Sanayi Ekonomisi Ara 3. Deneme Sınavı
Toplam 20 Soru1.Soru
Tenis ve golf kulüplerine baştan yıllık aidat ödemenizin yanında tesisleri her kullandığınızda tekrar ödeme yapıyor olmanız size hangi tür fiyatlama stratejisi uygulandığını gösterir?
|
Paket dahilinde satış |
|
İkinci derece fiyat farklılaştırması |
|
Üçüncü derece fiyat farklılaştırması |
|
Zamanlar arası fiyat farklılaştırması |
|
Çift yönlü tarife |
Çift yönlü tarife uygulandığını gösterir. Tüketici artığını elde etmenin diğer bir yolu çift yönlü tarife uygulamaktır. Burada tüketiciler mal veya hizmetin satın alma hakkını elde edebilmek için önceden bir ödeme yapmaktadırlar. Bu ödemeyi yaptıktan sonra tüketilmek istenen her birim için yeni bir ödeme yapmak zorundadırlar. Dolayısıyla, doğru seçenek "E" şıkkıdır.
2.Soru
İkinci derece fiyat farklılaştırması ile ilgili aşağıdaki bilgilerden hangisi yanlıştır?
|
İkinci derece fiyat farklılaştırması doğrusal olmayan fiyat farklılaştırması olarak bilinir. |
|
İkinci derece fiyat farklılaştırmasında, birim başına fiyat sabit olup satın alınan malın miktarına göre değişmemektedir. |
|
Bazı piyasalarda her bir alıcı belli dönemlerde malın çok sayıda birimini talep eder. |
|
İkinci derece fiyat farklılaştırmasının en uygun örneği batı ülkelerindeki elektrik gücü firmalarının blok fiyat uygulamalarıdır. |
|
Üretim artışı ve ölçek ekonomilerinin elde edilişi, firmalara daha fazla kâr sağladığı gibi tüketici refahını da arttırabilir. |
- İkinci derece fiyat farklılaştırması doğrusal olmayan (nonlinear) fiyat farklılaştırması olarak bilinir.
- İkinci derece fiyat farklılaştırmasında, birim başına fiyat sabit olmayıp satın alınan malın miktarına göre değişmektedir.
- Bazı piyasalarda her bir alıcı belli dönemlerde malın çok sayıda birimini talep eder.
- İkinci derece fiyat farklılaştırmasının en uygun örneği batı ülkelerindeki elektrik gücü firmalarının blok fiyat uygulamalarıdır.
- Üretim artışı ve ölçek ekonomilerinin elde edilişi, firmalara daha fazla kâr sağladığı gibi tüketici refahını da arttırabilir.
3.Soru
Endüstrinin tanımı aşağıdakilerden hangisidir?
|
Benzer girdiler kullanan firma gruplarıdır |
|
Benzer ürünler üreten firma gruplarıdır. |
|
Birbirine tam ikame ürünler üreten firma gruplarıdır. |
|
Tamamlayıcı ürünler üreten firma gruplarıdır |
|
Esnekliği düşük ürünler üreten firma gruplarıdır |
Birbirlerine yakın ikame malları üreten firmalardan oluşan her alt grup birbiriyle doğrudan rekabet eden satıcı gruplarını oluşturmakta ve bu alt gruplara endüstri adı verilmektedir. Başka bir deyişle ortak alıcı grubuna hitap eden ve yakın ikame malları üreten satıcılar grubuna endüstri denilmektedir.
4.Soru
Aşağıdaki yoğunlaşma ölçütü hangisi Lorenz Eğrisinin istatistiksel veya rakamsal ifadesidir?
|
Hirfindahl-Hirschman İndexi |
|
Linda indexsi |
|
Entropi İndeksi |
|
Hall-Tideman İndeksi |
|
Gini katsayısı (İndeksi) |
Gini Katsayısı veya Gini Rasyosu aslında Lorenz Eğrisinin istatistiksel veya rakamsal bir ifadesidir.
5.Soru
I. Burada tüketiciler farklı zamanlarda, talebin en çok ile en az olduğu zamanlarda, değişik fiyat uygulamasına tabi tutularak farklı talep fonksiyonlarına sahip gruplar haline getirilmektedirler.
II. Zamanlar arası fiyat farklılaştırmasının nasıl işlediğini görebilmek için, elektronik endüstrisindeki firmaların teknolojik açıdan yeni malları nasıl fiyatladıklarını düşünebiliriz.
III. Zamanlar arası fiyat farklılaştırmasına diğer bir örnek olarak film satışları gösterilebilir.
Yukarıdakilerden hangisi/hangileri zamanlar arası fiyat farklılaştırması ile ilgili doğru bir ifadedir?
|
Yalnız I |
|
I ve III |
|
I ve II |
|
Hepsi |
|
Yalnız III |
Yukarıdakilerin hepsi zamanlar arası fiyat farklılaştırması ile ilgili doğru bir ifadedir.
6.Soru
Kısa dönem ortalama toplam maliyet eğrisinin minimumunda gerçeklesen çıktı düzeyine ne ad verilir?
|
Kapasite |
|
Kar |
|
Yoğunlaşma |
|
Marjinal Fayda |
|
Zarar |
Kapasite; kısa dönemde ortalama toplam maliyet eğrisinin minimumunda gerçekleşen çıktı düzeyidir Fabrika (tesis) kapasitesi de denilir.
7.Soru
Ekonomik kaynak ve faaliyetler toplamının büyük bir yüzdesinin, bu toplama sahip olan birimlerin küçük bir yüzdesi tarafından kontrol edilmesine ad verilir?
|
Yoğunlaşma |
|
Antitröst |
|
Kartel |
|
Kar |
|
Konglomer |
Ekonomik kaynak ve faaliyetler toplamının büyük bir yüzdesinin, bu toplama sahip olan birimlerin küçük bir yüzdesi tarafından kontrol edilmesine yoğunlaşma denir.
8.Soru
Aşağıdakilerden hangisi üçüncü derece fiyat karşılaştırması ile ilişkili bir fiyat farklılaştırmasıdır?
|
Birinci derece fiyat farklılaştırması |
|
İkinci derece fiyat farklılaştırması |
|
Zamanlar arası fiyat farklılaştırması |
|
Paket dâhilindeki satışların |
|
Çift yönlü tarife |
Zamanlar arası fiyat farklılaştırması, üçüncü derece fiyat farklılaştırması ile ilgili önemli ve sık kullanılan bir fiyatlama stratejisidir. Burada tüketiciler farklı zamanlarda, talebin çok ile en az olduğu zamanlarda, değişik fiyat uygulamasına tabi tutularak farklı talep fonksiyonlarına sahip farklı gruplar hâlinde getirilmektedir.
9.Soru
Monopolcü rekabet piyasalarında uzun dönem karın ifadesi için doğru seçenek hangisidir?
|
Pozitif kar elde ederler |
|
Sıfır kar elde ederler |
|
Negatif kar elde ederler |
|
Negatif muhasebe karı elde ederler |
|
Pozitif, negatif veya sıfır ekonomik kar elde edebilirler |
Bir endüstrideki piyasa yapısının monopolcü rekabet olması için her firmanın aşağı doğru eğimli talep eğrisiyle karşı karşıya bulunması ve bu endüstriye girişlerin serbest olması gerekir. Girişlerin serbest olması bu tür piyasa yapısına sahip endüstriler için uzun dönemde kârın sıfır olmasına neden olur.
10.Soru
I- Tenis ve golf kulüpleri
II- Telefon hizmetleri
III- Gillette traş makinesi
IV- Polaroid fotoğraf makinesi
Yukarıdakilerden hangileri iki yönlü tarife uygulamasına örnek olarak gösterilebilir?
|
I ve II |
|
III ve IV |
|
I,II ve IV |
|
II,III ve IV |
|
I,II,III ve IV |
İki yönlü tarife pek çok örneğe uygulanabilir: Tenis ve golf kulüpleri (yıllık aidat ödersiniz bunun yanında sahaları her kullandığınızda yine bir ödeme yaparsınız). Telefon hizmetleri (Abonman ücreti yanında her telefon görüşmesi için ödeme yapmak durumundasınız). Gillette traş makinesi (Bu makineyi satın alırsanız sadece onunla kullanılabilen jiletleri almak zorundasınız). Polaroid fotoğraf makinesi (Makine için ödeme yaparsınız ve bununla kullanılabilen filmi almak zorunda kalırsınız).
11.Soru
Piyasa payları eşit olduğunda indeks (log N) değerini alan, Monopolistik bir
yapı söz konusu olduğunda ise indeks “0” değerini alan indeks türü aşağıdakilerden hangisinde doğru olarak verilmiştir?
|
Gini İndeksi |
|
Hall - Tideman İndeksi |
|
Herfindahl-Hirchman İndeksi |
|
Entropi İndeksi |
|
Linda İndeksi |
Ekonomistler tarafından kabul gören diğer bir ölçüt ise Entropi indeksidir (Eİ). Bu indekste endüstrideki firmaların piyasa paylarının tersinin logaritması ağırlık olarak kullanılmaktadır; şeklinde formüle edilmektedir. Piyasa payları eşit olduğunda indeks (log N) değerini almaktadır. Monopolistik bir yapı söz konusu olduğunda ise indeks “0” değerini almaktadır. Belli sayıda firma arasında piyasa paylarındaki eşitsizlik azaldığında indeksin değeri yükselmektedir. Doğru cevap D seçeneğidir.
12.Soru
I. Belirli bir piyasadaki belirli bir ürünü üreten en büyük birkaç firmanın payını ölçmek
II. En büyük birimlerin sanayi içindeki nispi büyüklüklerini belirlemek
Aşağıdaki yoğunlaşma ölçüm metotlarından hangisinin amaçları arasında yer alır?
|
Gini İndeksi |
|
Linda İndeksi |
|
Entropi İndeksi |
|
N-Firma Yoğunlaşma İndeksi |
|
Herfindahl-Hirchman İndeksi |
Bütün yoğunlaşma ölçütleri arasında en eski ve özellikle ampirik çalışmalarda en yaygın olarak kullanılan N-firma yoğunlaşma indeksidir. Yoğunlaşma indeksi iki amaçla kullanılmaktadır. Bunlardan ilki, Belirli bir piyasadaki belirli bir ürünü üreten en büyük birkaç firmanın payını yani oligopol derecesini ölçmektir. İkinci amaç ise en büyük birimlerin sanayi içindeki nispi büyüklüklerini belirlemektir.
13.Soru
Aşağıdakilerden tam rekabet piyasasının yapı özelliklerinden birisi değildir?
|
Piyasada çok sayıda alıcı ve satıcının olması |
|
Fiyat kısa dönem marjinal maliyete eşittir |
|
Endüstride yer alan firmalar fiyat kabüllenicidir. |
|
Rekabet piyasasında her bir firma sol yukarıdan sağ aşağı doğru eğimli |
|
Piyasaya giriş ve çıkışların serbest olması. |
Rekabetçi endüstrilerde çok sayıda alıcı ve satıcılar, belli koşullar altında hiçbir engel
olmadan mübadelede bulunurlar. Çok sayıda özdeş firmaların bulunduğu rekabetçi
endüstrilerde fiyat kısa dönem marjinal maliyete eşittir. D seçeneğinde verilen ifade monopolcü rekabet piyasasına ait bir özelliktir. Doğru cevap D seçeneğidir.
14.Soru
Aşağıdakilerden hangisi kuramsal bir temele dayanmayan, deney ve tecrübe ile anlaşılmış olan, bilgi, bağıntıyı ifade eder?
|
Ampirik |
|
Hipotetik |
|
Kantiatif |
|
Kualitatif |
|
Yasa |
Ampirik kavramı, kuramsal bir temele dayanmayan, deney ve tecrübe ile anlaşılmış olan, bilgi ve bağıntıyı ifade eder.
15.Soru
Yolcularda birinci mevki ve normal bilet uygulamaları, konserve ve donmuş sebzeler, ulaşımda öğrenci ve yaşlı indirimi gibi örnekler hangi tür fiyat farklılaştırması için uygundur?
|
Sıfırıncı derece fiyat farklılaştırması |
|
Birinci derece fiyat farklılaştırması |
|
İkinci derece fiyat farklılaştırması |
|
Üçüncü derece fiyat farklılaştırması |
|
Dördüncü derece fiyat farklılaştırması |
Üçüncü derece fiyat farklılaştırmasının çok sayıda örnekleri vardır; yolcularda birinci mevki ve normal bilet uygulamaları, konserve ve donmuş sebzeler, ulaşımda öğrenci ve yaşlı indirimi gibi.
16.Soru
Endüstri çıktı vektörü hakkında bilgi düzeyi az ise endüstri hakkında çıkarım yapılabilmesi için optimal firma sayısı hangi aralıkta olmalıdır?
|
3-1000 |
|
3-1500 |
|
3-2000 |
|
3-2500 |
|
3-3000 |
Endüstri çıktı vektörü konusunda bilgi düzeyi az veya yok ise maliyetlerini minimize eden firmaların sayısı hakkında geniş bir marj içerisinde tahminde bulunabiliriz. Dolayısıyla tahminde bulunulan optimal firma sayısı 3-3000 arasında ise endüstri yapısı hakkında çok az şey öğrenebiliriz. Bu nedenle endüstri yapısıyla ilgili olarak endüstrideki üretimin sınırlarını iyi bir şekilde belirlemek ve endüstrideki firmalara ilişkin maliyetleri doğru tespit edebilmek gereklidir. Doğru cevap E'dir.
17.Soru
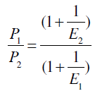
İki grup tüketici için ilk grubun talep esnekliği -3 (E1 = -3) ve ikinci grubun talep esnekliği -5 (E2 = -5) ise birinci gruptakilere uygulanan fiyat ikinci gruptakilerin kaç katıdır?
|
1,2 |
|
1,4 |
|
1,5 |
|
1,8 |
|
2 |
P1/P2=(1-1/5)/(1-1/3)=(4/5)/(2/3)= 1.2
Buna göre birinci grup tüketicilere uygulanan fiyat ikinci grup tüketicilere uygulanan fiyatın 1,2 katı büyük olmalıdır.
18.Soru
Aşağıdakilerden hangisi mal satışlarının bir bağlantı içinde olduğunu ifade eden genel bir terimdir?
|
Tying |
|
Karma bundling |
|
Paket satış |
|
Çift yönlü tarife |
|
Reklam |
Tying mal satışlarının bir bağlantı içinde olduğunu ifade eden genel bir terimdir.
19.Soru
Üretim faktörlerini istihdam ederek, hane halklarına, firmalara ya da devlete satılacak olan mal ve hizmetleri üreten birime ne ad verilir?
|
Sektör
|
|
İkame malları
|
|
Firma
|
|
Endüstri |
|
Konglomer |
Sektör; Ekonominin parçaları, bölümleri ya da kısımlarıdir. İkame malları; İki malın benzer ihtiyaçları ya da istekleri gidermesidir. Endüstri; Benzer ürünler üreten firma gruplarıdır. Konglomer; Bir firmanın varlıklarının ya da kontrol gücü sağlayan hisse payının başka bir firma tarafından satın alınmasıdır. Firma; Üretim faktörlerini istihdam ederek, hanehalklarına, firmalara ya da devlete satılacak olan mal ve hizmetleri üreten birime denir.
20.Soru
Aşağıdaki kavramlardan hangisi tarafsız, bireyin kişisel görüşünden bağımsız olan, kesin, bilimsel, değişken olmayan, kanıtlanabilir, herkese göre aynı anlamına gelir?
|
Sübjektif |
|
Objektif |
|
Ampirik |
|
Hipotetik |
|
Kuram |
Objektif: Tarafsız, bireyin kişisel görüşünden bağımsız olan, kesin, bilimsel, değişken olmayan, kanıtlanabilir, herkese göre aynı anlamına gelir
-
- 1.SORU ÇÖZÜLMEDİ
- 2.SORU ÇÖZÜLMEDİ
- 3.SORU ÇÖZÜLMEDİ
- 4.SORU ÇÖZÜLMEDİ
- 5.SORU ÇÖZÜLMEDİ
- 6.SORU ÇÖZÜLMEDİ
- 7.SORU ÇÖZÜLMEDİ
- 8.SORU ÇÖZÜLMEDİ
- 9.SORU ÇÖZÜLMEDİ
- 10.SORU ÇÖZÜLMEDİ
- 11.SORU ÇÖZÜLMEDİ
- 12.SORU ÇÖZÜLMEDİ
- 13.SORU ÇÖZÜLMEDİ
- 14.SORU ÇÖZÜLMEDİ
- 15.SORU ÇÖZÜLMEDİ
- 16.SORU ÇÖZÜLMEDİ
- 17.SORU ÇÖZÜLMEDİ
- 18.SORU ÇÖZÜLMEDİ
- 19.SORU ÇÖZÜLMEDİ
- 20.SORU ÇÖZÜLMEDİ