Sağlık Alanında İstatistik Final 9. Deneme Sınavı
Toplam 20 Soru1.Soru
100.000.000 nüfusa sahip bir ülke genç nüfuslu ülke olarak adlandırılmaktadır. Buna göre bu ülkede 15 yaş ve altı nüfus kaç kişidir?
|
25.000.000 ve üzeri |
|
40.000.000 ve üzeri |
|
50.000.000 ve üzeri |
|
5.000.000 ve üzeri |
|
4.000.000 ve üzeri |
15 yaş altı nüfusun, genel nüfus içerisindeki oranı yüksek (%40’ın üzerinde) ise bu tür toplumların
nüfus yapısına genç nüfus adı verilir. bu nedenle cevap B seçeneğidir.
2.Soru
İki değişken arasında 0.86 değerinde bir ilişki varsa bu iki değişken arasındaki ilişki hakkında aşağıdaki yargılardan hangisine varılabilir?
|
Doğrusal negatif bir ilişki vardır |
|
Orta düzeyde bir ilişki vardır |
|
Güçlü negatif korelasyon vardır |
|
Güçlü pozitif bir ilişki vardır |
|
Pozitif orta düzeyde bir ilişki vardır |
-1 ve +1 tam değerlerine yaklaştıkça ilişkinin derecesinin arttığı ifade edilirken sıfıra yaklaştıkça ilişkinin derecesinin azaldığı/zayıfladığı ifade edilir. 0.86 +1 mükemmel korelasyon katsayısına yakın olduğundan pozitif güçlü bir ilişki olduğunu ifade eder.
3.Soru
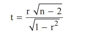
Korelasyon katsayısının 0,38’e eşit olduğu bir çalışmada, korelasyon katsayısının anlamlılık testi yapılmak istenmektedir. Araştırmada 17 adet gözlem çifti yer almaktadır. Bu bilgilere göre korelasyon katsayısı anlamlılık testinde kullanılacak olan gözlemlenen t istatistiği değeri kaçtır?
|
2,24 |
|
1,68 |
|
1,59 |
|
1,32 |
|
2,58 |
Formülüne göre verilenler yerine konulup işlem yapıldığında sonuç 1,59 çıkmaktadır.
4.Soru
Aşağıdakilerden hangisi kurum içi ve kurumlar arası karşılaştırmalarda sağlık ölçütü olarak kullanılan ölçütlerden birisi değildir?
|
Ameliyat sonrası ölüm hızı |
|
Evde doğum oranı |
|
Otopsi hızı |
|
Gereksiz ameliyat hızı |
|
Kaba ölüm oranı |
Kurum içi ve kurumlar arası karşılaştırmalarda sağlık ölçütü olarak kullanılan daha birçok gösterge bulunmaktadır. Bunlardan
bazıları aşağıda verilmiştir.
• Ameliyat sonrası ölüm hızı
• Hastanede ana ölüm hızı
• Hastanede bebek ölüm hızı
• Enfeksiyon hızları
• Ameliyat sonrası enfeksiyon hızı
• Otopsi hızı
• Sezeryan hızı
• Gereksiz ameliyat hızı
5.Soru
İş fırsatlarını değerlendiren bir kişinin yaşadığı yer olan Eskişehir'den ayrılarak Lizbon'a yerleşmesini aşağıdaki tanımlardan hangisi en iyi tanımlamaktadır?
|
Dışa göç |
|
İçe göç |
|
Göçmen |
|
Net göç |
|
İç göç |
Bölge sınırları içinden, bölge dışına yapılan göçe dışa göç denir. Başka bir tanımla bölgenin dışarıya göç vermesi ya da bölgeden başka bölgelere göç olayının gerçekleşmesidir. Örneğin, Eskişehir’de yaşayan bir ailenin İstanbul’a göç etmesi, Eskişehir ili için dışa göç
hareketidir. İstanbul ili için içe göç hakeketi olarak adlandırılan bu durum aynı zamanda ülkemiz için de iç göç hareketi olarak tanımlanır. Bir bölgeye olan içe göçlerin toplamından o bölgeden dışa olan göçlerin toplamının çıkartılmasıyla net göç elde edilir. Yerleşmek amacıyla bir başka ülkeden gelen ya da başka ülkeye giden kişilere göçmen denir.
6.Soru
ROC eğrisi yöntemi yardımıyla aşağıdakilerden hangisi yapılmaz?
|
Laboratuar malzemelerinin kalitesi belirlenir. |
|
Uygun pozitiflik eşiği belirlenir. |
|
Testin ayırt etme gücü belirlenir. |
|
Çeşitli testlerin etkinlikleri birbirleri ile karşılaştırılır. |
|
Farklı uygulayıcıların etkinlikleri birbirleri karşılaştırılır. |
ROC eğrisi yöntemi yardımıyla;
- Testin ayırt etme gücü belirlenir.
- Çeşitli testlerin etkinlikleri birbirleri ile karşılaştırılır.
- Uygun pozitiflik eşiği belirlenir.
- Laboratuvar sonuçlarının kalitesi izlenir.
- Uygulayıcının zaman içerisindeki gelişimi belirlenir.
- Farklı uygulayıcıların etkinlikleri birbirleri karşılaştırılır.
Laboratuvar malzemelerinin kalitesi izlenmez. Doğru cevap A'dır.
7.Soru
Eskişehir Devlet Hastanesinde son bir ayda yatan toplam hasta sayısı 1350 ve hastaneye başvuran toplam hasta sayısı 112000 olmak üzere Eskişehir ili için yatan hasta oranı kaçtır?
|
0,012 |
|
0,82 |
|
1,205 |
|
82,96 |
|
8,29 |
Yatan hasta oranı, belli bir dönemde hastaneye yatan toplam hasta sayısının, acil servis ve polikliniklerden hastaneye başvuran toplam hasta sayısına bölünmesi ve bu sonucun 100 ile çarpımı ile hesaplanır.
YHO= (1350/112000)?100= 1,205 bulunur. Doğru cevap C'dir.
8.Soru
Bir araştırmada Pearson korelasyon katsayısı -0,96 olarak elde edilmiştir. Bu durumda araştırmaya konu olan değişkenlerin arasındaki ilişki hakkında aşağıdakilerden hangisi söylenebilir?
|
Tam (mükemmel) eksi (ters yönlü) korelasyon mevcuttur. |
|
Güçlü eksi (ters yönlü) korelasyon mevcuttur. |
|
Zayıf eksi (ters yönlü) korelasyon mevcuttur. |
|
Güçlü artı (aynı yönlü) korelasyon mevcuttur. |
|
Zayıf artı (aynı yönlü) korelasyon mevcuttur. |
İki değişken arasında korelasyon katsayısı 1'e yakın bir değer ise, bu aralarındaki ilişkinin güçlü olduğunu ve negatif bir değer ise de bu ilişkinin eksi (ters yönlü) olduğunu göstermektedir. Doğru cevap B'dir.
9.Soru
“İki ana kütle medyan değerleri arasındaki fark sıfırdır” sıfır hipotezinin kullanıldığı test hangisidir?
|
McNemar |
|
Kruskall-Wallis H |
|
Mann-Whitney U |
|
Wilcoxon |
|
Kolmogorov-Smirnov |
“İki ana kütle medyan değerleri arasındaki fark sıfırdır” sıfır hipotezinin kullanıldığı test Wicoxon testi'dir. Doğru cevap D'dir.
10.Soru
Koşullara bağlı olarak farklı zamanlarda farklı değerler alabilen birimlerin herhangi bir özelliğine ya da karakteristiğine ne ad verilir?
|
Özellik |
|
Parametre |
|
Kitle |
|
Evren |
|
Değişken |
Koşullara bağlı olarak farklı zamanlarda farklı değerler alabilen birimlerin herhangi bir özelliğine ya da karakteristiğine değişken adı verilir. Doğru cevap E'dir.
11.Soru
Bir ilacın satış görüşmesinin yapılmasının örneklem uzayının gösterimi aşağıdakilerden hangisidir?
|
S= satıldı – satılmadı |
|
S= satıldı, satılmadı |
|
S = {satıldı, satılmadı} |
|
S= “satıldı” – “satılmadı” |
|
Satıldı ya da satılmadı |
Bir deneyde olası tüm sonuçların belirlenmesiyle, bu deney için örneklem uzayı tanımlanmış olur. Dolayısıyla bir deneyin tüm olası sonuçlarından oluşan kümeye örneklem uzayı adı verilir ve bu küme S harfi ile gösterilir. “Tek bir bozuk para atılması” deneyini ele alalım. Bu deneyin olası sonuçları (örneklem uzayı noktaları); “yazı” ya da “tura” olacaktır. Bu durumda örneklem uzayının gösterimi aşağıdaki gibi yapılabilir:
S = {Satıldı, Satılmadı}
12.Soru
Verinin belirli işlemlerden geçirilmesine veri işlem ve işlemden geçirildikten sonra elde edilen ürüne ne denilmektedir?
|
İnsidans |
|
Prevalans |
|
Fatalite |
|
Enformasyon |
|
Özgüllük |
Verinin belirli işlemlerden geçirilmesine veri işlem ve işlemden geçirildikten sonra elde edilen ürüne enformasyon adı verilmektedir. Doğru cevap D'dir.
13.Soru
Bir araştırmacı sağlık ocağına başvuranlardan kan analizi yaptıranların kanlarındaki X değerini incelemektedir. X değerinin bazı hastalıklara neden olduğunu gözlemleyen bu araştırmacı A ve B tedavi yöntemleriyle X değerini azaltmayı amaçlamaktadır. Bu durumda X değeri nasıl bir değişken olmaktadır?
|
Bağımlı değişken |
|
Bağımsız değişken |
|
Sürekli değişken |
|
Süreksiz değişken |
|
Nicel değişken |
Bağımlı değişken araştırmacının üzerinde çalıştığı değişken olup bu değişken üzerinde meydana gelen değişimler ya da bu değişkenin toplam değişkenliğinin açıklanılmasına çalışılmaktadır. Örneğin öğrencilerin final sınav sonucu bağımlı değişken olarak ele alınabilir. Öğrencinin final sınav sonucunu etkileyen birçok faktörün bulunması doğaldır. Bağımsız değişken ya da değişkenler ise ilgilenilen bağımlı değişkende meydana gelen değişim ya da toplam değişkenliğinin üzerinde etkisi olabileceği düşünülen değişken ya da değişkenlerdir. Örneğin, bağımlı değişken final sınav sonucu ise bağımsız değişken öğrencinin sınava çalışma süresi olabilir.
14.Soru
Bir bölgenin 2017 yılı içerisindeki içe göç sayısı 4.210 ve dışa göç sayısı ise 290 olarak saptanmıştır. Bölgenin aynı yıl, yıl ortası nüfusu 241.000 olduğuna göre bölgenin genel göç hızı kaçtır?
|
17.67 |
|
18.67 |
|
19.67 |
|
20.67 |
|
21.67 |
Bir yıl içinde bir bölgede içe olan göç sayısı ile dışa olan göç sayısının toplamının o bölge yıl ortası nüfusuna bölünmesi ile bulunur. Her 1.000 kişide, kaç kişinin bölge içine geldiğini ve bölge dışına gittiğini gösterir.
15.Soru
Bir hastanede 4645gr dünyaya gelen bir bebeği bu ağırlığa göre sınıflayacak olan hemşire aşağıda yer alan hangi adlandırmayı kullanır?
|
Aşırı kilolu |
|
Düşük doğum ağırlığı |
|
Normal doğum ağırlığı |
|
Tosuncuk |
|
Çok düşük doğum ağırlığı |
Canlı doğum, gebelik süresine bakılmaksızın anne vücudundan ayrıldığı anda soluk alan, kalp atımı, kordonda nabız ve çizgili adalelerin hareketi gibi herhangi bir yaşam belirtisi gösteren gebelik ürününe denir. Prematüre doğum, gebelik süresi 37 haeadan (259 günden) az olan canlı doğumdur. Normal doğum, gebelik süresi 38-42 haea arası olan canlı doğumdur. Sürmatüre doğum (gecikmiş doğum, sürmatürasyon), gebelik süresi 42 haeadan fazla olan canlı doğumdur. Doğumlar, bebeğin doğduğu andaki ağırlığına göre 4’e ayrılır. Bunlar; <1500gr Çok Düşük Doğum Ağırlığı 1500-2499gr Düşük Doğum Ağırlığı 2500-4250gr Normal Doğum Ağırlığı >4250gr Tosuncuk olarak adlandırılmaktadır.
16.Soru
Bir araştırmada bağımsız değişken (X) ve bağımlı değişken (Y) için gözlemlenen değerler yukarıdaki tabloda verilmiştir. Bu veri kümesi için oluşturulacak regresyon tahmin denklemi aşağıdakilerden hangisidir?
|
|
|
|
|
|
|
|
|
|
17.Soru
Bir bölgede km²ye kaç kişinin düştüğünü gösteren ölçü aşağıdakilerden hangisidir?
|
Nüfus Yoğunluğu |
|
Bölge Nüfusu |
|
Bölgenin Yüzölçümü |
|
Bölgenin Hızı |
|
Bölgenin Oranı |
Nüfus Yoğunluğu: Bir bölgedeki toplam nüfusun o yerin yüz ölçümüne (km²) bölünmesi ile elde edilir. Bir bölgede km²ye kaç kişinin düştüğünü gösteren ölçüdür.
18.Soru
Pearson korelasyon katsayısının alabileceği en küçük değer aşağıdakilerden hangisidir?
|
-1 |
|
-2 |
|
-1.5 |
|
0 |
|
-0.97 |
İki ya da daha fazla ve en az aralıklı ölçeğe uygun şekilde ölçümlenmiş değişkenler arasındaki ilişkinin derecesini belirlemek için Pearson korelasyon katsayısı kulllanılır. Bu
katsayı r ile gösterilir. Pearson r korelasyon katsayısı -1 ile +1 arasında değişen değerler
almaktadır. -1 ve +1 değerlerine eşit sonuçlar, değişkenler arasında mükemmel/tam ilişkinin varlığını gösterir.
19.Soru
Bir araştırmada iki değişken arasındaki korelasyon katsayısı - 0,15 olarak tespit edilmiştir. Bu korelasyon değerine göre iki değişken arasındaki ilişki hakkında aşağıdakilerden hangisi söylenebilir?
|
Aralarında doğru yönlü mükemmel ilişki vardır |
|
Aralarında ilişki yoktur |
|
Aralarında negatif ve orta dereceli ilişki vardır |
|
Aralarında pozitif yönlü ve kuvvetli ilişki vardır |
|
Aralarında ters yönlü zayıf bir ilişki vardır |
Pearson r korelasyon katsayısı -1 ile +1 arasında değişen değerler almaktadır. -1 ve +1 değerlerine eşit sonuçlar, değişkenler arasında mükemmel/tam ilişkinin varlığını gösterir. Böyle bir durumda değişkenlerden herhangi birisinde meydana gelen bir birimlik değişim diğer değişkende de bir birimlik değişim yaratacaktır. Eksi değerler değişkenler arasındaki ters yönlü ilişkiyi gösterirken (değişkenlerden birinin değeri artarken diğerinin değerinin azalması gibi) artı değerler değişkenler arasındaki aynı yönlü ilişkiyi (değişkenlerden birinin değeri artarken diğerinin değeri de artmaktadır gibi) göstermektedir. Eğer iki değişken arasında hiç ilişki yok ise Pearson korelasyon katsayısı 0 (sıfır) değerini alacaktır. -1 ve +1 tam değerlerine yaklaştıkça ilişkinin derecesinin arttığı ifade edilirken sıfıra yaklaştıkça ilişkinin derecesinin azaldığı/zayıfladığı ifade edilir. Pearson korelasyon değeri -0,50 ya da +0,50 etrafında bir değer ise değişkenler arasında orta düzeyli bir ilişkinin varlığı ifade edilir.
20.Soru
Bağımlı değişken y’de ortaya çıkan toplam değişkenliğin, x bağımsız değişkenin değişkenliği tarafından açıklanan kısmını oransal olarak tespit etmek için aşağıdakilerden hangisi hesaplanır?
|
Belirlilik katsayısı |
|
Pearson korelasyon katsayısının anlamlılık testi |
|
Örneklem regresyon doğrusunun anlamlılık testi |
|
Basit doğrusal regresyon analizi |
|
Çoklu doğrusal regresyon analizi |
Korelasyon katsayısı yardımıyla değişkenler arasındaki ilişki ifade edilirken zayıf, orta ilişki gibi nitelemelerin gerçekleştirilmesi söz konusudur. Araştırmacılar, herhangi bir değişkende meydana gelen değişimin, bu değişkenle ilişkili olduğunu düşündükleri değişken tarafından ne kadarının açıklandığını tespit etmeleri gerektiğinde belirlilik katsayısı hesaplanır.
-
- 1.SORU ÇÖZÜLMEDİ
- 2.SORU ÇÖZÜLMEDİ
- 3.SORU ÇÖZÜLMEDİ
- 4.SORU ÇÖZÜLMEDİ
- 5.SORU ÇÖZÜLMEDİ
- 6.SORU ÇÖZÜLMEDİ
- 7.SORU ÇÖZÜLMEDİ
- 8.SORU ÇÖZÜLMEDİ
- 9.SORU ÇÖZÜLMEDİ
- 10.SORU ÇÖZÜLMEDİ
- 11.SORU ÇÖZÜLMEDİ
- 12.SORU ÇÖZÜLMEDİ
- 13.SORU ÇÖZÜLMEDİ
- 14.SORU ÇÖZÜLMEDİ
- 15.SORU ÇÖZÜLMEDİ
- 16.SORU ÇÖZÜLMEDİ
- 17.SORU ÇÖZÜLMEDİ
- 18.SORU ÇÖZÜLMEDİ
- 19.SORU ÇÖZÜLMEDİ
- 20.SORU ÇÖZÜLMEDİ