Yöneylem Araştırması Final 11. Deneme Sınavı
Toplam 20 Soru1.Soru
Doğrusal programlama probleminin matematiksel modelini tamamlamak için her bir karar değişkeninin aşağıdaki varsayımlardan hangisini sağlaması gerekir?
|
Doğrusallık |
|
Bölünebilirlik |
|
Belirlilik |
|
Tam sayılılık |
|
Negatif olmama |
Doğrusal programlama probleminin matematiksel modelini tamamlamak için her bir karar değişkeninin negatif olmama varsayımını sağlaması gerekir. Karar değişkeni Xj’nin sadece pozitif değerli olduğu varsayılırsa, “Xj ? 0” işaret kısıtı modele eklenir.
2.Soru
Aşağıdakilerden hangisi karar verme ortamlarıyla ilgili doğru bir ifadedir?
|
Karar verme ortamları sabittir. |
|
Karar verme ortamları farklı şekillerde olabilir. |
|
Karar verme ortamları değişmez. |
|
Karar verme ortamları aynıdır. |
|
Karar verme ortamları tıpa tıp birdir. |
Karar verme ortamları farklı şekillerde olabilir. Temel olarak belirlilik, risk ve belirsizlik altında karar ortamlarından söz edilebilir.
3.Soru
Ele alınan problemin hedeflerinin herhangi bir önceliğinin bulunmaması ve sapma değişkenlerinin de eşit önemli olması halinde ortaya çıkan programlama türü aşağıdakilerden hangisidir?
|
Tek hedefli programlama
|
|
Eşit ağırlıklı çok hedefli programlama
|
|
Ağırlıklı çok hedefli programlama
|
|
Öncelikli çok hedefli programlama
|
|
Öncelikli-ağırlıklı çok hedefli programlama. |
Ele alınan problemin hedeflerinin herhangi bir önceliğinin bulunmaması ve sapma değişkenlerinin de eşit önemli olması halinde ortaya çıkan programlama türüdür. Amaç fonksiyonu da istenmeyen sapma değişkenlerinin toplamı şeklinde kurulur.
4.Soru
Aşağıdakilerden hangisi hedef programlama modelindeki amaç fonksiyonunda bulunmaz?
|
Karar değişkenleri |
|
Negatif sapma değişkenleri |
|
Pozitif sapma değişkenleri |
|
Esnek kısıtlar |
|
Hedef kısıtları |
Doğrusal programlama modelindeki amaç fonksiyonunda karar değişkenleri yer alırken, hedef programlama modelinde amaç fonksiyonunda karar değişkenleri yer almaz. Hedef programlama modelindeki amaç fonksiyonu negatif ve/veya pozitif sapma değişkenlerinden oluşur.
5.Soru
Aşağıda bir enbüyükleme problemi için geliştirilen matematiksel model ve karşı gelen eniyi çözüm tablosu verilmektedir.
Problemin kısıtlarına karşı gelen kaynak vektöründeki birinci değerdeki değişikliğin hangi aralığı için eldeki eniyi çözüm korunur?
|
- 45 ≤ ϑ1 ≤ 30 |
|
- 45 ≤ ϑ1 ≤ 45 |
|
30 ≤ ϑ1 ≤ 45 |
|
- 45 ≤ ϑ1 ≤ 45 |
|
- 30 ≤ ϑ1 ≤ 30 |
6.Soru
A. Sistem kısıtlarının belirlenmesi.
B. Amaç fonksiyonunun oluşturulması.
C. Belirlenen hedefler doğrultusunda hedef kısıtlarının belirlenmesi.
D. Karar değişkenlerinin (xj) belirlenmesi.
E. Karar vericilere bağlı olarak gerekli durumlarda hedeflerin ağırlıklarının belirlenmesi.
F. Modelde yer alan tüm değişkenler için negatif olmama kısıtının oluşturulması.
G. Karar vericilere bağlı olarak gerekli durumlarda hedeflerin önceliklerinin belirlenmesi.
Doğrusal hedef programlama modelinin kuruluşunda yukarıdaki işlem adımları hangi sırada uygulanmalıdır?
|
D -> A -> C -> F -> G - > E -> B |
|
B -> G -> E -> C -> D -> F -> A |
|
A -> B -> C -> D -> E -> F - G |
|
E -> F - G - > A -> B -> C -> D |
|
C -> D -> E -> F - G -> A -> B |
Doğrusal hedef programlama modelinin kuruluşunda izleyen adımlar sırasıyla uygulanır:
D. 1. Karar değişkenlerinin (xj) belirlenmesi.
A. 2. Sistem kısıtlarının belirlenmesi.
C. 3. Belirlenen hedefler doğrultusunda hedef kısıtlarının belirlenmesi.
F. 4. Modelde yer alan tüm değişkenler için negatif olmama kısıtının oluşturulması.
G. 5. Karar vericilere bağlı olarak gerekli durumlarda hedeflerin önceliklerinin belirlenmesi.
E. 6. Karar vericilere bağlı olarak gerekli durumlarda hedeflerin ağırlıklarının belirlenmesi.
B. 7. Amaç fonksiyonunun oluşturulması.
Bu nedenle doğru yanıt a) seçeneğidir.
7.Soru
Aşağıdakilerden hangisi Yöneylem Araştırması kapsamında ele alınan problemlerin çözümünde kullanılan bir teknik değildir?
|
Oyun teorisi |
|
Markov zincirleri |
|
Dal sınır algoritması |
|
Macar Algoritması |
|
Proje planlama |
A,B,C,D şıklarında yer alan teknikler Yöneylem Arştırması problemlerinde kullanılan tekniklerden bir tanesidir. E şıkkındaki ifade bu tekniklerden i değildir. Doğru cevap E'dir.
8.Soru
Simpleks algoritmasında “Bir doğrusal karar probleminin çözümü elde edildikten sonra, modelde, bazen değişiklikler olabilir. Bu değişiklikler yeni bir kısıtın veya yeni bir değişkenin eklenmesi şekillerinde ortaya çıkabilir. Duyarlılık analizleri eniyi çözüm sonrası yapılan analizler olduğundan, yeni bir kısıtın eklenmesi durumunda, eldeki çözümün bu kısıtı da sağlayıp sağlamadığının incelenmesı gerekmektedir. Sağlanıyorsa başka bir işleme gerek olmayıp; yeni kısıt eldeki çözüm için sağlanmıyorsa, bu durumda, bu kısıtı da ekleyip varsa yeni çözüm bulunmalıdır.” Şeklinde yapılan açıklama aşağıdaki duyarlılık analizlerinden hangisine karşı gelmektedir?
|
Yeni Bir Kısıtın Eklenmesi Yapısal Değişikliğine Göre Duyarlılık Analizi |
|
Katkı Parametresindeki Değişime Göre Duyarlılık Analizi |
|
Sağ Taraf Sabitindeki Değişime Göre Duyarlılık Analizi |
|
Teknik Katsayılardaki Değişime Göre Duyarlılık Analizi |
|
Yeni Bir Değişkenin Eklenmesi Yapısal Değişikliğine Göre Duyarlılık Analizi |
“Bir doğrusal karar probleminin çözümü elde edildikten sonra, modelde, bazen değişiklikler olabilir. Bu değişiklikler yeni bir kısıtın veya yeni bir değişkenin eklenmesi şekillerinde ortaya çıkabilir. Duyarlılık analizleri eniyi çözüm sonrası yapılan analizler olduğundan, yeni bir kısıtın eklenmesi durumunda, eldeki çözümün bu kısıtı da sağlayıp sağlamadığının incelenmesı gerekmektedir. Sağlanıyorsa başka bir işleme gerek olmayıp; yeni kısıt eldeki çözüm için sağlanmıyorsa, bu durumda, bu kısıtı da ekleyip varsa yeni çözüm bulunmalıdır.” Şeklindeki açıklama yeni bir kısıtın eklenmesi yapısal değişikliğine göre yapılan duyarlılık analizini tanımlamaktadır.
Bu nedenle doğru yanıt a) seçeneğidir.
9.Soru
Sağ taraf sabitinde değişiklik olan bir problemin duyarlılık analizi hakkında aşağıdaki bilgilerden hangisi doğrudur?
|
Problem enbüyükleme problemi ise, sağ taraf sabiti değişiminin problemin sonuç çözümüne bir etkisi yoktur. |
|
Problem enküçükleme problemi ise, sağ taraf sabiti değişiminin problemin sonuç çözümüne bir etkisi yoktur. |
|
Bu tarz problemlerde, B-1b ifadesinin 0'den büyük olması kontrol edilerek analiz gerçekleştirilir. |
|
Bu tarz problemlerde, CR ifadesinin 0'den büyük olması kontrol edilerek analiz gerçekleştirilir. |
|
Bu tarz problemlerde, CB ifadesinin 0'den büyük olması kontrol edilerek analiz gerçekleştirilir. |
Sağ taraf sabitinin değiştiği problem türlerinde B-1b ifadesinin büyük "0" olması sağlanmalıdır. Bu kontrol ile duyarlılık analizi gerçekleştirilir. Doğru cevap C'dir.
10.Soru
Aşağıdakilerden hangisi Macar algoritması ile atama problemini çözebilmek için gerekli koşuldur?
|
Her projede sadece 1 teknisyen çalışabilir. |
|
Her iş yalnız bir işlem noktasına atanabilir. |
|
İki ardışık hücre, aynı satırda ya da aynı sütunda yer almalıdır. |
|
Dizideki son hücre, ilk hücreyle ortak bir satır ya da sütuna sahip olmalıdır. |
|
İşlem noktası ile iş sayısı birbirine eşittir (= n.) |
Macar algoritması ile atama problemini çözebilmek için, aşağıdaki koşulların sağlanması gerekir:
• Problemin amacı bir etkinliğin enküçüklenmesidir.
• İşlem noktası ile iş sayısı birbirine eşittir (= n.)
• Her atama gideri cij ? 0 koşuluna uymaktadır (cij : i. işlem noktasını j. işe atamanın maliyeti)
Doğru cevap E seçeneğidir.
11.Soru
Bu verilere göre x1 'nin katkısı c1=2 yerine c1' =-1 olması durumunda, X0 satırında temel dışı değişkenlere karşı gelen yeni katsayılar aşağıdakilerden hangisinde doğru şekilde verilmiştir?
|
(2,3) |
|
(1,1) |
|
(2,-4) |
|
(-4,2) |
|
(3,-2) |
Problemdeki verilere göre yeni CB' (1,-1) olacaktır. Amaç fonksiyonu satırındaki temel dışı değişkenlere karşılık gelen katsayıları veren CB'B-1 R - CR formülasyonunda yeni CB' konularak hesaplama yapıldığında bulunan değer (3,-2)'dir.
Doğru cevap E'dir.
12.Soru
En düşük maliyet yönteminin geliştirilmiş hali olarak düşünülebilecek olan yönteme ne ad verilir?
|
SWM |
|
AKM |
|
VAM |
|
DMM |
|
OMN |
VAM yöntemi, en düşük maliyet yönteminin geliştirilmiş hali olarak düşünülebilir.
13.Soru
I. Problemin amacı bir etkinliğin enküçüklenmesidir.
II. İşlem noktası ile iş sayısı birbirine eşittir (= n.)
III. Her atama gideri cij ? 0 koşuluna uymaktadır (cij : i. işlem noktasını j. işe atamanın maliyeti)
Macar algoritması ile atama problemini çözebilmek için hangi koşulların sağlanması gerekmektedir?
|
Yalnız I |
|
II ve II |
|
II ve III |
|
I ve III |
|
I, II ve III |
Macar algoritması ile atama problemini çözebilmek için, aşağıdaki koşulların sağlanması gerekir:
• Problemin amacı bir etkinliğin enküçüklenmesidir.
• İşlem noktası ile iş sayısı birbirine eşittir (= n.)
• Her atama gideri cij ? 0 koşuluna uymaktadır (cij : i. işlem noktasını j. işe atamanın maliyeti)
14.Soru
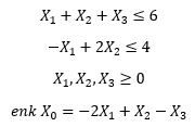
Bu problemde kaç adet kısıt bulunmaktadır?
|
2 |
|
3 |
|
4 |
|
5 |
|
6 |
Tabloda kısıt sayısı kadar satır bulunmaktadır. 2 adet satır olduğu için 2 adet kısıt vardır. Doğru cevap A'dır.
15.Soru
Karton malzeme için stok alan ihtiyacı kaçtır?
|
25m2 |
|
yoktur |
|
30m2 |
|
45m2 |
|
60m2 |
Karton malzeme için stok alanı ihtiyacı yoktur
16.Soru
Asıl modelin son simpleks tablosu veya eniyi çözümünü gösteren simpleks tablosu verilmişse, başlangıç temel uygun çözüme karşı gelen değişkenlerin indirgenmiş maliyetlerinden ikil değişkenlerin değeri bulunabilir. Buna göre aşağıdakilerden hangisi geçerlidir?
|
İndirgenmiş maliyetler, simpleks tablosunun amaç fonksiyonu (z) satırında yer alan sayısal değerlerdir. |
|
İndirgenmiş maliyetler, simpleks tablosunun STS (sağ taraf sabitleri) sütununda yer alan sayısal değerlerdir. |
|
İndirgenmiş maliyetler, simpleks tablosunun başlangıç temel değişkenlerinin katsayılarıdır. |
|
İndirgenmiş maliyetler, başlangıç simpleks tablosunun ikilinin sağ taraf sabitlerdir. |
|
İndirgenmiş maliyetler, başlangıç temel değişkenlerin orijinal modeldeki amaç fonksiyonu katsayılardır. |
Asıl modelin son simpleks tablosu veya eniyi çözümünü gösteren simpleks tablosu verilmişse, ikil değişkenlerin değerini bu tablodan okumak mümkündür. Son simpleks tablosunda, başlangıç temel uygun çözüme karşı gelen değişkenlerin indirgenmiş maliyetlerinden, ikil değişkenlerin değeri bulunabilir. İndirgenmiş maliyetler, simpleks tablosunun amaç fonksiyonu (z) satırı veya sıfır satırı olarak adlandırılan satırında yer alan sayısal değerlerdir.
Bu nedenle doğru yanıt a) seçeneğidir.
17.Soru
D noktasına karşılık gelen (x,y) değerleri aşağıdakilerin hangisinde doğru şekilde verilmiştir?
|
(10, 2/3) |
|
(10, 3/4) |
|
(2/3, 10) |
|
(3/4, 10) |
|
(12, 2/3) |
2X1 + 6X2 ≤ 24 denkleminde X1 yerine 10 değeri konulduğunda elde edilen değer 2/3'tür. Doğru cevap A'dır.
18.Soru
I.Sapma değişkenleri
II.Karar değişkenleri
III.Ağırlıklandırma değişkenleri
Doğrusal hedef programlama modelinde amaç fonksiyonu hangisi veya hangilerinden oluşmaktadır?
|
Yalnızca I |
|
Yalnızca II |
|
Yalnızca III |
|
I ve II |
|
II ve III |
Doğrusal hedef programlama modelinde amaç fonksiyonu sadece sapma değişkenlerinden oluşmaktadır. Amaç fonksiyonunda karar değişkenleri yer almaz.
19.Soru
Aşağıdaki programlama türlerinden hangisinde ilk öncelikli hedef ve/veya hedeflerin sonraki öncelik seviyesindeki hedef ve/veya hedeflerden önce gerçekleştirilmesi söz konusudur?
|
Tek hedefli programlama |
|
Eşit ağırlıklı çok hedefli programlama |
|
Ağırlıklı çok hedefli programlama |
|
Öncelikli çok hedefli programlama |
|
Öncelikli-ağırlıklı çok hedefli programlama. |
Bir hedefe ulaşmak diğer hedeflere ulaşmaktan daha önemli olabilir. Dolayısıyla, öncelikli hedef programlamada karar verici hedeflere bir öncelik belirler ve bu önceliklere göre hedefleri sıralandırır. Buradaki temel fikir, ilk öncelikli hedef ve/veya hedeflerin sonraki öncelik seviyesindeki hedef ve/veya hedeflerden önce gerçekleştirilmesidir. Ağırlıklı çok hedefli programlamadan farklı olarak, yüksek öncelikli hedefin en iyi değerinin düşük öncelikli hedef tarafından kötüleştirilmesine izin verilmeyecek şekilde her seferinde bir hedef en iyi kılınır
20.Soru
Bir enküçükleme problemi için geliştirilen matematiksel model ve karşı gelen eniyi çözüm tablosu verilmiştir.

Modele, kısıtlara karşı gelen katsayılar vektörü

ve amaç fonksiyonundaki katkısı

olan yeni bir değişkenin eklenmesi durumu için hangisi doğrudur?
|
Yeni değişkene amaç fonksiyonu satırında karşı gelen değer negatif olup eniyilik koşulları korunmamaktadır, yeni değişken temele alınmalıdır. |
|
Yeni değişkene amaç fonksiyonu satırında karşı gelen değer pozitif olup eniyilik koşulları korunmaktadır, yeni değişken temele alınmamalıdır. |
|
Yeni değişkene amaç fonksiyonu satırında karşı gelen değer pozitif olup eniyilik koşulları korunmamaktadır, yeni değişken temele alınmalıdır. |
|
Yeni değişkene amaç fonksiyonu satırında karşı gelen değer negatif olup eniyilik koşulları korunmaktadır, yeni değişken temele alınmalıdır. |
|
Yeni değişken için uygunluk koşulları korunmamaktadır. |
değerinin bulunması gerekmektedir.
Bulunan değer, yeni değişkenin amaç fonksiyonu satırına karşı gelen değeridir. 1≥0 olduğundan, amaç fonksiyonunun enküçükleme olduğu hatırlanırsa, yeni değişken eniyilik koşullarını korumamakta olup, temele alınması halinde amaç fonksiyonu değerini daha iyiye götürecektir.
-
- 1.SORU ÇÖZÜLMEDİ
- 2.SORU ÇÖZÜLMEDİ
- 3.SORU ÇÖZÜLMEDİ
- 4.SORU ÇÖZÜLMEDİ
- 5.SORU ÇÖZÜLMEDİ
- 6.SORU ÇÖZÜLMEDİ
- 7.SORU ÇÖZÜLMEDİ
- 8.SORU ÇÖZÜLMEDİ
- 9.SORU ÇÖZÜLMEDİ
- 10.SORU ÇÖZÜLMEDİ
- 11.SORU ÇÖZÜLMEDİ
- 12.SORU ÇÖZÜLMEDİ
- 13.SORU ÇÖZÜLMEDİ
- 14.SORU ÇÖZÜLMEDİ
- 15.SORU ÇÖZÜLMEDİ
- 16.SORU ÇÖZÜLMEDİ
- 17.SORU ÇÖZÜLMEDİ
- 18.SORU ÇÖZÜLMEDİ
- 19.SORU ÇÖZÜLMEDİ
- 20.SORU ÇÖZÜLMEDİ