Matematiksel İktisat Ara 4. Deneme Sınavı
Toplam 18 Soru1.Soru
Bir a noktasında; sağdan limiti 1, soldan limiti ise 0 olan bir fonksiyonun bu a noktasındaki limiti ile ilgili aşağıda verilen ifadelerden hangisi doğrudur?
|
Fonksiyonun limiti 1'dir. |
|
Fonksiyonun limiti 0'dır. |
|
Fonksiyonun limiti sonsuzdur. |
|
Fonksiyonun limiti belirsizdir. |
|
Fonksiyonun limiti yoktur. |
Eğer bir fonksiyonun sağdan ve soldan limitleri mevcut ve birbirlerine eşit ise bu fonksiyonun limiti vardır. Bu durumda sağdan ve soldan limitler şeklinde ifade etmeye gerek yoktur. Bir fonksiyonun bir a noktasında sağdan ve soldan limitleri mevcut olsa bile, bu limitler birbirlerine eşit değilse bu fonksiyonun a noktasında limiti yoktur. Doğru cevap E'dir.
2.Soru
Bir mal için talep ve arz fonksiyonları sırasıyla, p=20-Q ve P=8+3Q olarak verilmiştir. Bu piyasa koşullarında iken devlet arz edenlerden birim başına 4 Tl.vergi almaya karar vermiştir. Buna göre birim başına vergi dahil denge fiyatı kaç TL.dir?
|
2 |
|
10 |
|
16 |
|
18 |
|
20 |
Arz fonksiyonu; p=8+3Q
vergi uygulandığında p-4=8+3Q
p=8+4+3Q=12+3Q
Denge arz=Talep
12+3Q=20-Q
4Q=20-12
Q=2 olur p=20-Q=20-2=18 elde edilir.
3.Soru
Değeri model tarafından belirlenen değişkene ne ad verilir?
|
İçsel değişken |
|
Dışsal değişken |
|
Bağıntı |
|
Evren |
|
Sıralı ikili |
İçsel değişken; Değeri model tarafından belirlenen değişkendir.
4.Soru
f(x)=3x+5 olarak verilen fonksiyonun ortalama değişim oranı hangisidir?
|
3 |
|
-3 |
|
5/3 |
|
-1 |
|
-5 |
y=f(x)=ax+b formundaki fonksiyon sıfırdan farklı bir aralık için ortalama değişim oranı fonksiyonun eğimi olan a dır.
5.Soru
Yukarıdaki fonksiyon aşağıdaki noktaların hangisinde tanımsız olduğu için sürekli değildir?
|
x=-2 |
|
x=-1 |
|
x=0 |
|
x=1 |
|
x=2 |
Bu fonksiyon sürekli değildir. Çünkü fonksiyon x = 0 noktasında tanımlı değildir. Dolayısıyla sürekliliğin birinci koşulunu sağlamamaktadır. Sürekli fonksiyonların grafikleri de sürekli olur. Eğer bir fonksiyonun grafiğini çizdiğimizde, kesintiler veya sıçramalar görüyorsak bu fonksiyon sürekli değildir. Doğru cevap C'dir.
6.Soru
Qd = 200P^(-2,5) Yukarıda verilmiş olan talep fonksiyonunda P = 5,6 değerini aldığında talebin fiyat esnekliği ne olur?
|
-2
|
|
-5
|
|
-5,6
|
|
-2,5
|
|
200
|
7.Soru
Denklem sistemi aşağıdaki örnekte verilen doğrusal ve doğrusal olmayan iki denklemden oluşmuştur.
y2 + x - 1 = 0
y + (1/2)x = 1
Buna göre doğrusal denklem çözüldüğünde x değeri aşağıdakilerden hangisidir?
|
x = 1 – 2y |
|
x = 2 – 2y |
|
x = 3 – 2y |
|
x = 2 – 3y |
|
x = 2 – 4y |
Böyle bir durumda, doğrusal olan denklemi x veya y değişkenlerinden biri için çözeriz ve sonucu doğrusal olmayan denklemde yerine koyar›z. Sonuçta elde edilen denklem tek bilinmeyenli doğrusal olmayan bir denklemdir. Örneği x için çözelim. Doğrusal denklemi x için çözmemiz sonucunda, x değeri;
½ x = 1 – y
x = 2 – 2y dir.
8.Soru
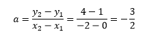
A(0,1) ve B(-2,4) noktalarından geçen doğrunun eğimi aşağıdakilerden hangisidir?
|
1/2 |
|
-1/2 |
|
3/2 |
|
-3/2 |
|
0 |
(x1,y1)=(0,1) ve (x2,y2)=(-2,4)
9.Soru
Arz fonksiyonu aşağıdakilerden hangisi ile gösterilir?
|
qS = cp + d |
|
qS = cp - d |
|
qS = cp x d |
|
qS = cp / d |
|
qS = 1- (cp + d) |
Arz fonksiyonu qS = cp + d ile gösterilir.
10.Soru
qD= -4p+15 ve qs=2p-3 talep ve arz denklemleri bir piyasa için verilmiştir. Bu piyasada dengeyi sağlayan arz-talep miktarı nedir?
|
3 |
|
4 |
|
5 |
|
6 |
|
7 |
Piyasa dengenin olduğu durum talep ile arz miktarının birbirine eşit olduğu yerdir. Bunu bulmak için arz ve talep fonksiyonlarının ortak çözümünü buluruz. Öncelikle arz ile talep fonksiyonlarını birbirine eşitleyip ortak çözümünü buluruz. qD= qs yani -4p+15=2p-3 bu ifadeyi düzenlediğimizde ise 6p=18 buluruz denge fiyatı p=3 olarak bulunur. Denge fiyatını arz ya da talep fonksiyonuna yerleştirdiğimizde ise denge miktarını buluruz. Dengeyi sağlayan arz-talep miktarı
2*(3)-3=-4*3+15=3 olarak bulunur.
11.Soru
A bankasının 2 yıllık nominal %6 faiz oranı teklif etmesi durumunda efektif faiz oranı aşağıdaki seçeneklerden hangisinde verilmiştir?
|
%6,36
|
|
%8,36
|
|
%9,36
|
|
%10,36
|
|
%12,36
|
12.Soru
C=C(Yd)=500+0,2Yd biçimindeki bir tüketim fonksiyonunun [1200,3600] kapalı aralığında ortalama değişim oranı nedir?
|
0,1 |
|
0,2 |
|
0,3 |
|
0,4 |
|
0,5 |
f(1200)=500+0,2.1200=740
f(3600)=500+0,2.3600=1220
13.Soru
ƒ(x)=2x2+5x+12 şeklindeki karesel fonksiyonun grafiğinde parabolün y eksenini kestiği nokta aşağıdakilerden hangisidir?
|
- 12 |
|
-2 |
|
2 |
|
5 |
|
12 |
Bir karesel fonksiyonun grafiğinde parabolün y eksenini kestiği noktayı bulabilmek için x=0 yazarak yerine koyarız. Çıkan sonuç 12 değerine eşittir. Cevap E şıkkıdır.
14.Soru
Kira Bedeli: 2000TL Aramalı: 6000TL İşgücü: 8000TL Üretim Miktarı: 100 Yukarıda belirli bir dönem için maliyetleri ve üretim miktarı verilen atölye için
|
20
|
|
40
|
|
140
|
|
160
|
|
200
|
15.Soru
Bir kümenin her elamanının diğer kümenin tek bir elemanı ile eşleşmesine ne ad verilir?
|
Bağıntı |
|
Fonksiyon |
|
Değer kümesi |
|
Sıralı ikili |
|
Tanım kümesi |
Bir kümenin elemanları, başka bir kümenin elamanları ile ilişki içerisinde olabilir. Bu ilişkinin bazı kurallar çerçevesinde oluşturulan özel bir biçimine de fonksiyon adı verilir. Bir kümenin her elamanı diğer kümenin tek bir elemanı ile eşleşiyorsa buna fonksiyon adı verilmektedir.
16.Soru
Bir takım nesnelerden oluşan topluluğa ne ad verilir?
|
Küme |
|
Eleman |
|
Evren |
|
Grup |
|
Öbek |
Küme birtakım nesnelerden oluşan bir topluluktur.
17.Soru
y = 260 - 7x
y + x = 500
İki bilinmeyenli iki denklemli sistemin çözüm kümesi aşağıdakilerden hangisidir?
|
{-40,-540} |
|
{-40,-460} |
|
{-40,540} |
|
{40,460} |
|
{40,540} |
y = 260 - 7x
y + x = 500
Denklem sistemini çözmek için birden fazla yol vardır. Yerine koyma methodunu kullanırsak ikinici denklemde y'nin yerine yazarsak: 240 - 7x + x = 500 olur. Buna göre 6x = 260 - 500 = -240 olur. x = -40 ve y = 500 - (-40)=540 değerlerini buluruz. Çözüm kümesi {-40,540} olur cevap C şıkkıdır.
18.Soru
Bundan 2 yıl sonra bankadaki paramız B kadar olsun. Eğer bankaya 3 ay vade ve yıllık %10 faiz ile bankaya para yatırıyor isek bankaya bugün yatırmamız gereken miktar için verilen hangi formül doğrudur?
|
Bugünkü miktar = B
|
|
Bugünkü miktar = B / ((4) üzeri 8)
|
|
Bugünkü miktar = B / ((1,025) üzeri 8)
|
|
Bugünkü miktar = B((1,025) üzeri 8)
|
|
Bugünkü miktar = B / 8
|
-
- 1.SORU ÇÖZÜLMEDİ
- 2.SORU ÇÖZÜLMEDİ
- 3.SORU ÇÖZÜLMEDİ
- 4.SORU ÇÖZÜLMEDİ
- 5.SORU ÇÖZÜLMEDİ
- 6.SORU ÇÖZÜLMEDİ
- 7.SORU ÇÖZÜLMEDİ
- 8.SORU ÇÖZÜLMEDİ
- 9.SORU ÇÖZÜLMEDİ
- 10.SORU ÇÖZÜLMEDİ
- 11.SORU ÇÖZÜLMEDİ
- 12.SORU ÇÖZÜLMEDİ
- 13.SORU ÇÖZÜLMEDİ
- 14.SORU ÇÖZÜLMEDİ
- 15.SORU ÇÖZÜLMEDİ
- 16.SORU ÇÖZÜLMEDİ
- 17.SORU ÇÖZÜLMEDİ
- 18.SORU ÇÖZÜLMEDİ