Matematiksel İktisat Ara 3. Deneme Sınavı
Toplam 19 Soru1.Soru
“ (P . Q) – TC “ şeklinde verilen bir denklemin sonucu aşağıdaki notasyonlardan hangisi ile gösterilir?
|
π
|
|
MC
|
|
AC
|
|
TR
|
|
AVC
|
2.Soru
Bir firmanın ürettiği mal için talep denklemi Q= 40 - 0.2P olmaktadır. Buna göre Q=10 için marjinal gelir aşağıdakilerden hangisine eşit olmaktadır?
|
40 |
|
60 |
|
80 |
|
100 |
|
120 |
3.Soru
P fiyatı, Q miktarı göstermek üzere bir malın talep fonksiyonu P = 320 - 4Q olarak veriliyor. Buna göre fiyatın P = 80 olması durumunda talebin fiyat esnekliğinin değeri aşağıdakilerden hangisidir?
|
|
|
|
|
|
|
|
|
|
Soruda fiyat P = 80 olarak verildiğinden talep fonksiyonunda bu değer yerine konulduğunda 80 = 320 - 4Q eşitliğinden miktar;
olarak hesaplanır. Buradan nokta esnekliği eşitliğinden;
olarak bulunur. Buna göre Doğru Cevap B seçeneği olur.
4.Soru
Aşağıdakilerden hangisi üstel ve logaritmik fonksiyonların temel özelliklerinden birisi değildir?
|
Doğal tabanlı üstel fonksiyonlar sürekli konveks bir fonksiyondur.
|
|
Doğal tabanlı üstel fonksiyonlar sürekli konkav bir fonksiyondur.
|
|
Doğal logaritmik fonksiyonlar sürekli konkav bir fonksiyondur.
|
|
Logaritmik fonksiyonun tanım kümesi yalnızca pozitif sayılardan oluşur.
|
|
Doğal tabanlı ve logaritmik fonksiyonlar sürekli artan fonksiyonlardır.
|
5.Soru
C = 1100 + 2/5Y
I = 300
G = 280
C’nin toplam gelirin tüketim harcamalarını, I’nın yatırım harcamalarını, G’nin devlet harcamalarını ve Y’nin ekonominin toplam geliri ifade ettiği bir ekonominin denklemleri yukarıda verilmiştir. Buna göre bu ekonominin toplam geliri aşağıdakilerden hangisidir?
|
2800 |
|
3000 |
|
3200 |
|
3500 |
|
4000 |
Ekonominin toplam geliri için Y = C + I + G formülünü kullanabiliriz. Verilen bu ekonomi için ise Y = 1100 + 2/5Y + 300 + 280 yazabiliriz. Bu eşitliği düzenlediğimizde 3/5Y = 1680 buluruz buradan da Y =2800 sonucunu buluruz.
6.Soru
fonksiyonunun x 1’e yaklaşırken limiti aşağıdakilerden hangisidir?
|
0 |
|
|
|
3 |
|
23 |
|
5 |
=
7.Soru
Şişe su üreten bir işletme günlük olarak yarım litrelik şişe su üretmektedir. Suyun üretilmesi ve dağıtımı için sabit maliyet 2.000 TL ve yarım litrelik şişe suyun birim değişken giderleri 0,5 TL'dir. Şişe suyun satış fiyatı 1,5 TL olduğuna göre 10.000 TL kar elde etmek için kaç şişe su satılmalıdır?
|
8.000 |
|
9.000 |
|
10.000 |
|
11.000 |
|
12.000 |
Kar fonksiyonunu bulabilmek için öncelikle toplam hasıla ve toplam maliyet fonksiyonlarını bulmalıyız. Toplam hasıla fonksiyonu
Toplam maliyet fonksiyonu
olarak bulunur. Buradan toplam kar fonksiyonu
olarak elde edilir. 10.000 TL kar elde etmek için ise
adet şişe su satılmalıdır. Buna göre Doğru Cevap E seçeneği olur.
8.Soru
Bir fonksiyonun bağımsız değişkeni belli bir değere yaklaşırken fonksiyonun yaklaştığı değere ne ad verilir?
|
Limit |
|
türev |
|
integral |
|
marjinal fonksiyon |
|
Üstel fonksiyon |
Bir fonksiyonun bağımsız değişkeni belli bir değere yaklaşırken fonksiyonun yaklaştığı değere limit adı verilir.
9.Soru
Bir malın talep fonksiyonu Q=30-6P olarak verilmiştir. Sabit maliyet 20 ve üretilen birim başına değişken maliyet 3 ise kâr fonksiyonu aşağıdakilerden hangisidir?
|
-1/6Q2+2Q-20 |
|
1/3Q2-4Q+20 |
|
-1/4Q2-2Q+15 |
|
-1/2Q2-6Q+25 |
|
1/6Q2+5Q+20 |
Talep fonksiyonu Q=30-6P
Ters talep fonksiyonu 6P=30-Q
P=5-1/6Q
Sabit maliyet 20 ve üretilen birim başına değişken maliyet 3 ise Toplam maliyet fonksiyonu
TC=20+3Q olur.
Kar fonksiyonu toplam gelirden toplam maliyetlerin çıkartılması ile bulunur.
Toplam Gelir TR=P*Q
TR=(5-1/6Q)*Q TR=5Q-1/6Q2 dir.
Kar=TR-TC
Kar=(5Q-1/6Q2)-(20+3Q)
Kar=-1/6Q2+2Q-20
10.Soru
Aşağıdaki denklemlerden hangisi doğrusaldır?
|
|
|
|
|
|
|
|
|
|
E şıkkındaki denklem doğrusal bir denklemdir. Diğerleri doğrusal denklem değildir.
11.Soru
qD= -2p+10 ve qs=7p-17 talep ve arz denklemleri bir piyasa için verilmiştir. Bu piyasada dengeyi sağlayan arz-talep fiyatı nedir?
|
1 |
|
2 |
|
3 |
|
4 |
|
5 |
Piyasa dengenin olduğu durum talep ile arz miktarının birbirine eşit olduğu yerdir. Bunu bulmak için arz ve talep fonksiyonlarının ortak çözümünü buluruz. Öncelikle arz ile talep fonksiyonlarını birbirine eşitleyip ortak çözümünü buluruz. qD= qs yani -2p + 10=7p – 17 bu ifadeyi düzenlediğimizde ise 9p=27 ifadesi bunuluruz. Denge fiyatı p=3’den 3’e eşit olur.
12.Soru
Yukarıdaki denklem sisteminin çözümü için bu iki denklem dışında en az kaç adet daha denkleme ihtiyaç vardır?
|
1 |
|
2 |
|
3 |
|
4 |
|
5 |
Bir eşitliği çözüp çözemeyeceğinizi nasıl belirlersiniz? Kural oldukça basittir: eşitlikleri ve sonra da bilinmeyenleri (değişkenleri) sayarız. Eğer eşitlik sayısından daha fazla değişken varsa sistemi çözmek için yeterli ipucunuz yok demektir. Yukarıdaki denklem sisteminde 3 adet bağımsız değişken (x, y, z) mevcut iken 2 denklem verilmiştir. Bu nedenle 1 denkleme daha ihtiyaç duyulur. Doğru cevap A’dır.
13.Soru
Yukarıda verilen fonksiyon aşağıdakilerden hangisini tanımlar?
|
Soldan limit |
|
Sağdan limit |
|
Limit yoktur. |
|
Limit mevcuttur. |
|
Limitler birbirine eşittir. |
Bir f (x) fonksiyonunun, x a’ya yaklaşırken sağdan limiti x a’ya, a’dan daha büyük değerlerden yaklaşırken fonksiyonun yaklaştığı değerdir. ve ile gösterilir.
14.Soru
Piyasa fiyatının denge fiyatının altında olması durumu aşağıdakilerden hangisi ile ifade edilir?
|
Talep fazlası
|
|
Arz fazlası
|
|
Stok fazlası
|
|
Piyasa dengesi
|
|
İhraç fazlası
|
15.Soru
A malına ilişkin ters talep fonksiyonu P(Q)= 150-3Q şeklinde verildiğine göre, aşağıdaki seçeneklerden hangisinde marjinal hasıla (MR(Q)) fonksiyonu doğru biçimde verilmiştir?
|
MR(Q)= 150-0,5Q
|
|
MR(Q)= 150-Q
|
|
MR(Q)= 150-3Q
|
|
MR(Q)= 150-6Q
|
|
MR(Q)= 150-8Q
|
16.Soru
Aşağıdaki ifadelerde; "Y" milli geliri, "C" özel tüketimi, "G" hükümet harcamalarını, "I" özel yatırımları, "r" faiz
|
-25
|
|
-1
|
|
-0.025
|
|
-0.25
|
|
0.25
|
17.Soru
I. ln(y) fonksiyonu sürekli azalan ve konkav bir fonksiyondur.
II. y = ex doğal tabanlı üstel fonksiyonunun tersidir.
III. ln (y) fonksiyonu her yerde tanımlıdır.
Logaritmik fonksiyonlarla ilgili verilenlerden hangisi ya da hangileri doğrudur?
|
Yalnız I |
|
Yalnız II |
|
Yalnız III |
|
I ve II |
|
I ve III |
I. ln(y) fonksiyonu sürekli azalan ve konkav bir fonksiyondur. (Yanlış, ln(y) fonksiyonu sürekli artan ve konkav bir fonksiyondur.)
II. y = ex doğal tabanlı üstel fonksiyonunun tersidir. (Doğru)
III. ln (y) fonksiyonu her yerde tanımlıdır. (Yanlış, ln (y) fonksiyonu y'nin pozitif (sıfırdan büyük) olduğu yerlerde tanımlıdır.)
Cevap B şıkkıdır.
18.Soru
Talebin fiyat esnekliğini hesaplamak için aşağıdaki formüllerden hangisi kullanılır?
|
Talep edilen miktardaki % değişim / fiyattaki % değişim |
|
Fiyattaki % değişim / Talep edilen miktardaki % değişim |
|
Arz edilen miktardaki % değişim / Talep edilen miktardaki % değişim |
|
Talep edilen Miktardaki % değişim / Gelirdeki % değişim |
|
Fiyattaki % değişim / ikame malının fiyatındaki % değişim |
Talebin fiyat esneklği fiyattaki değişimlere talebin ne kadar duyarlı olduğunu ölçer. Esneklik her zaman % ile ifade edilir. Talebin fiyat esnekliği Talep edilen miktardaki % değişim / fiyattaki % değişim formülü ile hesaplanır.
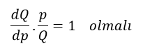
19.Soru
Bir mala ait talep fonksiyonu verilmiş. Buna göre talebin birim esnek olduğu durumda malın fiyatı nedir?
|
1 |
|
2 |
|
3 |
|
4 |
|
5 |
buradan ;
6p2=3p2+27 p=3 elde edilir.
-
- 1.SORU ÇÖZÜLMEDİ
- 2.SORU ÇÖZÜLMEDİ
- 3.SORU ÇÖZÜLMEDİ
- 4.SORU ÇÖZÜLMEDİ
- 5.SORU ÇÖZÜLMEDİ
- 6.SORU ÇÖZÜLMEDİ
- 7.SORU ÇÖZÜLMEDİ
- 8.SORU ÇÖZÜLMEDİ
- 9.SORU ÇÖZÜLMEDİ
- 10.SORU ÇÖZÜLMEDİ
- 11.SORU ÇÖZÜLMEDİ
- 12.SORU ÇÖZÜLMEDİ
- 13.SORU ÇÖZÜLMEDİ
- 14.SORU ÇÖZÜLMEDİ
- 15.SORU ÇÖZÜLMEDİ
- 16.SORU ÇÖZÜLMEDİ
- 17.SORU ÇÖZÜLMEDİ
- 18.SORU ÇÖZÜLMEDİ
- 19.SORU ÇÖZÜLMEDİ