Yöneylem Araştırması Final 12. Deneme Sınavı
Toplam 20 Soru1.Soru
Katkı parametrelerindeki değişiklik aşağıdaki hangi vektörde değişiklik anlamına gelmektedir?
|
A |
|
B |
|
C |
|
D |
|
E |
Katkı parametrelerindeki değişiklik C vektöründe değişiklik anlamına gelmektedir. Doğru cevap C'dir.
3.Soru
İstenen ve istenmeyen sapma değişkenleriyle ilgili olarak aşağıdaki ifadelerden hangisi geçerlidir?
|
|
|
|
|
|
|
|
|
|
4.Soru
Bir şirkette çalışan üç sekreterin (A, B, C) her birinin bir projede çalışması istenmektedir. Tamamlanması istenen üç proje vardır. Her sekreterin sahip olduğu bilgi, beceri ve yetenek seviyesine bağlı olarak projeleri farklı sürelerde bitirecekleri tahmin edilmektedir. Atama modeli kullanılarak sekreterler projelere atanacaktır. Modelde "her sekreter sadece bir projeye atanacaktır" kısıtı bulunmaktadır. Buna göre sekreter C'nin sadece bir projeye atanabilir kısıtı hangisinde doğru gösterilmiştir?
|
xB1+ xB2+ xB3=1 |
|
xA1+ xA2+ xA3=1 |
|
xC1+ xC2+ xC3=1 |
|
xA3+ xB3+ xC3=1 |
|
xC1+ xC3+ xA3=1 |
xC1+ xC2+ xC3=1 kısıtı, sekreter C'nin sadece bir projeye atanabilir demektir.
5.Soru
Simpleks Algoritması, bir temel uygun çözüm (değişkenlerin sıfır veya sıfırdan büyük değer aldığı) ile başlar ve bu çözüm eniyilik koşullarını sağlamıyorsa izleyen çözümün de temel uygun çözüm olmasını sağlayacak yapıdadır. Bu gerekliliğin ismi aşağıdakilerden hangisidir?
|
Uygunluk içeriği |
|
Uygunluk koşulu |
|
Uygunluk bileşeni |
|
Uygunluk denklemi |
|
Uygunluk farklılığı |
Simpleks Algoritması, bir temel uygun çözüm (değişkenlerin sıfır veya sıfırdan büyük değer aldığı) ile başlar ve bu çözüm eniyilik koşullarını sağlamıyorsa izleyen çözümün de temel uygun çözüm olmasını sağlayacak yapıdadır. Bu gereklilik ise uygunluk koşulu olarak adlandırılır. Doğru cevap B'dir.
6.Soru
Sağ taraf sabitleri de denen kaynak vektöründe bir değişim aşağıdakilerden hangisine yansır?
|
Sabitlik koşulu |
|
Eniyilik koşulu |
|
Basitlik koşulu |
|
Denge koşulu |
|
Denklem koşulu |
Sağ taraf sabitleri de denen kaynak vektöründe bir değişim, eniyilik
değil uygunluk koşullarına yansır.
7.Soru
Grafik üzerinde Uygun Çözüm Alanının (UÇA) farklı iki noktasının dışbükey birleşimi olarak yazılamayan noktası varsa, bu noktaya ne ad verilir?
|
İçbükey |
|
Dışbükey |
|
Uç Nokta |
|
seçenekli Çözüm |
|
Uygun Çözüm |
Grafik üzerinde Uygun Çözüm Alanının (UÇA) farklı iki noktasının dışbükey birleşimi olarak yazılamayan noktası varsa, buna uç nokta veya köşe nokta denir.
Uygun Çözüm Alanı dışbükey(konveks) bir alandır. Dışbükey alanın temel özelliği, bu alan içinde iki nokta ele alınıp bir doğru parçasıyla birleştirildiğinde, birleştiren doğru parçasının tamamının alan kalmasıdır.
Bir anlamda Uygun Çözüm Alanı kümesindeki herhangi iki nokta çiftini birleştiren doğru parçası, tamamen Uygun Çözüm Alanı kümesinde ise, uygun çözüm alanı dışbükey bir kümedir. Söz konusu doğru parçasının bir kısmını içine almayan küme ise, içbükey (konkav) kümedir.
Bir önceki bölümde görüldüğü gibi, çok farklı alanlardaki problemler doğrusal programlamada, karar modeli olarak modellenebilmektedir.
Doğrusal programlama, amaç fonksiyonunu etkileyen kısıtlayıcıların bulunması ve bunların doğrusal eşitlik ve eşitsizlikler olarak verilmesi durumunda, amaca en iyi bir biçimde ulaşılması için, kıt kaynakların en verimli şekilde kullanılmasını sağlayan bir
matematiksel yöntemdir. Böyle bir programlama sürecinde, önce gerekli veriler toplanır, probleme ait bir model kurulur ve modelin çözümü araştırılır. Bu çözümler, kurulmuş olan modelin yapısına bağlı olarak tek bir çözüm ya da seçenekli çözüm olabilir.
Bir doğrusal programlama modelinin tüm kısıtlarını sağlayan her X vektörüne, uygun çözüm denir.
8.Soru
Yukarıda verilen kanonik biçimde yazılmış doğrusal programlama modelinin ikili aşağıdakilerden hangisidir?
|
x1 + 2x2 ≤ 5 x1 – 5x2 ≤ -3 4x1 + 7x2 ≤ 8 x1, x2 ≥ 0 k.a Enkz = 5x1 + 6y2 |
|
x1 - 2x2 ≤ 5 x1 + 5x2 ≤ -3 4x1 - 7x2 ≤ 8 x1, x2 ≥ 0 k.a Enkz = 5x1 - 6y2 |
|
- x1 + 2x2 ≤ 5 - x1 – 5x2 ≤ -3 - 4x1 + 7x2 ≤ 8 x1, x2 ≥ 0 k.a Enkz = - 5x1 + 6y2 |
|
x1 + 2x2 ≤ - 5 x1 – 5x2 ≤ 3 4x1 + 7x2 ≤ - 8 x1, x2 ≥ 0 k.a Enkz = 5x1 + 6y2 |
|
x1 + 2x2 ≥ 5 x1 – 5x2 ≥ -3 4x1 + 7x2 ≥ 8 x1, x2 ≥ 0 k.a Enkz = 5x1 + 6y2 |
9.Soru
Ulaştırma tablosu üzerinde yer alan bir temel uygun çözümün, en iyi çözüm olup olmadığını sınamak için aşağıdakilerden hangisi kullanılabilir?
|
KODI Yöntemi |
|
VODI Yöntemi |
|
MODI Yöntemi |
|
NODI Yöntemi |
|
TODI Yöntemi |
Ulaştırma tablosu üzerinde yer alan bir temel uygun çözümün, en iyi çözüm olup olmadığını sınamak için atlama taşı veya MODI yöntemi kullanılabilir.
11.Soru
Genel olarak ürünlerin birden fazla üretim noktasından, birden fazla tüketim noktasına dağıtımı ile ilgili problemlere ne ad verilir?
|
Atama |
|
Aktarma |
|
Nakil |
|
sevk |
|
Dağıtım |
Genel olarak ürünlerin birden fazla üretim noktasından, birden fazla tüketim noktasına dağıtımı ile ilgili problemlere ulaştırma veya atama problemleri denir.
12.Soru
Simpleks Algoritması bir temel uygun çözümle (temel değişkenler değerinde) başlayıp başka bir temel uygun çözüme geçtiğinden, aşağıdakilerden hangisini sağlaması gerekmektedir?
Simpleks Algoritması bir temel uygun çözümle (temel değişkenler değerinde) başlayıp başka bir temel uygun çözüme geçtiğinden, aşağıdakilerden hangisini sağlaması gerekmektedir?
|
B-1b < 0 |
|
B-1b > 0 |
|
B-1b küçük eşittir 0 |
|
B-1b büyük eşittir 0 |
|
B-1b = 0 |
Simpleks Algoritması bir temel uygun çözümle (temel değişkenler değerinde) başlayıp başka bir temel uygun çözüme geçtiğinden, bu değişikliğin uygunluk koşulu olan B-1b büyük eşittir 0’ ı sağlaması gerekmektedir.
13.Soru
Atlas elektronik şirketi üç tip bilgisayar hafıza kartı üretmektedir. Şirket aylık üretim çizelgesi yapmayı planlamaktadır:
- A tipi hafıza kartının birim üretim maliyeti 6 TL, satış fiyatı 9 TL'dir.
- B tipi hafıza kartının birim üretim maliyeti 5 TL, satış fiyatı 7 TL'dir.
- C tipi hafıza kartının birim üretim maliyeti 8 TL, satış fiyatı 9 TL'dir.
Üretim bölümü, hafıza kartlarından en fazla 4000 adet/ay üretebilmektedir. Bu bilgilere göre şirket için kurulacak üretim modelinde kapasite kısıtı nedir?
|
|
|
|
|
|
|
|
|
|
Üretim kapasite kısıtı ;
Doğru yanıt D'dir.
14.Soru
Uygun Çözüm Alanı kümesindeki herhangi iki nokta çiftini birleştiren doğru parçası, tamamen Uygun Çözüm Alanı kümesinde ise bu küme aşağıdakilerden hangisi ile tanımlanır?
|
İçbükey küme |
|
Dışbükey küme |
|
Uç nokta teoremi |
|
Optimum çözüm seti |
|
Optimum değer |
Uygun Çözüm Alanı kümesindeki herhangi iki nokta çiftini birleştiren doğru parçası, tamamen Uygun Çözüm Alanı kümesinde ise, uygun çözüm alanı dışbükey bir kümedir.
16.Soru
Doğrusal hedef programlama problemlerinin çözümünde kullanılan kaç tür yaklaşım bulunmaktadır?
|
2 |
|
3 |
|
4 |
|
5 |
|
6 |
Doğrusal hedef programlama problemlerinin çözümünde kullanılan Grafik yöntemi ve Simpleks yöntemi adlı iki tür yaklaşım bulunmaktadır: Buna göre doğru cevap A’dır
17.Soru
Verilen doğrusal programlama probleminin optimum çözümü aşağıdakilerden hangisidir?
Max Z= 4X1 + 3X2
Kısıtlayıcılar;
2X1 + 3X2 ? 6 (Ara mal A)
-3X1 + 2X2 ? 3 (Ara mal B)
2 X2 ? 5 (Üretim miktarı)
2X1 + X2 ? 4 (İşgücü miktarı)
ve, X1, X2 ? 0
|
Max Z=8 X1 = 1 X2 = 3 |
|
Max Z=6 X1 = 3 X2 = 1 |
|
Max Z=9 X1 = 1 X2 = 1.5 |
|
Max Z=9 X1 = 1.5 X2 = 1 |
|
Max Z=6 X1 = 1 X2 = 3 |
2X1 + 3X2 = 6 X1 =0 için X2 = 2 X2 =0 için X1 = 3
-3X1 + 2X2 ? 3 X1 =0 için X2 = 1,5 X2 =0 için X1 = -1
2 X2 = 5 X2 = 2,5
2X1 + X2 = 4 X1 =0 için X2 = 4 X2 =0 için X1 = 2
Max Z= 4. (1,5) + 3. (1) = 9
2X1 + 3X2 = 6
+- 2X + - X2 = +- 4
0+2 X2 = 2 X2 = 1
2X1 + 3(1) = 6
ve X1= 1.5
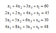
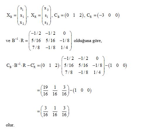
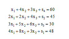
18.Soru
|
S1 |
|
S2 |
|
X0 |
|
X1 |
|
X2 |
Temele girecek değişken S1dir.
Doğru yanıt A seçeneğidir.
19.Soru
Kanonik biçimli ve enbüyükleme amaçlı bir problemin ikilini yazarken ortaya çıkan durumlar ile ilgili olarak aşağıdakilerden hangisi yanlıştır?
|
Asıl modelde amaç fonksiyonunun enbüyük değeri aranıyor iken, ikil modelde bunun karşıtı olan enküçük değer araştırılmaktadır. |
|
Asıl modelde tüm kısıtların yönü ≤ iken, ikil modelde tüm kısıtların yönü bunun karşıtı olan ≥ şeklindedir. |
|
Asıl modelde m adet kısıt varken, ikil modelde m adet karar değişkeni (y1,y2,…,ym) bulunmaktadır. |
|
Asıl modelin amaç fonksiyonu katsayıları (cj), ikil modelin amaç fonksiyonu katsayılarını(wj) oluşturur. |
|
Asıl modelde n adet karar değişkeni bulunurken, ikilinde n adet kısıt yer almaktadır. |
Asıl modelin amaç fonksiyonu katsayıları (cj), ikil model kısıtlarının sağ taraf sabitleridir.
20.Soru
Her bir amaç için belirlenen hedeften olabilecek sapmaları en küçükleyen fonksiyonlara ne ad verilir?
|
Başarı fonksiyonları |
|
Pozitif Sapma değişkenleri |
|
Sistem Kısıtları |
|
Amaç fonksiyonu |
|
Negatif Sapma değişkenleri |
Başarı fonksiyonları: Her bir amaç için belirlenen hedeften olabilecek sapmaları en küçükleyen fonksiyonlardır.
-
- 1.SORU ÇÖZÜLMEDİ
- 2.SORU ÇÖZÜLMEDİ
- 3.SORU ÇÖZÜLMEDİ
- 4.SORU ÇÖZÜLMEDİ
- 5.SORU ÇÖZÜLMEDİ
- 6.SORU ÇÖZÜLMEDİ
- 7.SORU ÇÖZÜLMEDİ
- 8.SORU ÇÖZÜLMEDİ
- 9.SORU ÇÖZÜLMEDİ
- 10.SORU ÇÖZÜLMEDİ
- 11.SORU ÇÖZÜLMEDİ
- 12.SORU ÇÖZÜLMEDİ
- 13.SORU ÇÖZÜLMEDİ
- 14.SORU ÇÖZÜLMEDİ
- 15.SORU ÇÖZÜLMEDİ
- 16.SORU ÇÖZÜLMEDİ
- 17.SORU ÇÖZÜLMEDİ
- 18.SORU ÇÖZÜLMEDİ
- 19.SORU ÇÖZÜLMEDİ
- 20.SORU ÇÖZÜLMEDİ