylenemez?
|
5 noktası vardır. |
|
6 kenarı vardır. |
|
İki kümeli bir tam çizgedir. |
|
En büyük köşe noktası derecesi 3’tür. |
|
K5 şeklinde gösterilir. |
Verilen çizgenin 5 noktası, 6 kenarı olup iki kümeli bir tam çizgedir. Ayrıca en büyük köşe noktasının derecesi 3’tür. Ancak bu çizge K5 şeklinde değil K2,3 şeklinde gösterilir.
4.Soru
Aşağıda matrisi verilen oyunda oyuncu 3. sütunu seçerse garantilenmiş kaybı ne olur (II. Oyuncunun stratejisi minimaks şeklindedir)?
|
2 |
|
-5 |
|
4 |
|
5 |
|
-3 |
3. sütunda yer alan {-5,4,2} sayılarının en büyüğü II. oyuncunun garantilenmiş kaybı olur.
5.Soru
I) Kimyasal Bağlar
II) Metro Sistemleri
III) Tren Hatları
IV) Alışveriş listesi
Yukarıdakilerden hangilerinde çizge kuramı kullanılabilir?
|
I,II ve III |
|
Yalnız I |
|
II ve III |
|
I ve IV |
|
II, III ve IV |
Metan (CH4) ve Propan (C3H8) kimyasal molekülleri karbon (C) ve hidrojen (H) atomları arasındaki bağlarla bir çizge gibi düşünülebilir. İstasyonlar ve bu istasyonları birleştiren hatlarla bir metro sistemi de bir çizge oluşturur.
6.Soru
a ve b, 2 den ve birbirinden farklı iki asal sayı olmak üzere bu sayıların en büyük ortak böleni ve en küçük ortak katı ile ilgili verilen ifadelerden hangisi yanlıştır?
|
ebob(a,b)=1
|
|
ekok(a,b)=a.b
|
|
ekok(a,b) ile ebob(a,b) nin çarpımı çifttir.
|
|
ekok(a,b) ile ebob(a,b) nin farkı çifttir.
|
|
ekok(a,b) ile ebob(a,b) nin toplamı çifttir.
|
7.Soru
Aşağıda matrisi verilen oyunun yukarı değeri kaçtır?
|
1 |
|
3 |
|
2 |
|
4 |
|
-4 |
II. oyuncu birinci sütunu seçtiğinde {2,3,-3} sayılarının en büyüğü olan 3, ikinci sütunu seçtiğinde {-2,0,4} sayılarının en büyüğü olan 4 ve üçüncü sütunu seçtiğinde {0,4,1} sayılarının en büyüğü olan 4 ve dördüncü sütunu seçtiğinde {1,-4,4} sayılarının en büyüğü olan 4 kayıplarını garanti eder. II. oyuncu minimizasyon yaptığı için bu sayıların en küçüğünün yer aldığı birinci sütunu seçer. Birinci sütunu seçtiğinde garantilenmiş olan kayıp 3 olur.
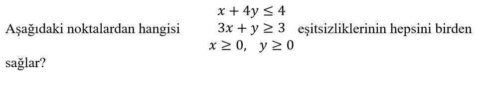
8.Soru
|
(3,2) |
|
(2,2) |
|
(3,0) |
|
(2,1) |
|
(3,3) |
Verilen eşitsizliklerde noktaları yerine yazdığımızda sadece (3,0) noktası her iki eşitsizliği de sağlar.
9.Soru
Matrisi
olan oyunda II. oyuncunun minimaks stratejisi aşağıdakilerden hangisidir?
|
1. sütun |
|
2. sütun |
|
3. sütun |
|
4. sütun |
|
5. sütun |
Sütunların en büyükleri 4, 3, 2, 5 ve 1’dir. Bu sayıların en küçüğü 1’dir. 1’in bulunduğu 5. sütun II. oyuncunun minimaks stratejisidir. Doğru cevap E’dir.
10.Soru
matris oyununda birinci oyuncu 1. satırı seçtiğindeki garantilenmiş kazancı ile 2. satırı seçtiğindeki garantilenmiş kazancının toplamı aşağıdakilerden hangisidir?
|
4 |
|
0 |
|
1 |
|
-1 |
|
3 |
1. satırı seçtiğinde garantilenmiş kazancı 2, 2. satırı seçtiğinde garantilenmiş kazancı -2 olduğundan toplamı 0 dır.
11.Soru
ş(x)=2x+5 (mod 12) doğrusal şifreleme fonksiyonuyla bir x sayısının şifrelenmiş hali 11 ise x sayısı aşağıdakilerden hangisidir?
|
7
|
|
8
|
|
9
|
|
10
|
|
11
|
12.Soru
sayısının 5'e bölümünden kalan kaçtır?
|
1 |
|
2 |
|
3 |
|
4 |
|
5 |
olduğuna göre
Doğru cevap B seçeneğidir.
13.Soru
Kuvvet fonksiyonuyla şifrelemede p=8 ve e=5 ise deşifre fonksiyonu aşağıdakilerden hangisi olur?
|
d(y)= y5 (mod 5) |
|
d(y)= y8 (mod 8) |
|
d(y)= y8 (mod 5) |
|
d(y)= y³ (mod 8) |
|
d(y)= y8 (mod 3) |
p-1=8-1=7 ve 5*d?1 (mod 7) denklemini çözersek d=3 elde edilir. Bu yüzden deşifre fonksiyonu d(y)= y³ (mod 8) olur. Doğru seçenek D şıkkıdır.
14.Soru
Aşağıdakilerden hangisi dört köşe noktası olan bir çizgenin tüm köşe noktalarının bir dizisi olabilir?
|
2, 3, 3, 4
|
|
1, 3, 3, 4
|
|
2, 1, 1, 1
|
|
1, 1, 1, 4
|
|
3, 3, 1, 2
|
15.Soru
Doğrusal programlama problemleri ile ilgili olarak aşağıdakilerden hangisi yanlıştır?
|
Üç tane karar değişkenin olduğu bir problemde tanım kümesi iki boyutlu uzayda bulunur. |
|
İki tane karar değişkeninin olduğu bir problemde tanım kümesini bulmak için verilen kısıtlamalardaki eşitsizliklerin hepsini sağlayan noktalar kümesi bulunur. |
|
İki tane karar değişkeninin olduğu bir problemde amaç fonksiyonu maksimum değerini tanım kümesinin oluşturduğu çokgen bölgenin köşe noktalarından birinde alır. |
|
Doğrusal amaç fonksiyonunun değerini en büyük yapan noktayı belirleme problemine doğrusal programlama problemi denir. |
|
Doğrusal programlama probleminde verilen doğrusal eşitsizliklere maksimizasyon probleminin kısıtları denir. |
Üç tane karar değişkenin olduğu bir problemde tanım kümesi üç boyutlu uzayda bulunur.
16.Soru
7. soruda verilen matris oyununda aşağı değer ile yukarı değer çarpımı aşağıdakilerden hangisidir?
|
-4
|
|
-3
|
|
-2
|
|
-1
|
|
0
|
17.Soru
Bugün günlerden Salı ise 8 gün onra günlerden ne olur?
|
Çarşamba
|
|
Perşembe
|
|
Cuma
|
|
Cumartesi
|
|
Pazar
|
18.Soru
RSA şifrelemesi kullanan alıcının açık adresi (45,8) olsun. 12 sayısının bu açık adrese göre şifrelenmişi aşağıdakilerden hangisidir?
|
8 |
|
15 |
|
28 |
|
32 |
|
36 |
Şifreleme fonksiyonu ş(x)=x^8 (mod 45) ifadesini kullanırsak; ş(12)=128 (mod 45) olmalıdır. Bu yüzden; 128≡36 (mod 45) olduğundan doğru seçenek E şıkkıdır.
19.Soru
Aşağıdaki fonksiyonlardan hangisi
diferansiyel denklemini sağlar?
|
y=x |
|
y=x2 |
|
y=1 |
|
y=ex |
|
y=lnx |
y=ex fonksiyonunun türevi kendisine eşittir, dolayısıyla y'=y diferansiyel denklemini y=ex fonksiyonu sağlar.
20.Soru
Aşağıdakilerden hangisi bir çizgedeki tüm köşe noktalarının derecelerinin toplam sayısı olabilir?
|
5
|
|
6
|
|
7
|
|
9
|
|
15
|
-
- 1.SORU ÇÖZÜLMEDİ
- 2.SORU ÇÖZÜLMEDİ
- 3.SORU ÇÖZÜLMEDİ
- 4.SORU ÇÖZÜLMEDİ
- 5.SORU ÇÖZÜLMEDİ
- 6.SORU ÇÖZÜLMEDİ
- 7.SORU ÇÖZÜLMEDİ
- 8.SORU ÇÖZÜLMEDİ
- 9.SORU ÇÖZÜLMEDİ
- 10.SORU ÇÖZÜLMEDİ
- 11.SORU ÇÖZÜLMEDİ
- 12.SORU ÇÖZÜLMEDİ
- 13.SORU ÇÖZÜLMEDİ
- 14.SORU ÇÖZÜLMEDİ
- 15.SORU ÇÖZÜLMEDİ
- 16.SORU ÇÖZÜLMEDİ
- 17.SORU ÇÖZÜLMEDİ
- 18.SORU ÇÖZÜLMEDİ
- 19.SORU ÇÖZÜLMEDİ
- 20.SORU ÇÖZÜLMEDİ