Mathematics 1 Final 2. Deneme Sınavı
Toplam 20 Soru2.Soru
limx→∞ (x99 – 1) / (-x98 + x97 + 1) = ?
|
∞ |
|
does not exist |
|
1 |
|
-∞ |
|
-1 |
-∞ ; Since the degree of the numerator is greater than the degree of the denominator. pg. 114. Correct answer is D.
3.Soru
Which of the following is the value of limx›2 (x + 3) (2x - 5)?
|
-10 |
|
-5 |
|
0 |
|
5 |
|
10 |
From the product rule for limits, we have
limx›2 (x + 3) (2x - 5) = limx›2 (x + 3) . limx›2 (2x - 5)
= (2 + 3) . (4 - 5)
= -5
4.Soru
For which point of the parabola y=-2x2+7x-5, the sum of the coordinates is maximal?
|
(-1,2) |
|
(1,2) |
|
(2,2) |
|
(2,1) |
|
(-2,1) |
5.Soru
Determine the set of continuity of the function f (x) = x2 -1.
|
(-∞, 0) |
|
R |
|
R \ {1} |
|
R \ {-1,1} |
|
R - [-1,1] |
f (x) = x2 -1 is a polynomial function. Hence, it is a continuous function, and its set of continuity is R.
8.Soru
What is the half-life of a radioactive substance if 95% of the initial amount remains at the end of 10 years?
|
23,12 |
|
34,67 |
|
76,98 |
|
113,34 |
|
135,13 |
Let Q(t) be the amount of the radioactive substance at time t and A be the amount of initial radioactive substance. Since decay of the amount of radioactive substance is exponential, the function Q(t) has the following form:
Q(t) = Q0ekt
for t=0›A= Q0 then Q(10)=0,95A=A.ek10
ln 0,95=10k and k=(ln0,95)/10
To find the half-life of this radioactive material we should solve the equation;
0,5A=A.e((ln0,95)/10).t
ln0.5=(ln0,95/10)).t ›135,13
9.Soru
Three sides of a rectangular enclosure having one side along a wall must be fenced. Assume that 500 m of fence is available. Find the largest possible area of the enclosure.
|
7500 m² |
|
15625 m² |
|
25000 m² |
|
31250 m² |
|
50000 m² |
Since the perimeter is x + 2y and the total fence available is 500 m we write x + 2y = 500. From this, x is found as,
x=500-2y and the area of this rectengular is x.y=(500-2y).y = 500y-2y²
f(y)=500y-2y²
f'(y)=500-4y
f'(y)=500-4y=0 (for local maximum value)
y=125m and x=250 m
max area is x.y=125m*250m=31250 m²
10.Soru
Which of the following is the slope of the graph of y=x²+7x-8 at the point (2,10)?
|
1 |
|
8 |
|
10 |
|
11 |
|
17 |
f(x)=x²+7x-8
f'(x)=2x+7
f'(2)=11
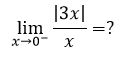
12.Soru
|
3 |
|
-1 |
|
-3 |
|
1/3 |
|
-1/3 |
Since x approaches 0 from the left side, x is negative and for x<0, |3x|=-3x is true. So, we get following result.
. The answer is C.
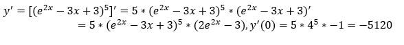
13.Soru
Given the function , find the derivative
|
0 |
|
-5120 |
|
4280 |
|
-1 |
|
1 |
The answer is B.
14.Soru
How many of the following points are stationary points for the function f(x,y)=x4+x2y2-2x2+2y2?
I.(0,0)
II.(1,0)
III.(1,1)
IV. (-1,0)
V.(0,?2)
|
5 |
|
4 |
|
3 |
|
2 |
|
1 |
f(x,y)=x4+x2y2-2x2+2y2?
We have to find the points simultaneously satisfy fx=0 and fy=0
fx=4x3+2xy2-4x=0, so x(4x2+2y2-4)=0
fy=2x2y+4y=0, so y(2x2+4)=0
Points given in III and V doesnt satisfy these conditions simultaneously. So the remaining 3 points are stationary points.
15.Soru
The mobile phone manufacturer BuyMe&UseMe predicts that the demand to their brand new smartphone will be 2000 units if its price is set to 1200 TL, and the demand will be 3000 units if the price is reduced 200 TL per item. What is the demand function for this new product?
|
p=-x/4 +1600 |
|
p=-x/5-1600 |
|
p=-x/5 +2000 |
|
p=-x/5 +1600 |
|
p=x/6 +1600 |
let x denote the demand and p the price of the product. We are given (x1,p1)=2000,1200) and (x2, p2)=(3000,1000), since there is TL discount in the price. The demand line that passes through these points has slope m=-1/5 and its equation is p=-x/5 +1600
16.Soru
While approaching from the left limx→1 |x – 1| / (x – 1) = ?
|
1 |
|
∞ |
|
0 |
|
-1 |
|
does not exist |
(x – 1) / (x – 1) = -1 . pg. 109. Correct answer is D.
17.Soru
Given that g(x)=2x+1 and f(x)=x1/2what is the derivative of f(g(x))?
|
(2x+1)-1/2 |
|
x-1/2 |
|
2x |
|
x1/2 |
|
2 |
f(g(x))=(2x+1)1/2
From the chain rule we know that (f(g(x)))'=f'(g(x))g'(x)
Applying the chain rule we get (f(g(x)))'=(1/2)(2x+1)-1/22=(2x+1)-1/2
18.Soru
The Daily profit, P, of an oil refinery is given by P(x)=16x-0,02x2 where x is the number of barrels of oil refined. How many barrels will give maximum profit?
|
3200 |
|
1600 |
|
800 |
|
400 |
|
200 |
Maximum profit is calculated by taking the derivative of the profit function, in this case, P' (x)=16-0,04x. Equating this derivative to zero we get x=400. Since the function is decreasing on the left and right of this point the required maximum point and the value of the profit at this point is P(400)=3200.
19.Soru
What is the first derivative of the function f(x)=x2+2x+lnx at point x=1?
|
2 |
|
3 |
|
4 |
|
5 |
|
3+ln2 |
f(x)=x2+2x+lnx
f'(x)=2x+2+(1/x) and for x=1 f'(1)=2+2+1=5
20.Soru
Which of the following is the value of limx›1 [(x2 +5x -12) / (2x - 8)]
|
1 |
|
2 |
|
6 |
|
8 |
|
12 |
From the quotient rule for limits together with limx›1 (2x - 8) ? 0, we obtain
(12 + 5 . 1 - 12) / (2 . 1 - 8) = -6 / -6 = 1.
-
- 1.SORU ÇÖZÜLMEDİ
- 2.SORU ÇÖZÜLMEDİ
- 3.SORU ÇÖZÜLMEDİ
- 4.SORU ÇÖZÜLMEDİ
- 5.SORU ÇÖZÜLMEDİ
- 6.SORU ÇÖZÜLMEDİ
- 7.SORU ÇÖZÜLMEDİ
- 8.SORU ÇÖZÜLMEDİ
- 9.SORU ÇÖZÜLMEDİ
- 10.SORU ÇÖZÜLMEDİ
- 11.SORU ÇÖZÜLMEDİ
- 12.SORU ÇÖZÜLMEDİ
- 13.SORU ÇÖZÜLMEDİ
- 14.SORU ÇÖZÜLMEDİ
- 15.SORU ÇÖZÜLMEDİ
- 16.SORU ÇÖZÜLMEDİ
- 17.SORU ÇÖZÜLMEDİ
- 18.SORU ÇÖZÜLMEDİ
- 19.SORU ÇÖZÜLMEDİ
- 20.SORU ÇÖZÜLMEDİ