Mathematics 1 Ara 4. Deneme Sınavı
Toplam 19 Soru1.Soru
Given the functions f: R›R, f(x)=x-5 and g: R›R, g(x)=2x+9, calculate the value of (fog)(-1)?
|
-3 |
|
-1 |
|
0 |
|
1 |
|
2 |
g(x)=2x+9 › g(-1)=-1.2+9=7
f(x)=x-5 ›f(7)=7-5=2 (we used the output of the function g(x), as the input of the function f(x))
2.Soru
Which of the following is not a point on the line y=2x-3?
|
(0, -3) |
|
(1, -1) |
|
(2, 1) |
|
(3, 4) |
|
(-1, -5) |
y=2x-3, (3, 4) is not on the line y=2x-3 because if x=3 then y=2*3-3=3. The answer is D.
3.Soru
Let A = [0, 5], B = [1, 7), and C = (2, 8). Find C \ (A ? B).
|
(0, 7) |
|
(0, 8) |
|
(7,8) |
|
[7, 8) |
|
(0, 7] |
Given these intervals, (A ? B) is [0, 7). Then, (2, 8) \ [0, 7) is the required result. It is [7, 8), and D is the correct answer.
4.Soru
How many of the following arguments are true if x>0 and y>0.
- loga(xy)= logax+logay,
- loga(x/y)= logax-logay
- loga(1/y)= -logay
- loga(x)y=y+logax
|
4 |
|
3 |
|
2 |
|
1 |
|
0 |
Only the last argument is false. loga(x)y=ylogax. So the remaining 3 arguments are true.
5.Soru
The function f: R›R is given by,
What is the value of 2f(6)-3f(3)+6f(-1)?
|
-5 |
|
-1 |
|
0 |
|
6 |
|
12 |
f(6)=2-6=-4 hence 6>5
f(3)=3.3=9 hence 1<3<5
f(-1)=(-1)²+4=5 hence -1<1
so, 2f(6)-3f(3)+6f(-1)=2.(-4)-3.9+6.5=-8-27+30=-5
6.Soru
Suppose that we have 2000 TL to invest at an annual rate of interest of 10% for 4 years in an account that pays simple interest. What is the value of the investment (total amount) at the end of second year?
|
2200 |
|
2400 |
|
2500 |
|
2750 |
|
3000 |
2000 +2000 × 10/100 + 2000 × 10/100 = 2000 + 2×200 = 2400 TL
The correct answer is B.
7.Soru
Let A = (–∞, ∞), B = (–∞, 0] and C = (-2, 2). Find C \ (A ∪ B).
|
(0, 2) |
|
[0, 2) |
|
Ø |
|
(0, 2] |
|
(–∞, ∞) |
Since A represents the infinite whole real line interval, so does A ∪ B. Then, C \ (A ∪ B) must be an empty set.
8.Soru
If the half-life of 100 grams of radioactive material is 2000 years, how much of the 100 grams will remain after 1000 years?
|
50.15 |
|
65.52 |
|
68.78 |
|
70.71 |
|
75.75 |
The correct answer is D.
9.Soru
Which of the following quadratic function has its vertex at (-1, – 0)?
|
y=x2 +2x +1 |
|
y=2x2 + 4x + 4 |
|
y=x2 +2x - 1 |
|
x2 + 4x + 4 |
|
y=2x2 + 4x - 4 |
The vertex of y=x2 +2x +1 is (-1, – 0) because - (b / 2a)= -(2 / 2) = -1 and y=(-1)2 + 2.-1 + 1 = 1 - 2 + 1 = 0
10.Soru
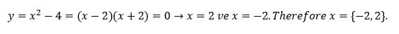
Which of the following is the solution set of
|
{-2, 2} |
|
{2} |
|
{-2} |
|
{0, 2} |
|
{0, -2} |
The answer is A.
11.Soru
Let the functions m: R›R, m(x)=(3/x)+7 and k: R›R, k(x)=3/(x-2), what is the value of m(k(1))?
|
3 |
|
6 |
|
9 |
|
-3 |
|
-6 |
k(x)=3/(x-2)›k(1)=3/(1-2)=-3
m(x)=(3/x)+7›m(-3)=(3/-3)+7=6
m(k(1))=(mok)(1)=6
12.Soru
What is the x in the following equation; log3(1/(x+1))=2 ?
|
-2/3 |
|
-8/9 |
|
2/5 |
|
3/8 |
|
7/2 |
log3(1/(x+1))=2› 3²=1/(X+1)›9=1/(X+1) then 9x+9=1›x=-8/9
13.Soru
For the functions f :R›R, f (x) = 5x³ and g :R›R, g(x) = x – 1, what is the value of the composition (f °g)(1)=?
|
0 |
|
5 |
|
25 |
|
125 |
|
625 |
(f °g)(1)=f(g(1)) hence g(1)=0 f(0)=5.(0)³=0
14.Soru
How many different functions can be defined from a set of 8 elements to a set of 11 elements?
|
3 |
|
8 |
|
11 |
|
19 |
|
88 |
Constant functions map every element from their domain to the same element of the range. We may therefore define a constant function for every element in the range. Since there are 11 different elements in the range we may write 11 different constant functions.
15.Soru
log52 . log43 . log95=?
|
1/6 |
|
1/2 |
|
1 |
|
2 |
|
6 |
using the change-of-base formula, log52=ln2/ln5
log43=ln3/ln4=ln3/ln2²=ln3/2ln2
log95=ln5/ln9=ln5/3ln3
then,log52 . log43 . log95=(ln2/ln5) . (ln3/2ln2) . (ln5/3ln3)=1/6
16.Soru
What is the solution of the equation ln(81x4)=20?
|
e3/3 |
|
e2/5 |
|
0 |
|
1 |
|
e5/3 |
We write 81x4 = (3x)4 and use the law
ln ab = b ln a,
then, 4ln(3x)=20›ln(3x)=5›e5=3x›e5/3=x
17.Soru
Which of the following is not represent an exponential function?
|
|
|
|
|
|
|
|
|
|
An exponential function moves multiplicative. However increases arithmetically. Hence the solution is B.
18.Soru
What is the intersection of the intervals (–∞, 4] and (2, ∞)
|
Empty set |
|
(2, 4] |
|
(2, 4) |
|
[2, 4) |
|
(-∞, ∞) |
The intersection interval is (2, 4] because 2 is open in the second interval and 4 is closed in both intervals.
19.Soru
The functions f : R› R , f (x) = 2x + 9 and g : R› R , g(x) = 12 – 3x are given. What is the value of (4f - 3g)(2)?
|
14 |
|
24 |
|
34 |
|
44 |
|
54 |
4(4 + 9) - 3(12-6) = 52 - 18 = 34
-
- 1.SORU ÇÖZÜLMEDİ
- 2.SORU ÇÖZÜLMEDİ
- 3.SORU ÇÖZÜLMEDİ
- 4.SORU ÇÖZÜLMEDİ
- 5.SORU ÇÖZÜLMEDİ
- 6.SORU ÇÖZÜLMEDİ
- 7.SORU ÇÖZÜLMEDİ
- 8.SORU ÇÖZÜLMEDİ
- 9.SORU ÇÖZÜLMEDİ
- 10.SORU ÇÖZÜLMEDİ
- 11.SORU ÇÖZÜLMEDİ
- 12.SORU ÇÖZÜLMEDİ
- 13.SORU ÇÖZÜLMEDİ
- 14.SORU ÇÖZÜLMEDİ
- 15.SORU ÇÖZÜLMEDİ
- 16.SORU ÇÖZÜLMEDİ
- 17.SORU ÇÖZÜLMEDİ
- 18.SORU ÇÖZÜLMEDİ
- 19.SORU ÇÖZÜLMEDİ