Tıbbi İstatistik Final 2. Deneme Sınavı
Toplam 20 Soru1.Soru
I.Bir yıl içindeki canlı doğum sayısı II.Yıl ortası nüfus III.16-49 yaş grubu kadın yıl ortası nüfusu Kaba doğum hızının hesaplanmasında yukarıdakilerden hangisi/hangileri kullanılır?
|
Yalnız I
|
|
Yalnız II
|
|
I ve II
|
|
I ve III
|
|
II ve III
|
2.Soru
Bir okuldaki öğrencilerin ağırlıklarının ortalaması 65kg ve standart sapması 8kg ile normal dağılım gösterdiği bilinmektedir. Bu okuldan tesadüfi olarak seçilen bir öğrencinin ağırlığının 65kg’dan daha az olma olasılığı kaçtır?
|
0,8413
|
|
0,6826
|
|
0,5000
|
|
0,3413
|
|
0,1587
|
3.Soru
Eğim katsayısının anlamlılık sınamaların da ana kütle varyansı bilinmediğinden ve n<30 olduğunda hangi test uygulanır?
|
z testi |
|
t testi |
|
f testi |
|
Ki Kare testi |
|
Varyans analizi testi |
Eğim katsayısının anlamlılık sınamaları da iki şekilde yapılır. Bunlar z ve t sınamaları dır. Ancak ana kütle varyansı genellikle bilinmediğinden ve n<30 olduğundan, t testi uygulanır.
4.Soru
Acil hastaların sağlık kurumalarına nakli sırasında meydana gelebilecek bir kazadan refakatçinin etkilenmesine ilişkin tahminler yapılırken nelerden yararlanılır?
|
Sağlık |
|
İlk yardım |
|
Araç- gereç |
|
Korku |
|
Olasılık |
Genel olarak olasılık, meydana gelmesi arzu edilen olay sayısının, olayın nihai tüm sonuçlarının sayısına olan oranı olarak tanımlanır.
Örneğin; immün yetmezlik virüsü pozitif olan bir sağlık personelinden hastaya bulaşması, acil hastaların sağlık kurumalarına nakli sırasında meydana gelebilecek bir kazadan refakatçinin etkilenmesi, atopik sağlık çalışanlarında lateks alerjisi gelişimi, ileri yaşlarda depresyonla karşılaşılmasına ilişkin tahminler yapılırken bir belirsizlik durumu söz konusudur. Bu tür belirsizlik durumlarında yoğun bir biçimde olasılık kuramından yararlanılır.
5.Soru
Örneklem oluşturulurken tanımlanan ana kütleyi oluşturan birimler arasında fark gözetilir, yani bütün birimlere bilinen bir olasılıkla seçilme şansı verilmez ise bu türden birim seçimine ne ad verilir?
|
Kura Seçimi
|
|
Keyfi Seçim
|
|
Sistematik Seçim
|
|
Tesadüfi Seçim
|
|
Rassal seçim
|
6.Soru
Bir araştırmada araştırma amacına uygun olarak ilgilenilen bir veya daha fazla ana kütle parametresi hakkında ileri sürülen, doğruluğu konusunda kuşku duyulan ve bundan dolayı geçerliliği olasılık kurallarına göre test edilme gerekliliği olan özel önermelere ne ad verilir?
|
Deney
|
|
İstatistiksel hipotez
|
|
Tek yönlü test
|
|
Anlam düzeyi
|
|
Kritik varsayım
|
7.Soru
Örneklem oluşturulurken tanımlanan ana kütleyi oluşturan birimler arasında fark gözetilir, yani bütün birimlere bilinen bir olasılıkla seçilme şansı verilmez ise bu türden birim seçimine ne ad verilir?
|
Keyfi seçim
|
|
Sistematik seçim
|
|
Kura Seçimi
|
|
Tesadüfi seçim
|
|
Rassal seçim
|
8.Soru
Aşağıdakilerden hangisi sürekli değişkendir?
|
Hastalık türü |
|
Ameliyat süresi |
|
Hastane kapasitesi |
|
Muayene olan hasta sayısı |
|
Tutulan nöbet sayıısı |
Sayısal bir değişkenin herhangi iki düzey arasına düşünsel olarak sonsuz sayıda yeni düzey ilave edilebiliyorsa sürekli değişken denir.
9.Soru
Ham veri nasıl tanımlanır?
|
Bilgi |
|
Düzenlenmiş veri |
|
İşlenmiş veri |
|
İşlenmemiş veri |
|
Gruplandırılmış veri |
İstatistikte toplanan ilk veriler ham veri olarak tanımlanır. Ham veriler üzerinde herhangi bir düzenleme ve işlem yapılmamış verilerdir.
10.Soru
Derleme türleri ile ilgili aşağıdaki ifadelerden hangisi yanlıştır?
|
Ana kütleyi oluşturan birimlerin tamamının gözlenmesi genel derlemedir. |
|
Veriler, derlemenin zamanına göre ani ya da devamlı olarak sınıflandırılır. |
|
Asıl ana kütle birimleri yerine başka ana kütle birimleri gözlenerek asıl ana kütle hakkında veri derlenmesine dolaylı derleme adı verilir. |
|
Devamlı derlemede ana kütle ani birimlerden oluşur. |
|
Doğrudan derleme ile elde edilen verilerin güvenilirliği dolaylı derlemeye göre daha azdır. |
Derlemenin ilk sınıflandırılması verilerin elde ediliş biçimine göre doğrudan(dolaysız) ve dolaylı derlemedir. Araştırılması söz konusu olan ana kütle birimleri doğrudan gözlenip kayıt altına alınıyorsa doğrudan derleme, ilgilenilen ana kütle birimlerinin gözlenmesi yerine farklı bir ana kütlenin birimleri gözlenerek asıl ana kütle hakkında veri derlenmesi ise dolaylı derleme türü olarak tanımlanır.
Dolaylı derleme ile elde edilen verilerin güvenirliği doğrudan derlemeye göre daha azdır. Bu nedenle uygulamalarda dolaylı derleme türü tercih edilmemektedir. Bu durumda doğru yanıt E'dir.
11.Soru
Aşağıdakilerden hangisi binom dağılımının sahip olduğu özelliklerden biri değildir?
|
Denemeler birbirinden bağımsız olmalıdır.
|
|
Denemelerin sayısı n sabittir.
|
|
Her bir deneme için yalnız iki olası sonuç bulunur.
|
|
Başarma olasılığı p her bir deneme için aynı olmalıdır.
|
|
Her bir denemede başarma olasılığı ya sıfıra ya da bire yaklaşmalıdır.
|
12.Soru
Histogram ile ilgili aşağıdaki ifadelerden hangisi yanlıştır?
|
Histogtam birbirine bitişik dikdörtgenlerden oluşur.
|
|
Histogram çizilirken apsis ekseninde değişkenin almış olduğu farklı değerler, ordinat ekseninde ise frekanslar yer alır.
|
|
Histogramda çizilen dikdörtgenlerin orta noktalarının birleştirilmesi ile frekans poligonu elde edilir.
|
|
Histogram nitel veriler için uygun bir gösterim biçimidir.
|
|
Histogramda grupların bölüm aralıkları eşit olmadığında frekansların ayarlanması gerekmektedir.
|
13.Soru
Gerçekte yanlış olan sıfır hipotezinin test sonucunda kabul edilmesine ne ad verilir?
|
α hatası
|
|
Testin gücü
|
|
Birinci tip hata
|
|
İkinci tip hata
|
|
Güven düzeyi
|
14.Soru
Özellikle deneysel araştırmalarda grup değişkeni olarak tanımlanan bağımsız değişkenin incelenen bağımlı değişken üzerindeki etkisi, grup ortalamaları
arasındaki farklılığın belirlenmesiyle ortaya konabilir. Bu amaçla kullanılan çözümleme yaklaşımı adı nedir?
|
Normal dağılımda hipotez testi |
|
t dağılımda hipotez testi |
|
Ki kare testi |
|
F testi |
|
En küçük kareler yöntemi |
ikiden çok grubun incelenen değişken bakımından karşılaştırılması söz konusu olabilir. Özellikle deneysel araştırmalarda grup değişkeni olarak tanımlanan bağımsız değişkenin incelenen bağımlı değişken üzerindeki etkisi, grup ortalamaları
arasındaki farklılığın belirlenmesiyle ortaya konabilir. Bu amaçla kullanılan çözümleme yaklaşımı Varyans Analizi olarak adlandırılmaktadır. Çözümleme bağımlı değişkendeki toplam değişimi unsurlarına ayrıştırmayı amaçlamaktadır. Böylece bağımsız değişkenin bağımlı değişken üzerindeki salt etkileri ortaya çıkarılabilmektedir. Araştırmanın amacına uygun olarak çeşitli varyans analizi yaklaşımları söz konusudur.
Tek-Yönlü Varyans Analizi, bağımlı değişken üzerinde sadece bir bağımsız değişkenin etkisinin araştırıldığı, dolayısıyla bağımsız değişkenin düzeyleri olarak ortaya çıkan gruplar arasındaki farkların istatistiksel olarak anlamlılığının araştırıldığı bir yaklaşımdır. Çözümlemede F-Testinden yararlanılır. Bu amaçla test istatistiği olarak F istatistiği kullanılır. F istatistiği, aynı varyansın bağımsız iki tahmincisinin birbirine oranıdır.
15.Soru
A olayının ortaya çıkma olasılığı 0,60 tır. A olayı biliniyorken B olayının ortaya çıkma olasılığı 0,75 olduğuna göre, A ve B olaylarının kesişiminin olasılığı nedir?
|
0,40
|
|
0,45
|
|
0,50
|
|
0,55
|
|
0,60
|
16.Soru
Aşağıdakilerden hangisi değişken türlerinden biri değildir?
|
Sınıflayıcı |
|
Sıralayıcı |
|
Keşfedici |
|
Oranlı |
|
Eşit Aralıklı |
İstatistiksel araştırmalarda değişkenlere ilişkin elde edilen verilerin matematiksel özelliklerine göre sınıflayıcı, sıralayıcı, aralıklı ve oranlı olmak üzere dört ölçek kullanılmaktadır.
17.Soru
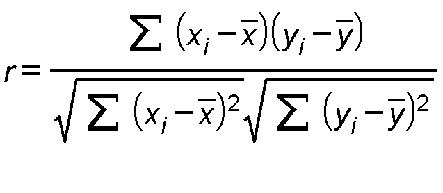
x ve y değişkenlerine ilişkin yukarıda verilen hesaplamalara göre korelasyon katsayısı kaçtır?
|
0,48 |
|
0,68 |
|
0,84 |
|
0,98 |
|
1,02 |
Korelasyon katsayısı,
formülü ile hesaplanmaktadır. Buna göre;
olarak elde edilir. Doğru cevap D'dir.
18.Soru
Araştırma bütçesinin 10000 TL ile sınırlı olduğu bir araştırmada, sabit maliyet 4200 TL ve örnekleme seçilecek her örnekleme birimi için maliyet ise 8 TL. dır. Bu bütçeyle oluşturulabilecek örneklem hacmi en fazla ne olabilir?
|
350
|
|
475
|
|
550
|
|
600
|
|
725
|
19.Soru
Aşağıdakilerden hangisi ani birimdir?
|
Hastane |
|
Doğum |
|
Doktor |
|
Sedye |
|
Poliklinik |
Çok kısabir ömür süresine sahip, dolayısıyla ortaya çıktığı anda incelenecek birimler ani birimlerdir. Doğum da ortaya çıktığı anda incelenebilecek birimdir.
20.Soru
Bir hastanenin acil servisine gelen hastaların şikayet nedenlerini araştırmak isteyen bir yönetici gereksinim duyduğu verileri Sağlık Bakanlığı sağlık İstatistikleri Yıllığından elde ederse nasıl veri kaynağı kullanmış olur?
|
İç veri kaynağı |
|
Dış veri kaynağı |
|
Özel veri toplama kaynağı |
|
Doğru veri kaynağı |
|
Güvenilir veri kaynağı |
Bir istatistiksel araştırmada hazır veri; iç veya dış kaynaklardan sağlanabilir. Örneğin bir hastanenin acil servisine gelen hastaların şikayet nedenlerini araştırmak isteyen bir yönetici gereksinim duyduğu verileri hastanenin kayıtlarından sağlayabilir, böyle bir araştırmada iç veri kaynağı kullanmış olacaktır. Çeşitli illerdeki özel hastanelerin yoğun bakım ünitelerinin kapasiteleri hakkında araştırma yapan yöneticinin yararlanacağı veriler, Sağlık Bakanlığı Sağlık İstatistikleri Yıllığından veya TSİM’ den (Temel Sağlık İstatistikleri Müdürlüğü) elde edilebilir. Bu yolla elde edilen veriler dış veri niteliğindedir.
-
- 1.SORU ÇÖZÜLMEDİ
- 2.SORU ÇÖZÜLMEDİ
- 3.SORU ÇÖZÜLMEDİ
- 4.SORU ÇÖZÜLMEDİ
- 5.SORU ÇÖZÜLMEDİ
- 6.SORU ÇÖZÜLMEDİ
- 7.SORU ÇÖZÜLMEDİ
- 8.SORU ÇÖZÜLMEDİ
- 9.SORU ÇÖZÜLMEDİ
- 10.SORU ÇÖZÜLMEDİ
- 11.SORU ÇÖZÜLMEDİ
- 12.SORU ÇÖZÜLMEDİ
- 13.SORU ÇÖZÜLMEDİ
- 14.SORU ÇÖZÜLMEDİ
- 15.SORU ÇÖZÜLMEDİ
- 16.SORU ÇÖZÜLMEDİ
- 17.SORU ÇÖZÜLMEDİ
- 18.SORU ÇÖZÜLMEDİ
- 19.SORU ÇÖZÜLMEDİ
- 20.SORU ÇÖZÜLMEDİ