Yöneylem Araştırması 1 Final 10. Deneme Sınavı
Toplam 20 Soru1.Soru
Doğrusal programlama ile ilgili ifadelerden hangisi yanlıştır?
|
Doğrusal programlamada amaç fonksiyonu enbüyükleme ya da enküçükleme şeklindedir. |
|
Doğrusal programlama modelindeki sistem kısıtları kesinlikle sağlanması gereken katı kısıtlardır. |
|
Doğrusal programlama modelinde tek bir amaç eniyilenmeye çalışılır. |
|
Doğrusal programlamada amaç mümkün olduğunca en iyi çözümü elde etmektir. |
|
Doğrusal programlama modelindeki amaç fonksiyonunda karar değişkenleri yer alır. |
Doğrusal programlamada amaç en iyi çözümü elde etmek iken, doğrusal hedef programlamada amaç mümkün olduğunca en iyi çözümü elde etmektir.
2.Soru
"Gerçek problemler modellendikten ve çözüldükten sonra önceden öngörülemeyen, bulunulan sistemin koşullarında sonradan ortaya çıkabilecek bazı değişiklikler sebebiyle, gözönünde bulundurulması ihtiyacı beliren yeni ................ olabilir."
|
Katkı parametresi |
|
Sağ taraf sabiti |
|
Sabit değişken |
|
Katsayı |
|
Kısıt |
Gerçek problemler modellendikten ve çözüldükten sonra önceden öngörülemeyen, bulunulan sistemin koşullarında sonradan ortaya çıkabilecek bazı değişiklikler sebebiyle, gözönünde bulundurulması ihtiyacı beliren yeni bir kısıt olabilir. Daha öncede belirtildiği gibi bu durumda, eldeki çözümün yeni kısıtı da sağlayıp sağlamadığı kontrol edilmelidir.
3.Soru
2 bilgisayarın 2 projeyi tamamlama süreleri aşağıdaki gibidir.
Xij: i bilgisayarının j işine atanması durumunda 1 diğer durumda 0 değerini alan bir değişkendir.
Buna göre oluşturulacak karar modelinin amaç fonksiyonu nasıl yazılır?
|
Enb z = X11+X12+X21+X22 |
|
Enk z = 45X11+60X12+40X21+30X22 |
|
Enb z = 45X11+60X12+40X21+30X22 |
|
Enk z = 45X11+40X12+60X21+30X22 |
|
Enb z = 45X11+40X12+60X21+30X22 |
Burada öncelikle amaç fonksiyonunun en büyükleme mi yoksa en küçükleme mi olduğuna karar verilmelidir. Dikkat edilirse işlemler için süreler söz konusudur ve amaç en kısa sürede bitirmek olmalıdır. Bu sebeple amaç en küçükleme olmalıdır. Xij i bilgisayarının j işine atanması olduğu için amaç fonksiyonu tüm i ve j değerleri için karşı gelen sürelerin çarpımlarının toplanması şeklinde olmalıdır.
4.Soru
Aşağıdakilerden hangisi yöneylem çözüm araştırması tekniklerinden biri değildir?
|
Macar Algoritması
|
|
Simpleks Algoritması
|
|
Alman Algoritması
|
|
Modi Atlama Taşı
|
|
CPM-PERT
|
5.Soru
Matsushita şirketinin dört şehre hizmet veren üç adet elektrik santrali vardır. Her bir santral sırasıyla 30 milyon, 45 milyon ve 50 milyon kWh elektrik üretmektedir. Şehirlerin en yoğun saatlerde talep ettiği elektrik miktarı ise sırasıyla 40 milyon, 25 milyon, 30 milyon ve 35 milyon kWh’dir. Karar değişkeni Xij, i. santralden j. şehre gönderilen elektrik miktarı olarak tanımlanırsa, aşağıdakilerden hangisi problemin “üçüncü santraline ait talebin karşılanması” ile ilgili kısıtına karşı gelir?
|
|
|
|
|
|
|
|
|
|
Xij: Santral i‘de üretilen ve Şehir j’ye gönderilen elektrik miktarı (milyon kwh). Bu sepeble olur.
6.Soru
Bir ulaştırma modeline dair üretilmiş bir çözümün en iyi çözüm olup olmadığı araştırılmak isteniyorsa, ilk olarak hangi işlem yapılır?
|
Döngü üzerindeki tüm hücreler, Xij hücresinden başlamak üzere sırasıyla (+), (-), (+), … şeklinde işaretlenir. |
|
Mevcut çözümün yer aldığı ulaştırma tablosunda boş olan bir hücre seçilir (Xij). |
|
Her satırın en küçük maliyet değeri tüm satır maliyet değerlerinden çıkarılır. |
|
Tablo üzerinde Xij hücresinden başlayan bir döngü çizilir. |
|
Xij için değişim değeri (Dij) hesaplanır. |
Eniyiliğin sınanması süreci mevcut çözümün yer aldığı ulaştırma tablosunda boş olan bir hücrenin seçilmesiyle (Xij) başlar. Yanıt B seçeneğidir.
7.Soru
Asıl modeli enbüyükleme amaçlı ikil modeli enküçükleme amaçlı olan bir karar problemi için asıl ve ikil modele yönelik olarak sırasıyla A=1200 ve İ=1800 amaç fonksiyonu değerlerine sahip uygun çözümler bulunmuştur. Buna göre aşağıdaki ifadelerden hangisi yanlıştır?
|
Güçlü ikillik özelliği sağlanmıştır |
|
Zayıf ikillik özelliği sağlanmıştır |
|
A’nın alabileceği enbüyük değer 1800’dür. |
|
İ’nin alabileceği enküçük değer 1200’dür. |
|
Her iki modelin de en iyi değeri kesinlikle [1200-1800] aralığındadır. |
Zayıf ikillik özelliğine göre, asıl ve ikil problemlerin her ikisi de uygun çözümlü olduğunda, bu modellerin herhangi uygun çözümlerine karşı gelen amaç fonksiyonu değerleri arasında daima, [Enbüyükleme probleminin amaç fonksiyonunun değeri]≤[Enküçükleme probleminin amaç fonksiyonunun değeri]ilişkisi sağlanır. Bu sebeple A en fazla 1800 ve İ en az 1200 değerini alabilir. Buna göre her iki problemin de en iyi değeri kesinlikle [1200-1800] arasındadır. Fakat burada güçlü ikillik özelliğinden söz edilemez. Çünkü güçlü ikillik özelliği asıl ve ikil problemin çözümlerinin eşit olması durumunda sağlanır.
8.Soru
I. Eniyilik sınamasının yapılması
II. Bir başlangıç temel uygun çözümün bulunması
III. Eniyi çözüme erişilmemişse izleyen temel uygun
çözüm bulunarak sınama adımına geçilmesi.
Yukarıda karışık olarak verilen ulaştırma problemleri için geliştirilmiş çözüm algoritmasının doğru sıralaması aşağıdakilerden hangisidir?
|
I-II-III |
|
I-III-II |
|
II-I-III |
|
II-III-I |
|
III-I-II |
Ulaştırma problemleri için geliştirilmiş çözüm algoritmasının başlıca üç adımı bulunmaktadır. Bunlar sırasıyla: Bir başlangıç temel uygun çözümün bulunması. Eniyilik sınamasının yapılması. Eniyi çözüme erişilmemişse izleyen temel uygun çözümün bulunarak ikinci adıma dönülmesi şeklindedir.
9.Soru
Bir doğrusal programlama modelinde yer alan kısıtların sağ taraf sabitlerinde meydana gelen değişmeler sonusunda optimal tablodaki çözüm sütunu pozitifse aşağıdakilerden hangisi uygulanır?
|
Mevcut çözüm uygun ve optimal bir çözüm olarak kalır |
|
Kısıtlar yenilenir |
|
Katsayılar yenilenir |
|
Karar ortamı gözden geçirilir |
|
Belirsizlik tablosu oluşturulur |
Bir doğrusal programlama modelinde yer alan kısıtların sağ taraf sabitlerinde meydana gelen değişmeler sonusunda optimal tablodaki çözüm sütunu pozitifse "Mevcut çözüm uygun ve optimal bir çözüm olarak kalır"
10.Soru
Gölge fiyatlarla ilgili olarak aşağıdaki ifadelerden hangisi yanlıştır?
|
Fayda maliyet analizi yapmakta kullanılırlar. |
|
Amaç fonksiyonundaki değişimi ifade eder. |
|
Gölge fiyatlar pozitif veya negatif işaretlidir. |
|
İkil değişkenin en iyi değerleridir. |
|
Ek kaynak kullanımı ile ilgili karar verilmesinde rol oynarlar. |
Gölge fiyatlar sadece pozitif işaretli, negatif işaretli değil, sıfıra da eşit olabilirler. Gölge fiyatların sıfır olan kaynaklar serbest mal olarak adlandırılırlar. Gölge fiyatların sıfır olması ilgili kaynakların bolluk ifadesidir.
11.Soru
Bir ulaştırma problemine karşı gelen temel uygun çözümün MODI yöntemi ile eniyilik sınaması yapılmış ve eniyi çözümün elde edildiği görülmüştür. Tabloda görülen sonuçlara göre, aşağıdakilerden hangisi ’ün alabileceği bir değer olabilir?
|
-3 |
|
-2 |
|
1 |
|
0 |
|
2 |
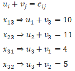
Bu durumda beş eşitlik ve altı bilinmeyen vardır. Bu
eşitlikleri çözmek için bilinmeyenlerden yalnız birine sıfır
değerini vermek yeterlidir. U1=0 olsun.
olduğuna göre
U3= -3 olur.
12.Soru
Doğrusal programlamada amaç fonksiyonu enbüyükleme ya da enküçükleme şeklinde iken hedef programlamanın şekli nedir?
|
Enbüyükleme |
|
Enküçükleme |
|
Aralık bulma |
|
Yaklaşık değer bulma |
|
Ortalama değer bulma |
Cevap "B"
13.Soru
X2 ' nin amaç fonksiyonundakatkısından olabilecek λ kadar değişimin hangi aralığı için eldeki çözüm korunur ?
|
λ ≥ 10
|
|
λ
|
|
λ ≤ -8
|
|
3 ≤ λ ≤ 15
|
|
λ ≥ 12
|
14.Soru
Aşağıdakilerden hangisi herhangi bir üretim kaynağının miktarının bir birim arttırılması veya azaltılması durumunda amaç fonksiyonu değerinde meydana gelecek artış veya azalış olarak tanımlanmaktadır?
|
Gölge Fiyatlar
|
|
Sabit Fiyatlar
|
|
Değişken Fiyatlar
|
|
Fiyat Eğilimi
|
|
Gizli Fiyatlar
|
15.Soru
Aşağıdaki ifadelerden hangisi doğrudur?
|
Eğer bir ulaştırma modelinin toplam sunum miktarı toplam talep miktarına eşit ise, “dengelenmemiş ulaştırma modeli” olarak adlandırılır |
|
Eğer bir ulaştırma modelinin toplam sunum miktarı toplam talep miktarına eşit değilse “dengelenmiş ulaştırma modeli” olarak adlandırılır |
|
Ulaştırma tablosu üzerinden çözüm işlemlerini yürütebilmek için, modelin dengelenmemiş olması gerekmektedir |
|
Bir ulaştırma modeli dengelenmiş ise, yapay kaynak ya da yapay hedef noktası eklentisiyle, model dengelenmemiş hale dönüştürülebilir |
|
Yapay noktalara karşı gelen birim taşıma maliyetleri ise aksi belirtilmedikçe sıfır olarak alınır |
Eğer bir ulaştırma modelinin toplam sunum miktarı toplam talep miktarına eşit ise, “dengelenmiş ulaştırma modeli”, eşit değilse “dengelenmemiş ulaştırma modeli” olarak adlandırılır.
Ulaştırma tablosu üzerinden çözüm işlemlerini yürütebilmek için, modelin dengelenmiş olması gerekmektedir. Bir ulaştırma modeli dengelenmemiş ise, yapay kaynak ya da yapay hedef noktası eklentisiyle, model dengelenmiş hale dönüştürülebilir. Bu durumda eklenen yapay noktanın sunum ya da talep miktarı, toplam sunum ile toplam talep arasındaki fark kadar olur. Yapay noktalara karşı gelen birim taşıma maliyetleri ise aksi belirtilmedikçe sıfır olarak alınır. Bazen yapay kaynak noktasına ait taşıma maliyetlerine sıfır yerine, belirlenen ceza maliyetleri de verilebilmektedir.
16.Soru
I. Asıl modelde amaç fonksiyonunun enbüyük değeri aranıyorken, ikil modelde enküçük değer araştırılmaktadır.II. Asıl modelde tüm kısıtların yönü ≤ iken, ikil modelde de tüm kısıtların yönü ≤ şeklindedir.III. Asılın her kısıtı için bir ikil kısıt tanımlanmaktadır.Kanonik biçimli ve enbüyükleme amaçlı bir problemin ikilini yazarken ortaya çıkan durumlarla ilgili olarak yukarıdaki ifadelerden hangileri doğrudur?
|
Yalnız I |
|
I ve II |
|
I ve III |
|
II ve III |
|
I, II ve III |
Kanonik biçimli ve enbüyükleme amaçlı bir problemin ikilini yazarken ortaya çıkan durumlar şu şekilde özetlenebilir: Asıl modelde amaç fonksiyonunun enbüyük değeri aranıyor iken, ikil modelde bunun karşıtı olan enküçük değer araştırılmaktadır. Asıl modelde tüm kısıtların yönü ≤ iken, ikil modelde tüm kısıtların yönü bunun karşıtı olan ≥ şeklindedir. Asıl modelde m adet kısıt varken, ikil modelde m adet karar değişkeni bulunmaktadır. Bir başka deyişle asılın her kısıtı için bir ikil değişken tanımlanmaktadır.
17.Soru
Modele 4X1 + 3X2 ≥ 30 kısıtının eklenmesi durumu için aşağıdakilerden hangisi geçerlidir ?
|
Eldeki çözüm yeni kısıtı sağlar, başka işleme gerek yoktur
|
|
Eldeki çözüm yeni kısıtı sağlamaz
|
|
İzleyen çözüme geçilir
|
|
Problem yeniden çözülmelidir
|
|
İzleyen çözüm bulunmalıdır
|
18.Soru
Doğrusal karar problemlerinin çözümü elde edildikten sonra, modelde meydana gelebilecek, parametrelere bağlı veya yapısal değişiklikler karşısında, eldeki eniyi çözümün bundan nasıl etkileneceğini veya eldeki çözümün koruması için parametrelerin hangi aralıklarda değer almaları gerektiğini bulmak amacıyla yapılan analizlere ne ad verilir?
|
Duyarlılık analizi. |
|
Swot analizi |
|
İstatistiki analiz |
|
Betimsel analiz |
|
Kararlılık analizi |
Doğrusal karar problemlerinin çözümü elde edildikten sonra, modelde meydana gelebilecek, parametrelere bağlı veya yapısal değişiklikler karşısında, eldeki eniyi çözümün bundan nasıl etkileneceğini veya eldeki çözümün koruması için parametrelerin hangi aralıklarda değer almaları gerektiğini bulmak amacıyla yapılan analizlere "Duyarlılık analizi" adı verilir.
19.Soru
Aşağıdaki doğrusal programlama problemi verilsin: Amaç: Max Z=x1 + x2 Kısıtlar: x1 - x2 ? -1 -x1 - x2 ? - 1, İşaret Kısıtları: x1 ? 0, x2 ? 0. Bu problemin en iyi çözümü için aşağıdakilerden hangisi doğrudur?
|
Bu problemin en iyi çözümü yoktur.
|
|
Bu problemin en iyi çözümü (0,1) noktasıdır.
|
|
Bu problemin en iyi çözümü (1,0) noktasıdır.
|
|
Bu problemin en iyi çözümü (0,0) noktasıdır.
|
|
(0,1) noktası ile (1,0) noktasını birleştiren doğru parçası üzerindeki her bir nokta bu problemin en iyi çözümüdür.
|
20.Soru
Aşağıdakilerden hangisi Yöneylem Araştırması’ nın üç temel özelliğinden biridir?
|
Bilimsel yöntem
|
|
Amaç fonksiyonu
|
|
Fonksiyonel Kısıtlar
|
|
İşaret kısıtları
|
|
Model
|
-
- 1.SORU ÇÖZÜLMEDİ
- 2.SORU ÇÖZÜLMEDİ
- 3.SORU ÇÖZÜLMEDİ
- 4.SORU ÇÖZÜLMEDİ
- 5.SORU ÇÖZÜLMEDİ
- 6.SORU ÇÖZÜLMEDİ
- 7.SORU ÇÖZÜLMEDİ
- 8.SORU ÇÖZÜLMEDİ
- 9.SORU ÇÖZÜLMEDİ
- 10.SORU ÇÖZÜLMEDİ
- 11.SORU ÇÖZÜLMEDİ
- 12.SORU ÇÖZÜLMEDİ
- 13.SORU ÇÖZÜLMEDİ
- 14.SORU ÇÖZÜLMEDİ
- 15.SORU ÇÖZÜLMEDİ
- 16.SORU ÇÖZÜLMEDİ
- 17.SORU ÇÖZÜLMEDİ
- 18.SORU ÇÖZÜLMEDİ
- 19.SORU ÇÖZÜLMEDİ
- 20.SORU ÇÖZÜLMEDİ