Portföy Yönetimi Ara 11. Deneme Sınavı
Toplam 20 Soru1.Soru
Aşağıdaki tahvil türlerinden hangisinde ihraç eden kurumun vade tarihinden önceki bir tarihte tahvilleri satın alma hakkı söz konusudur?
|
İkramiyeli tahvil |
|
Geri çağrılabilir tahvil |
|
Başabaş tahvil |
|
Güvencesiz tahvil |
|
Hamiline yazılı tahvil |
İhraç eden kuruma, vade tarihinden önceki bir tarihte tahvilleri satın alma hakkı veren tahvillere geri çağrılabilir tahvil denir.
2.Soru
Aşağıdakilerden hangisi gayrimenkul sertifikalarının metinlerinde bulunması zorunlu olan unsurlardan birisi değildir?
|
Gayrimenkul sertifikası ibaresi |
|
İhraçcının unvanı |
|
Sertifikanın normal getirisi |
|
Sertifikanın nominal değeri |
|
Tali edim ve yerine getirilme süresi |
Gayrimenkul sertifikalarının metinlerinde aşağıda belirtilen unsurların bulunması zorunludur(SPK, Seri III, No:19).
-
Gayrimenkul sertifikası ibaresi,
-
İhraçcının unvanı,
-
Sertifikanın nominal değeri,
-
Sertifikaya konu gayrimenkulün pafta, ada, parsel numarası, metrekaresi ve digger nitelikleri,
-
Sertifika sahiplerinin asli edimin yerine getirilmesini talep edecekleri tarihler ve bu edimin yerine getirilme süresi,
-
Tali edim ve yerine getirilme süresi,
-
Cezai şartlar ve yerine getirilme süresi,
-
Sertifika sahibinin ödemekle yükümlü olacağı vergi, resim, harçlar ile şerefiye gibi giderler hakkında bilgi,
-
İhraççı kurumun edimlerinin yerine getirilmesinin banka tarafından garanti edildiği.
3.Soru
Aşağıdaki durumlardan hangisinde rasyonel yatırımcının elindeki pay senedini satması beklenir?
|
Piyasa değeri gerçek değerden büyükse |
|
Piyasa değeri defter değerinden büyükse |
|
Piyasa değeri gerçek değerden küçükse |
|
Piyasa değeri defter değerinden küçükse |
|
Piyasa değeri, gerçek değer ve defter değeri birbirine eşitse |
Piyasa değerinin gerçek değerden yüksek olduğu durumda pay senedinin pahalı olduğu sinyali alınır ve bekelencek eylem senedin satımı olur.
4.Soru
Aşağıdakilerden hangisi Modern Portföy Kuramının varsayımlarından biridir?
|
Yatırımcının amacı fayda fonksiyonunu minimize etmektir.
|
|
Yatırımcılar yatırım kararlarını yalnızca beklenen getiriye göre alırlar.
|
|
Yatırımcıların risk ve beklenti hakkındaki beklentileri heterojendir.
|
|
Yatırımcılar özdeş zaman ufkuna sahiptirler.
|
|
Sermaye piyasası etkin değildir.
|
5.Soru
Aşağıdakilerden hangisi finansal varlık yatırımlarında beklenen getiri ve risk ile ilgili olarak söylenemez?
|
Finansal varlıklardan elde edilecek dönemsel getiriyi faiz, kar payı gibi getiriler oluşturur. |
|
Varlığın dönem başı fiyatı ile dönem sonu fiyatı arasındaki fark sermaye kazancını oluşturur. |
|
Eğer yatırım aracı pay senedi gibi ortaklık hakkı veren finansal varlık ise yatırımın dönemsel getirisi kar payıdır. |
|
Yatırım aracı tahvil gibi alacaklılık hakkı veren bir finansal varlık ise temettü söz konusudur. |
|
Yatırımlarda belirli bir risk düzeyinde getirinin en yüksek ya da belirli bir getirinin en düşük riskle elde edilmesi istenir. |
Yatırım, bugünkü varlık(servet) düzeyinden daha fazlasına sahip olmak, diğer bir ifade ile getiri elde etmek amacıyla yapılır. Finansal varlıklardan elde edilecek dönemsel getiriyi faiz, kar payı gibi getiriler oluştururken, varlığın dönem başı fiyatı ile dönem sonu fiyatı arasındaki fark sermaye kazancını oluşturur. Eğer yatırım aracı pay senedi gibi ortaklık hakkı veren finansal varlık ise yatırımın dönemsel getirisi kar payı(temettü, dividant); yatırım aracı tahvil gibi alacaklılık hakkı veren bir finansal varlık ise faiz getirisi söz konusu olacaktır.
Yatırımlarda elde edilecek getirinin mümkün olduğunca yüksek, riskin de düşük olması amaçlanır. Diğer bir ifade ile belirli bir risk düzeyinde getirinin en yüksek ya da belirli bir getirinin en düşük riskle elde edilmesi istenir. Ancak yatırımların geleceğe yönelik olması, geleceğin de bugünden tam olarak kestirilememesi nedeniyle az ya da çok riskle karşılaşılması kaçınılmazdır. Risk, yatırımdan beklenen getirinin elde edilememe olasılığını ifade eder. Yatırımlardan beklenen getiriyi elde etme olasılığı ne kadar yüksekse gerçekleşen getiri ile beklenen getiri o kadar örtüşecektir.
6.Soru
Aşağıdakiledren hangisi, Markowitz’in modern portföy yaklaşımını, geleneksel portföy yaklaşımından ayıran temel özelliklerden birisi değildir?
Aşağıdakiledren hangisi, Markowitz’in modern portföy yaklaşımını, geleneksel portföy yaklaşımından ayıran temel özelliklerden birisi değildir?
|
Portföy seçimi, kavram olarak menkul kıymet seçimi kavramından daha geniş ve farklıdır. |
|
Portföy analizi yapılırken, öncelikle, yatırımcıların beklentileri göz önüne alınmalıdır. |
|
Portföy getirilerinin belirsizliği (ya da riski) ve menkul kıymet getirileri arasındaki ilişki şeklinde ele almak mümkündür. |
|
Geleceğe ilişkin beklentiler portföy analizine girdi oluşturuyorsa, ulaşılan sonuç, beklentilere bağlı olarak değişecektir. |
|
Menkul kıymetlere yatırım yapan yatırımcılardan çok, portföyü oluşturan fınansal varlıklar önemlidir. |
Menkul kıymet getirileri arasındaki ilişkilerin dikkate alınması ve tam pozitif ilişki içinde bulunmayan varlıkların aynı portföyde bir araya getirilmesiyle beklenen getiriden feragat etmeden riskin azaltılabileceğini gösteren Harry Markowitz’in modern portföy yaklaşımını, geleneksel portföy yaklaşımından ayıran özellikleri ile ilgili görüşlerini şu şekilde özetlemek mümkündür.
Portföy seçimi, kavram olarak menkul kıymet seçimi kavramından daha geniş ve farklıdır. İyi bir portföyü, iyi pay senetleri ve tahvillerden oluşan uzun bir liste olarak düşünmemek gerekir. C¸ünkü portföye belirli amaçlar ve tekniklerle alınan menkul kıymetlerin tek tek ele alınması, farklılıklarının ve özelliklerinin araştırılması gerekir.
O¨te yandan, portföy analizinin iki boyutu bulunmaktadır. Bunlardan ilki, menkul kıymetlere yatırım yapan yatırımcılardır. Diğeri ise, portföyü oluşturan fınansal varlıklardır. Portföy analizi yapılırken, öncelikle, yatırımcıların beklentileri göz önüne alınmalıdır.
Portföy analizi, menkul kıymetler hakkında gerekli olan bilgilerin toplanması ile başlar. Portföy analizinin temel girdilerini menkul kıymetler ile ilgili çeşitli bilgi kaynakları oluşturur. Bu kaynakların başlıcaları; menkul kıymetin ait olduğu işletme ile ilgili bilgiler, her bir menkul kıymetin geçmiş yıllarda gösterdiği performansı, menkul kıymet veya kıymetlerin gelecekteki performansları konusundaki beklentilerdir. Eğer, portföy analizi girdisi olarak menkul kıymetin geçmiş yıllardaki performansı kullanılıyorsa, ulaşılan sonuç, genellikle geçmişin iyileştirilmiş tekrarı niteliğinde olacaktır.
O¨te yandan, geleceğe ilişkin beklentiler portföy analizine girdi oluşturuyorsa, ulaşılan sonuç, beklentilere bağlı olarak değişecektir.
Modern portföy kuramının temelini, portföy getirilerinin belirsizliği (ya da riski) ve menkul kıymet getirileri arasındaki ilişki şeklinde ele almak mümkündür.
7.Soru
Pek çok aile için geçerli olan Gelirleri Harcama Hiyerarşisi'nde emeklililik sigortası en alttan kaçıncı sıradadır?
|
1 |
|
2 |
|
3 |
|
4 |
|
5 |
Yatırım
İhtiyati tedbir olarak nakit bulundurulması
Emeklilik sigortası
Hayat sigortası
Yiyecek, giyim ve barınma
8.Soru
I. Ne kadar para yatırabileceği II. Ne kadar finansal risk alınacağı III. Hangi sektörlere yatırım yapacağını Yatırımcı, yatırım uzmanına amacını ve genel yatırım planını açık şekilde anlatmalıdır. Bunun için yatırımcı, yatırım öncesinde yukarıdaki kararlardan hangisini veya hangilerini almış olması gerekir?
|
Yalnız I |
|
Yalnız II |
|
I ve II |
|
I ve III |
|
I, II ve III |
Ne kadar para yatırabileceği ve ne kadar risk alınacağı önceden yatırımcının almış olması gereken kararlardandır. Fakat hangi sektörlere yatırımı yapılacağı hususu portföy yönetim şirketinin kararıdır.
9.Soru
Portföy planlamasında yer alan konular aşağıdaki şıklardan hangisinde doğru olarak verilmiştir?
|
Ekonomi analizi- sektör analizi- tahmin analizi |
|
Performans ölçütleri- performans karşılaştırmaları |
|
Yatırımcının durumu- yöneticinin durumu- yatırım ölçütleri |
|
genel kompozisyon kararları- menkul kıymet seçimi |
|
Genel kompozisyon kararları- menkul kıymet seçimi-zaman kararları |
Portföy planlaması aşaması aşağıdaki konuları kapsamaktadır.
1. Yatırımcının durumunun incelenmesi,
2. Yatırım uzmanının veya portföy yöneticisinin durumunun saptanması,
3. Yatırımcı adına faaliyette bulunan portföy yöneticisine yol gösterecek yatırım ölçütlerinin saptanmasıdır.
10.Soru
Modern Portföy Teorisi’nin geliştirilmesinde öncü olarak bilinen kişi aşağıdakilerden hangisidir?
Modern Portföy Teorisi’nin geliştirilmesinde öncü olarak bilinen kişi aşağıdakilerden hangisidir?
|
Markowitz |
|
Sharpe |
|
Lintner |
|
Mossin |
|
Ross |
Modern Portföy Teorisi’nin geliştirilmesinde öncü olarak bilinen Harry Markowitz, 1952 yılında yayınladığı “portföy seçimi” başlıklı makalesinde, portföyde yer alan menkul kıymetlerin, belirli risk seviyelerinde mümkün olan maksimum getiri oranının nasıl sağlanabileceğini araştırmıştır. Markowitz, geleneksel portföy yönetimine üç önemli noktada katkıda bulunmuştur. Bunlardan birincisi ve en önemlisi, portföy yönetiminde, kısımların veya parçaların toplamının, bütüne eşit olmadığının ispatlanmasıdır.
11.Soru
Portföy riski ile ilgili aşağıda verilen bilgilerden hangisi doğru değildir?
|
Toplam riskin bileşenleri, sistematik risk ve sistematik olmayan risklerdir.
|
|
Her portföy için mutlaka bir sistematik risk söz konusudur.
|
|
Sistematik olmayan risk, iyi bir çeşitlendirme ile düşürülebilir.
|
|
Sistematik risk, her zaman sabittir.
|
|
Çok iyi çeşitlendirilmiş bir portföyde sistematik olmayan risk, sistematik risk seviyesine kadar indirilebilir.
|
12.Soru
Aşağıdakilerden hangisi geleneksel portföy yönetimi için söylenemez?
|
Portföy performansı ile menkul kıymet sayısı arasında doğrusal bir ilişki varsayar. |
|
portföy yönetimini bir sanat dalı olarak görür |
|
Portföye dahil olacak menkul kıymet seçiminde subjektif yaklaşımlar kullanılır. |
|
Basit çeşitlendirme esasına dayanan bir yaklaşımdır. |
|
Portföy oluşturmada matematik ve istatistikten faydalanır. |
Menkul kıymet seçimlerinde matematik ve istatistikten yararlanan yöntem geleneksel portföy yönetimi değil modern portföy yönetimidir.
13.Soru
Aşağıdakilerden hangisi menkul kıymetlerden oluşan bir topluluğu gösterir?
|
Menkul kıymet portföyü
|
|
Dayanak varlık
|
|
Menkul kıymet hiyerarşisi
|
|
Menkul kıymet dengesi
|
|
Emtia
|
14.Soru
Aşağıdaki sınırlamalardan hangisi daha çok yüksek gelir diliminde bulunan bireylerle ilgilidir?
|
Vergiden muafiyet ihtiyacı |
|
Yatırımcının risk karşısındaki tutumu |
|
Cari fiyatlarla gelir elde etme ihtiyacı |
|
Sabit fiyatlarla gelir elde etme ihtiyacı |
|
Sabit fiyatlarla anaparanın korunması ihtiyacı |
Yüksek gelir dilimlerinde bulunan bireyler, vergiden muafiyet veya vergi korunması sağlayacak yatırımları arzu ederler.
15.Soru
Aşağıdakilerden hangisi modern portföy kuramının ileri sürdüğü bir portföyde olması gereken menkul kıymet sayısı aralığını verir?
|
5-10 |
|
10-15 |
|
15-20 |
|
20-25 |
|
25-30 |
Modern portföy kuramına göre, portföye dahil edilecek menkul kıymet sayısının genelde 15 - 20 arasında olması gerektiği ileri sürülmektedir.
16.Soru
X pay senedinin standart sapması %10, beklenen getirisi ise %25’tir. Bu pay senedinin değişim katsayısı kaçtır?
|
2 |
|
0,35 |
|
0,15 |
|
2,5 |
|
1 |
D.K= 0,25/0,10=2,5
17.Soru
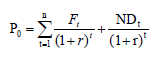
3.000 nominal değerli, %22 nominal faizli, 3 ayda bir faiz ödemeli, 5 yıl vadeli bir tahvilden %24 getiri beklendiğinde tahvil hangi fiyatla satın alınmalıdır?
|
978 TL |
|
1169 TL |
|
1073 TL |
|
1222 TL |
|
1403 TL |
Tahvilin değerini bulmak için aşağıdaki eşitlikten yararlanılır:
Bu eşitlikte;
P0 = Tahvilin değeri
n = Tahvilin vadesi boyunca dönem sayısı
ND = Tahvilin vadesine kadar ya da vadede yatırımcısının eline geçecek değer
F = Dönemsel faiz ödemeleri
r = İstenen getiri oranı ya da piyasa faiz oranını göstermektedir.
Bu bağlamda;
Yılda ödenecek faiz tutarı= Nominal değer * Nominal faiz oranı
Yılda ödenecek faiz tutarı= 1.000*%15= 150 TL bulunur.
n = 5x4 = 20 (Yılda 4 kez, 5 yıl boyunca)
F = 150/4 = 37,5 TL
ND = 3000 TL
r = 0,24/4 =%6
Buna göre tahvilin değeri aşağıdaki gibi elde edilir:
18.Soru
Aşağıdakilerden hangisi sistematik riskler arasında değildir?
|
Satın alma gücü riski |
|
Faiz oranı riski |
|
Politik risk |
|
Finansal risk |
|
Kur riski |
Finansal risk bir sistematik olmayan risk türüdür.
19.Soru
Portföy yönetim sürecinde performans ölçüleri ve performans karşılaştırmaları aşağıdakilerden hangisi içerisinde yer alır?
|
Portföy değerlendirilmesi
|
|
Nakit bütçesi
|
|
Fon akım bütçesi
|
|
Portföy planlaması
|
|
Portföy revizyonu
|
20.Soru
Gelire Endeksli Senet (GES) iel aşağıdakilerden hangisi amaçlanmaktadır?
Gelire Endeksli Senet (GES) iel aşağıdakilerden hangisi amaçlanmaktadır?
|
Küçük kupürler çıkararak sermaye piyasasının yararlanacağı yeni bir araç yaratılaktadır. |
|
Getirisi Devlet gelirleriyle ilişkilendirilen bir yatırım aracı yaratılmış olmaktadır. |
|
Altyapı yatırımlarına devlet bütçesi dışında kaynak sağlamaktadır. |
|
O¨zellikle faiz geliri elde etmek istemeyen yatırımcılara ulaşılmaktadır. |
|
Sabit faizli devlet tahvillerinin hazineye getirdiği faiz yükünü hafifletmek amacıyla çıkarılmaktadır. |
Getirileri, Kamu İktisadi Teşebbüslerinden elde edilen ve Bütçe’ye aktarılan hasılat paylarına endekslenmek suretiyle oluşturulan GES ihracı ile Hazine ve Maliye Bakanlığı’nca ihraç edilen Devlet iç borçlanma senetlerinin çeşitlendirilmesi ve yatırımcı tabanının genişletilmesi amaçlanmaktadır. GES ile getirisi Devlet gelirleriyle ilişkilendirilen bir yatırım aracı yaratılmış olmaktadır. Söz konusu senetlere uygulanacak asgari kupon ödeme garantisi sayesinde yatırımcının gelir payındaki değişimden olumsuz etkilenmesi önlenmiş olacaktır.
GES’ler 3 yıl vadeli ve 3 ayda bir kupon ödemeli olarak T cinsi ve 3 yıl vadeli 6 ayda bir kupon ödemeli USD cinsi ihraç edilmektedir.
-
- 1.SORU ÇÖZÜLMEDİ
- 2.SORU ÇÖZÜLMEDİ
- 3.SORU ÇÖZÜLMEDİ
- 4.SORU ÇÖZÜLMEDİ
- 5.SORU ÇÖZÜLMEDİ
- 6.SORU ÇÖZÜLMEDİ
- 7.SORU ÇÖZÜLMEDİ
- 8.SORU ÇÖZÜLMEDİ
- 9.SORU ÇÖZÜLMEDİ
- 10.SORU ÇÖZÜLMEDİ
- 11.SORU ÇÖZÜLMEDİ
- 12.SORU ÇÖZÜLMEDİ
- 13.SORU ÇÖZÜLMEDİ
- 14.SORU ÇÖZÜLMEDİ
- 15.SORU ÇÖZÜLMEDİ
- 16.SORU ÇÖZÜLMEDİ
- 17.SORU ÇÖZÜLMEDİ
- 18.SORU ÇÖZÜLMEDİ
- 19.SORU ÇÖZÜLMEDİ
- 20.SORU ÇÖZÜLMEDİ