Matematiksel İktisat Final 22. Deneme Sınavı
Toplam 16 Soru1.Soru
f(x) = x2 - 8x + 20 fonksiyonunun x = 2 noktasındaki limiti aşağıdakilerden hangisidir?
|
- 4 |
|
8 |
|
16 |
|
36 |
|
40 |
f(x) = x2 - 8x + 20 fonksiyonunun x = 2 noktasındaki limitini bulmak fonksiyonda x gördüğümüz yere 2 yazmamız yeterlidir. Çünkü x = 2 noktası f(x) fonksiyonun bir kritik noktası değildir. Bu nedenle yalnızca fonksiyonda x gördüğümüz yere 2 yazmak yeterlidir. Buradan f(x) = 22 - 8.2 + 20 = 4 - 16 + 20 = 8 sonucu ortaya çıkar. Bu nedenle Doğru Cevap B seçeneğidir.
2.Soru
İki mal tüketen bir tüketicinin bu iki maldan sağladığı marjinal faydaların birbirine oranına ne ad verilir?
|
Marjinal ikame oranı |
|
Marjinal fayda |
|
Marjinal maliyet |
|
Marjinal teknik ikame oranı |
|
Marjinal fiziki verimlilik |
İki mal tüketen bir tüketicinin bu iki maldan sağladığı marjinal faydaların birbirine oranına marjinal ikame oranı adı verilmektedir.
3.Soru
Aşağıdakilerden hangisi tek bir satır veya sütundan oluşan matrislere verilen addır?
|
Vektör
|
|
Determinant
|
|
Fonksiyon
|
|
Karesel matris
|
|
Üçgensel matris
|
4.Soru
I. Yerine koyma metodu
II. Lagrange çarpanı metodu
III. Toplam diferansiyel metodu
Verilenlerden hangisi ya da hangileri kısıtlı optimizasyon problemlerini çözmek için kullanılan metotlar arasındadır?
|
Yalnız I |
|
I ve II |
|
I ve III |
|
II ve III |
|
I, II ve III |
Bir kısıtlı optimizasyon problemi üç farklı şekilde çözülebilir. Bunlar: Yerine koyma metodu, toplam diferansiyel metodu ve Lagrange çarpan› metodudur. Verilen metotların hepsi kısıtlı optimizasyon problemlerinde kullanılan metotlardandır.
5.Soru
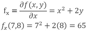
f(x,y)=1/3x3+2xy-y2+3 ise fx = (7,8) aşağıdakilerden hangisidir?
|
45 |
|
50 |
|
55 |
|
60 |
|
65 |
6.Soru
(x)=ax2+bx+c karesel fonksiyonunun grafiği parabol olarak adlandırılır. Eğer a > 0 ise garfik hangi yöne doğru genişler?
|
Yukarı |
|
Aşağı |
|
Sağa |
|
Sola |
|
Doğru şeklindedir |
ƒ(x)=ax2+bx+c karesel fonksiyonunun grafiği parabol olarak adlandırılır. (iktisatta genellikle parabol yerine U şeklinde kavramı kullanılır).
Eğer a > 0 ise grafik yukarı doğru genişler (şekilde a grafiği). Bu durumda parabolün yukarı doğru genişlediği söylenir. Kısaca grafik U şeklindedir.
Eğer a < 0 ise parabol aşağı doğru açılmaktadır. (şekilde b grafiği). Kısaca grafik ters U şeklinde olur.
Doğru cevap A'dır.
7.Soru
K ve L gibi iki üretim faktörü kullanan ve belirli bir üretim düzeyini en düşük maliyetle gerçekleştirmeyi amaçlayan bir firmanın optimizasyon koşulu aşağıdakilerden hangisinde doğru ifade edilmiştir?
|
MPL = MPK = MRTS |
|
MPL = PL/PK = MRTS |
|
MPK= PL/PK = MRTS |
|
MPL/MPK = PL/PK = MRTS |
|
MPL/PK = MPK/PL = MRTS |
Üretimde iki faktör kullanan ve belirli bir üretim düzeyini en düşük maliyetle gerçekleştirmek isteyen bir firma üretimde kullandığı faktörlerin marjinal fiziki verimlerinin oranını (MPL/MPK = MRTS) faktörlerin fiyat oranına (PL/PK) eşitlemesi gerekmektedir. Bu durumda bu firmanın optimizasyon koşulu MPL/MPK = PL/PK = MRTS şeklindedir.
8.Soru
Qd=150-2p ve arz fonksiyonu Qs=70+3p ise denge miktarı aşağıdakilerden hangisidir?
|
16 |
|
118 |
|
200 |
|
225 |
|
312 |
Arz ve talebin eşit olduğu noktaya denge noktası adı verilir.
Arz=Talep
70+3p=150-2p
5p=150-70
p=16 (Denge noktasındaki fiyat )
denge miktarı için;
Q=70+3p=70+3.16=118 olarak hesaplanır.
9.Soru
fonksiyonunun x = 1 noktasındaki türevinin değeri aşağıdakilerden hangisidir?
|
- 1 |
|
-2 |
|
-3 |
|
-4 |
|
-5 |
fonksiyonunun x = 1 noktasındaki türevinin değerini bulabilmek için bölümün türevi kuralını uygulayalım. Buna göre f fonksiyonun türevi;
olarak elde edilir. Bulunan türev fonksiyonunda x gördüğümüz yere 1 yazdığımızda sonuç;
olarak hesaplanır. Buna göre Doğru Cevap E seçeneği olur.
10.Soru
Q = 750 - 3P - 2Pi + 0,1Y şeklindeki bir talep fonksiyonunda P malın fiyatını, Pi alternatif malın fiyatını ve Y tüketicinin gelirini temsil etmektedir. P=20, Pi=40 ve Y=2000 için talebin gelir esnekliği aşağıdakilerden hangisidir?
|
0,20 |
|
0,25 |
|
0,30 |
|
0,35 |
|
0,40 |
Öncelikle P=20, Pi=40 ve Y=2000 iken talep edilen miktarı hesaplayalım.
Q = 750 - 3(20) - 2(40) + 0,1(2000) = 810
Talebin gelir esnekliğini bulmak için fonksiyonun gelire göre kısmi türevini alırız ve bu da 0,1'dir. Buradan;
Doğru cevap B'dir.
11.Soru
10.000 TL paranızın 6 yılın sonunda 20.000 TL olabilmesi için bankanın uyglaması gereken yıllık faiz oranı aşağıdakilerden hangisidir?
|
%12
|
|
%10
|
|
%15
|
|
%14
|
|
%8
|
12.Soru
Verilen matrisin determinantı aşağıdakilerden hangisidir?
|
-140 |
|
60 |
|
-92 |
|
124 |
|
-161 |
13.Soru
% 10 faiz oranının geçerli olduğu durumda 4 yıl sonraki değeri 7500 TL olan bir tahvilin şimdiki değeri aşağıdakilerden hangisidir?
|
5023.5 |
|
5034.6 |
|
5060.5 |
|
5095.6 |
|
5122.6 |
14.Soru
Birbirleriyle ilişkili iki değişkenden biri artarken diğer değişkenin nasıl değişeceğini aşağıdakilerden hangisi gösterir?
|
Türev |
|
Değişim oranı |
|
Kök |
|
Limit |
|
Fonksiyon |
Türev, birbirleriyle ilişkili iki değişkenden biri artarken diğer değişkenin nasıl değişeceğini gösterir. Bir y = f (x) fonksiyonunu ele alırsak bu fonksiyonun herhangi bir x0 noktasındaki türevi, x değişkeninin x0 noktasından çok küçük bir değişimin y’yi nasıl değiştireceğini gösterir.
15.Soru
Aşağıdakilerden hangisi K’ya göre birinci türevi 3L olan fonksiyondur?
|
3L+K
|
|
3KL
|
|
3L/K
|
|
3K/L
|
|
9KL
|
16.Soru
fonksiyonu için aşağıdakilerden hangisi doğrudur?
|
x=3 için kritik nokta mevcuttur |
|
x=4 iken fonksiyon maksimum değerini alır |
|
x=2 iken yerel minimum mevcuttur |
|
x=-2 iken yerel minimum mevcuttur |
|
x=1 için yerel maksimum mevcuttur |
Fonksiyonun kritik noktalarını belirlemek için ilk önce 1. türevini alıp sıfıra eşitlersek: fonksiyonun kritik noktalarıdır. İkinci türevini alırsak:
olur. x=2 için ikinci türev pozitif, x=-2 için ise ikinci türev negatiftir. Bu durumda x=2 için bir yerel minimum, x=-2 için ise bir yerel maksimum bulunmaktadır.