Statıstıcs Iı Ara 1. Deneme Sınavı
Toplam 18 Soru1.Soru
For two-sided test with ? = 0.05 and n = 15, what is the degrees of freedom?
|
15,05 |
|
1,05 |
|
14 |
|
15 |
|
16 |
The degrees of freedom is, d.f = n – 1 = 15 – 1 = 14. The correct answer is C.
2.Soru
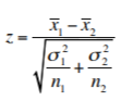
The population variances for two samples are 2 and 5, the difference of the sample means for these two samples is 3, and the sample sizes are 100 and 500, respectively. For the given values what is the test statistic?
|
10 |
|
20 |
|
30 |
|
40 |
|
50 |
The formula gives the test statistic for two sample tests of means when their population variances are known. since x1 - x2 =3, and the denominator of the formula can be written as {[(2)2/100]+[(5)2/500]}1/2 which would be equal to 0.3. This would yield to z=3/(0.3) = 10
The answer is A
3.Soru
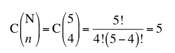
In a population there are 5 observations, how many different samples of size 4 can be created from this population?
|
1 |
|
3 |
|
5 |
|
8 |
|
15 |
4.Soru
Which of the given forms of hypothesis equivalently is one that is correct?
|
H0: µ1 = µ2 |
|
H0: µ1 = µ2 |
|
H0: µ1 = µ2 |
|
H0: µ1 < µ2 |
|
H0: µ1 - µ2 = 1 |
For two sided (two tailed) test, the null hypothesis (H0) and the alternative hypothesis (H1) are in the following form,
H0: µ1 – µ2 = 0
H1: µ1 – µ2 ≠ 0
This hypothesis equivalently can be expressed as,
H0: µ1 = µ2 (There is no difference)
H1: µ1 ≠ µ2 (There is a difference)
The answer is A.
5.Soru
If a researcher fails to reject the null hypothesis (H0) and the H0 is false what can be said?
|
Type I error (α) |
|
Type II error (β) |
|
Correct decision |
|
Not enough information |
|
Too much information |
Through a hypothesis-testing, it is also important to consider the probability of a type II error, failing to reject the null hypothesis (H0) when it is false, which is denoted by β. Then the type
II error probability is, β = P(type I error) = P(fail to reject the null hypothesis H0 when it is actually false)
The answer is B.
6.Soru
There are 40 observations in a population. A sample of 4 observations are to be selected randomly using a table of random numbers. Here are the the random numbers obtained from the table of random numbers: 55, 34, 67, 89, 12, 23, 89, 78, 18, 99, 92, 16, 45, and 10. In which random number the selection of the sample should be finished?
|
67 |
|
78 |
|
92 |
|
16 |
|
18 |
The last sample observation (4th observation) is found at the value of 18. The numbers bigger than 40 are disregarded therefore the answer is 18.
7.Soru
Sample values for a continuous variable (phone charger output voltage ; as volt) : 4.4, 5.6, 4.5, and 5.5. What is the point estimate of the population arithmetic mean?
|
4.6 |
|
4.8 |
|
5.0 |
|
5.2 |
|
5.4 |
x = (4.4 + 5.6 + 4.5 + 5.5) /4 = 5. pg. 24. Correct answer is C.
8.Soru
What will be the variance of defect trucks produced by a factory if 10 of every 100 trucks are defect?
|
0.90 |
|
0.45 |
|
0.10 |
|
0.09 |
|
0.01 |
Variance=p*(1-p)=0.1*0.9=0.09
9.Soru
For the one-way ANOVA test, the test statistic is the ratio of two variances: namely the variance between _______ and the variance within ________.
Which option completes the blanks above?
|
variables |
|
independent variables |
|
dependent variables |
|
samples |
|
hypotheses |
For the one-way ANOVA test, the test statistic is the ratio of two variances: namely the variance between samples and the variance within samples. The correct answer is D.
10.Soru
What is also called availability sampling method?
|
Snowball Sampling |
|
Quota Sampling |
|
Simple random |
|
Stratified |
|
Convenience Sampling |
Convenience Sampling
A convenience sample involves a group of individuals that is ready and available. It is also called availability sampling method. A convenience sampling is used to create sample as per ease of access, readiness to be a part of the sample, availability at a given time period or any other specifications of a particular element. The surveyors select members merely on the basis of proximity and does not consider whether they represent the entire population or not. By using this sampling techniques, we can observe habits, opinions, and viewpoints in the easiest possible manner.
Many researchers prefer convenience sampling method because it is inexpensive, easy and applied quickly. Because of the potential for bias in the sampling method, the results obtained from this sampling method should be reported and used with a great caution.
11.Soru
For the left sided (lower tailed) test for two population means, how do we write the alternate hypothesis?
For the left sided (lower tailed) test for two population means, how do we write the alternate hypothesis?
|
µ1 - µ2 =0 |
|
µ1 > µ2 |
|
µ1 < µ2 |
|
µ1 <! µ2 |
|
µ1 !> µ2 |
For the left sided (lower tailed) test, the null hypothesis (H0) and the alternative hypothesis (H1) are in
the following form,
H0: µ1 – µ2 = 0
H1: µ1 – µ2 < 0
This hypothesis equivalently can be expressed as,
H0: µ1 = µ2
H1: µ1 < µ2
12.Soru
How many types of statistical hypotheses are there?
How many types of statistical hypotheses are there?
|
One |
|
Two |
|
Three |
|
Four |
|
Five |
Every statistical hypothesis-testing process begins with the statement of a hypothesis. There are two types of statistical hypotheses for each circumstance. These hypotheses are the null hypothesis and the alternative hypothesis which are denoted by H0 and H1 respectively.
13.Soru
The frequency of completion of Eskişehir Porsuk river swimming marathon in a sample of 180 is 72. What is the point estimate of population proportion for completion of swimming marathon?
|
0.90 |
|
0.85 |
|
0.40 |
|
0.35 |
|
0.18 |
x = 72 / 180 = 0.40. pg. 25. Correct answer is C.
14.Soru
In a two population hypothesis testing problem, if you draw the normal distribution with critical values, what do we call the inside of the critical values?
|
H0 rejection region |
|
Shaded region |
|
H1 acceptance region |
|
H0 acceptance region |
|
No region |
15.Soru
In a research, 5 of 20 schools of university A were selected at random. 2 classes of each of the 5 schools were chosen at random. Then, 3 courses were selected from each class at random. Which type of sampling methods was used in this research?
|
convenience |
|
multi stage |
|
simple random |
|
stratified |
|
systematic |
An extension of cluster sampling in which clusters are selected and a sample is drawn from the cluster members by simple random sampling is called multistage sampling. pg. 12. Correct answer is B.
16.Soru
Which of the following about F Test is true?
|
The F test to compare more than two population means is always a left tailed test. |
|
The F test to compare more than two population means is always a right tailed test. |
|
For the F test procedure, the sample sizes need to be equal. |
|
If F test statistic value is greater than 1, the alternate hypothesis should be rejected. |
|
If F test statistic value is greater than 1, both hypotheses should be rejected. |
For the F test procedure, the sample sizes do not need to be equal.The F (one-way ANOVA) test to compare more than two population means is always a right tailed test. If F test statistic value is greater than 1, the null hypothesis should be rejected. Therefore, the correct answer is B.
17.Soru
In stratified sampling method, the target population is divided into homogenous subgroups which are called _________________ ?
In stratified sampling method, the target population is divided into homogenous subgroups which are called _________________ ?
|
A data value |
|
Strata |
|
Sampling |
|
Stratum |
|
Population |
In stratified sampling method, the target population is divided into homogenous subgroups which are called strata?
18.Soru
In a population there are 5 observations as follows: 10, 90, 20, 80, 50. What is the arithmetic mean of the sampling distribution of the sample mean with sample size with 2 observations?
|
50 |
|
80 |
|
90 |
|
10 |
|
100 |
It will be equal to the population arithmetic mean and the population arithmetic mean in this problem is 50.
-
- 1.SORU ÇÖZÜLMEDİ
- 2.SORU ÇÖZÜLMEDİ
- 3.SORU ÇÖZÜLMEDİ
- 4.SORU ÇÖZÜLMEDİ
- 5.SORU ÇÖZÜLMEDİ
- 6.SORU ÇÖZÜLMEDİ
- 7.SORU ÇÖZÜLMEDİ
- 8.SORU ÇÖZÜLMEDİ
- 9.SORU ÇÖZÜLMEDİ
- 10.SORU ÇÖZÜLMEDİ
- 11.SORU ÇÖZÜLMEDİ
- 12.SORU ÇÖZÜLMEDİ
- 13.SORU ÇÖZÜLMEDİ
- 14.SORU ÇÖZÜLMEDİ
- 15.SORU ÇÖZÜLMEDİ
- 16.SORU ÇÖZÜLMEDİ
- 17.SORU ÇÖZÜLMEDİ
- 18.SORU ÇÖZÜLMEDİ