Yöneylem Araştırması Final 2. Deneme Sınavı
Toplam 20 Soru1.Soru
Sapma değişkenleri ile ilgili aşağıda yer alan ifadelerden hangisi/hangileri doğrudur? I. Sadece hedef kısıtları ve modelin amaç fonksiyonunda yer alan sapma değişkenleri, istenilen hedefin aşılması ve altında kalınması durumlarını gösteren değişkenlerdir. II. Sapma değişkenleri negatif değer alabilirler ve her bir hedef için birer negatif sapma ve pozitif sapma değişkeni tanımlanır. III. Belirlenen hedefin sadece ya altında ya da üstünde bir durum gerçekleşeceğinden, negatif ve pozitif sapma değişkenlerinden biri daima sıfır değerini alır.
|
Yalnızca I |
|
Yalnızca II |
|
I ve II |
|
I ve III |
|
II ve III |
Sapma değişkenleri: Sadece hedef kısıtları ve modelin amaç fonksiyonunda yer alan sapma değişkenleri, istenilen hedefin aşılması ve altında kalınması durumlarını gösteren değişkenlerdir. Her bir hedef için birer negatif sapma ve pozitif sapma değişkeni tanımlanır. Sapma değişkenleri negatif değer alamazlar. Ayrıca, belirlenen hedefin sadece ya altında ya da üstünde bir durum gerçekleşeceğinden, negatif ve pozitif sapma değişkenlerinden biri daima sıfır değerini alır. Buna göre II. seçenekte yer alan alabilirler ifadesi yanlıştır. Doğru cevap D’dir.
2.Soru
Temizlik ürünleri üreten bir kimya firması üretiminin maksimize etmek amacıyla kurduğu doğrusal üretim modelinin karar değişkeni ne olmalıdır?
|
Satış miktarı |
|
Gelir miktarı |
|
Depolama miktarı |
|
Hammadde miktarı |
|
Üretim miktarı |
Kurulan doğrusal üretim modeli için, karar değişkeni üretilecek miktar olacaktır.
3.Soru
Asıl ve ikil modellerin çözümleri arasındaki ilişkilerden zayıf ikillik özelliği ile ilgili olarak aşağıdakilerden hangisi doğrudur?
|
Enküçükleme probleminin amaç fonksiyonu değeri ≤ Enbüyükleme probleminin amaç fonksiyonu değeri |
|
Enküçükleme probleminin amaç fonksiyonu değeri = Enbüyükleme probleminin amaç fonksiyonu değeri |
|
Enküçükleme probleminin herhangi bir uygun çözümüne karşı gelen amaç fonksiyonu değeri, enbüyükleme probleminin eniyi değeri için bir alt sınır verecektir. |
|
Enbüyükleme probleminin bir uygun çözümüne karşı gelen amaç fonksiyonu değeri, enküçükleme probleminin eniyi değeri için bir üst sınır değeri oluşturacaktır. |
|
Enbüyükleme probleminin amaç fonksiyonu değeri ≤ enküçükleme probleminin amaç fonksiyonu değeri |
enbüyükleme probleminin amaç fonksiyonu değeri ≤ enküçükleme probleminin amaç fonksiyonu değeri; asıl ve ikil modellerin çözümleri arasındaki ilişkilerden zayıf ikillik özelliğini göstermektedir.
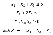
4.Soru
Verilen doğrusal programlama probleminin optimum çözümü aşağıdakilerden hangisidir?
|
|
|
|
|
|
|
|
|
|
5.Soru
Karar değişkenlerinin negatif değer almaması yanında, temel kısıtların dışında özel kısıtı olmayan ulaştırma problemlerinde, toplam taşıma maliyeti de miktarla doğru orantılı olarak değişiyorsa, problemin çözümü için geliştirilen matematiksel model hangisi olmalıdır?
|
dengelenmiş model |
|
doğrusal karar modeli |
|
VAM |
|
Macar algoritması |
|
MODI |
Karar değişkenlerinin negatif değer almaması yanında, temel kısıtların dışında özel kısıtı olmayan ulaştırma problemlerinde, toplam taşıma maliyeti de miktarla doğru orantılı olarak değişiyorsa, problemin çözümü için geliştirilen matematiksel model doğrusal karar modelidir.
6.Soru
Karar modellerinde, kısıtları sağlayan çözümlerin en iyisinin seçimi için kullanıldığı belirtilen fonksiyon ne fonksiyonu olarak adlandırılır?
|
Kısıt |
|
Değişken |
|
Amaç |
|
Model |
|
Karar |
Bu yapıda değişkenlerarası ilişkilerin gösterildiği fonksiyonlara kısıt, kısıtları sağlayan çözümlerin eniyisinin seçimi için kullanıldığı belirtilen fonksiyona amaç fonksiyonu denir. Doğru cevap C'dir.
7.Soru
Simpleks Algoritmasında, “Temelde yer alan bir değişkene karşı gelen katkı vektörü (CB) değiştiğinde Simpleks Tablo’da x0 satırında temel dışı tüm değişkenlere karşı gelen değerler (CB B-1R - CR ) bu durumdan etkilenir. Bu değişiklikler iki türlü olabilir: Parametrenin değerinde belirli bir değişiklik olur ve bu durum analiz edilir veya parametrenin değerinde hangi aralıktaki bir değişim için eldeki çözümün korunacağı (veya değişeceği) belirlenir.” Şeklinde tanımlanan duyarlılık analizi aşağıdakilerden hangisidir?
|
Katkı Parametresindeki Değişime Göre Duyarlılık Analizi |
|
Sağ Taraf Sabitindeki Değişime Göre Duyarlılık Analizi |
|
Teknik Katsayılardaki Değişime Göre Duyarlılık Analizi |
|
Yeni Bir Kısıtın Eklenmesi Yapısal Değişikliğine Göre Duyarlılık Analizi |
|
Yeni Bir Değişkenin Eklenmesi Yapısal Değişikliğine Göre Duyarlılık Analizi |
“Temelde yer alan bir değişkene karşı gelen katkı vektörü (CB) değiştiğinde Simpleks Tablo’da x0 satırında temel dışı tüm değişkenlere karşı gelen değerler (CB B-1R - CR ) bu durumdan etkilenir. Bu değişiklikler iki türlü olabilir: Parametrenin değerinde belirli bir değişiklik olur ve bu durum analiz edilir veya parametrenin değerinde hangi aralıktaki bir değişim için eldeki çözümün korunacağı (veya değişeceği) belirlenir.” Açıklaması katkı parametresinin değişimine göre yapılan duyarlılık analizini tanımlamaktadır.
Bu nedenle doğru yanıt a) seçeneğidir.
8.Soru
7. soruda verilen Simpleks tablosu baz alındığında, X1+X2 ≤ 180 kısıtı modele eklenmek istenirse yeni çözüm hakkında aşağıdaki ifadelerden hangisi doğrudur?
|
Problemin çözümü eniyliğini korur. |
|
Problemin çözümü eniyliğini kaybeder. Problemin tekrar çözülmesi gerekmektedir. |
|
Bu bilgilerle sonuç hakkında kesin bir kanıya varılamaz. |
|
Bu durumda B-1b değerinin sıfırdan büyüklüğü kontrol edilerek ilerlenir. |
|
Bu durumda Cb değerinin sıfırdan büyüklüğü kontrol edilerek ilerlenir. |
Tabloda yer alan X1 ve X2 'nin değerleri yerine konduğunda 64+56 ≤ 180 eşitliği sağlandığından çözüm eniyiliğini korur. Kısıt eklenerek devam edilebilir. Doğru cevap A'dır.
9.Soru
Ulaştırma modelinde bir değişken temele alındığında, temelden hangi değişkenin çıkıp, temeldeki değişkenlerin hangi değerleri alacaklarını kolaylıkla hesaplamak için hangi kavramdan yararlanılır?
|
Yenileme |
|
Yer değiştirme |
|
Sonluluk |
|
Kayıtlama |
|
Döngü |
Ulaştırma modelinde bir değişken temele alındığında, temelden hangi değişkenin çıkıp, temeldeki değişkenlerin hangi değerleri alacaklarını kolaylıkla hesaplamak için döngü kavramından yararlanılır.
10.Soru
Doğrusal hedef programlama modelinin kuruluşunda son adım nedir?
|
Sistem kısıtlarının belirlenmesi |
|
Karar vericilere bağlı olarak gerekli durumlarda hedeflerin önceliklerinin belirlenmesi |
|
Karar vericilere bağlı olarak gerekli durumlarda hedeflerin ağırlıklarının belirlenmesi |
|
Sistem kısıtlarının belirlenmesi |
|
Amaç fonksiyonunun oluşturulması |
Doğrusal hedef programlama modelinin kuruluşunda izleyen adımlar sırasıyla uygulanır:
1. Karar değişkenlerinin ( belirlenmesi. 2. Sistem kısıtlarının belirlenmesi. 3. Belirlenen hedefler doğrultusunda hedef kısıtlarının belirlenmesi. 4. Modelde yer alan tüm değişkenler için negatif olmama kısıtının oluşturulması. 5. Karar vericilere bağlı olarak gerekli durumlarda hedeflerin önceliklerinin belirlenmesi. 6. Karar vericilere bağlı olarak gerekli durumlarda hedeflerin ağırlıklarının belirlenmesi. 7. Amaç fonksiyonunun oluşturulması.
11.Soru
I. Hedeflerin istenilen yönlerini kapsayan alan ile sistem kısıtlarının sağladığı uygun çözüm alanı kesişmiyorsa, hedef kısıtları uygun çözüm alanının dışında kalmayacak şekilde, uygun çözüm alanına doğru yönlendirilirler. Bu işlemin doğal bir sonucu olarak da sapma değişkenleri değer alırlar.
II. Uygun çözüm alanı ile hedef kısıtlarının kesişim noktalarında istenmeyen sapma değişkenlerinin aldığı değerler belirlenir. İstenmeyen sapma değişkenlerinin toplamının en küçük değer aldığı nokta problemin en uygun çözüm noktasıdır.
III. Hedef kısıtları, sistem kısıtlarının oluşturduğu uygun çözüm alanın dışında değer alamazlar. Bu nedenle, hedef kısıtının sapma yönleri belirlenir. İstenmeyen sapma en küçük olacak şekilde hedeflerin istenilen yönlerini kapsayan alan ile uygun çözüm alanının kesişip kesişmediği kontrol edilir. Kesişme varsa kesişim noktalarından hangisi istenmeyen sapmayı en küçüklüyorsa o nokta en iyi çözümü vermektedir.
IV. Problemin modeli kurulur ve tüm kısıt (sistem ve hedef) denklemleri grafik üzerinde çizilir.
Yukarıda hedef programlamanın grafik yöntemle çözümünün adımları karışık olarak verilmiştir. Aşağıdakilerden hangisi doğru adım sırasıdır?
|
IV -> III -> I -> II |
|
IV -> I -> III -> II |
|
IV -> III -> II -> I |
|
IV -> II -> III -> I |
|
IV -> I -> II -> III |
Grafik yöntemi, modeldeki karar değişkeni sayısı iki olduğunda tercih edilen bir yöntemdir. Çözüm aşamasında öncelikle problemin modeli kurulur. Ardından tüm kısıt (sistem ve hedef) denklemleri grafik üzerinde çizilir. Yalnız, hedef kısıtlarını grafik üzerinde gösterirken sapma değişkenlerinin sıfır olduğu varsayılır.
Hedef kısıtları, sistem kısıtlarının oluşturduğu uygun çözüm alanın dışında değer alamazlar. Bu nedenle, öncelikle hedef kısıtının sapma yönleri belirlenir. İstenmeyen sapma en küçük olacak şekilde hedeflerin istenilen yönlerini kapsayan alan ile uygun çözüm alanının kesişip kesişmediği kontrol edilir. Kesişme varsa kesişim noktalarından hangisi istenmeyen sapmayı en küçüklüyorsa o nokta en iyi çözümü vermektedir.
Hedeflerin istenilen yönlerini kapsayan alan ile sistem kısıtlarının sağladığı uygun çözüm alanı kesişmiyorsa, hedef kısıtları uygun çözüm alanının dışında kalmayacak şekilde, uygun çözüm alanına doğru yönlendirilirler. Bu işlemin doğal bir sonucu olarak da sapma değişkenleri değer alırlar.
Grafik yöntemin son aşamasında, uygun çözüm alanı ile hedef kısıtlarının kesişim noktalarında istenmeyen sapma değişkenlerinin aldığı değerler belirlenir. İstenmeyen sapma değişkenlerinin toplamının en küçük değer aldığı nokta problemin en uygun çözüm noktasıdır.
Bu nedenle doğru yanıt a) seçeneğidir.
12.Soru
Yöneylem araştırmasında bilimsel yöntemin ilk aşaması aşağıdakilerden hangisidir?
|
Gözlem yapılması |
|
Hipotez geliştirilmesi |
|
Hipotezin deneylerle sınanması |
|
Genelleme yapılması |
|
Geribildirim verilmesi ve gerekliyse sistem üzerinde geliştirmeler yapılması |
Yöneylem araştırmasında bilimsel yöntemin ilk aşaması gözlem yapılmasıdır.
13.Soru
Aşağıdakilerden hangisi Uygun Çözüm Alanı üzerinde Xj’lere göre, amaç fonksiyonunun maksimum (en büyük) veya minimum (en küçük) değerini aldığı Xj’lere verilen isimdir?
|
Uygun Çözüm |
|
Dışbukey |
|
Uç nokta teoremi |
|
Optimum çözüm seti |
|
Optimum değer |
Uygun Çözüm Alanı üzerinde Xj’lere göre, amaç fonksiyonunun maksimum (en büyük) veya minimum (en küçük) değerini aldığı Xj’lere optimum (en iyi) çözüm seti, amaç fonksiyonuna karşı gelen değerine optimum (en iyi) değer denir.
14.Soru
Karar değişkenlerinin aldıkları değere göre oluşan katkı ve kullanılan kaynak miktarının değişkenin değeri ile doğru orantılı olması doğrusal problemlerin hangi özelliğini gösterir?
|
Belirlilik |
|
Kararlılık |
|
Toplanabilirlik |
|
Oranlılık |
|
Bölünebilirlik |
Karar değişkenlerinin aldıkları değere göre oluşan katkı ve kullanılan kaynak miktarının değişkenin değeri ile doğru orantılı olması doğrusal problemlerin Oranlılık özelliğini gösterir.
15.Soru
Hedef Programlama ile ilgili aşağıda yer alan ifadelerden hangileri doğrudur?
I. Hedef Programlama birden fazla amacı aynı anda gerçekleştirme esasına dayanır.
II. Hedef Programlama, sadece üretim planlama alanında uygulanan bir yöntemdir.
III. Hedef Programlama ile tüm sistem kısıtlarının sağlandığı ve mümkün olduğunca tüm hedeflere ulaşan bir çözüm elde edilir.
IV. Hedef Programlamada belirlenen hedeflerin tam olarak gerçekleşmemesi durumunda hedef değerlerinden istenmeyen yöndeki sapmalar enküçüklenir.
|
Yalnız I ve II |
|
Yalnız II ve IV |
|
I.II.III |
|
I.III.IV |
|
II.III.IV |
Hedef Programlama, üretim planlamadan iş gücü planlamasına, ulaştırmadan finansal planlamaya birçok alanda uygulanan bir yöntemdir. Dolaysıyla II. seçenekte yazılı ifade ‘’ Hedef Programlama, sadece üretim planlama alanında uygulanan bir yöntemdir.’’ yanlıştır. Buna göre doğru cevap D’dir.
16.Soru
Aşağıdakilerden hangisi hedef programlamanın hedeflerindendir?
|
Altına düşmek istenmeyen alt sınırı belirleyen tek taraflı hedef (bu sınırı aşmamak başarıdır). |
|
Üstüne çıkmak istenmeyen üst sınırı belirleyen tek taraflı hedef (bu sınırın altına düşmemek başarıdır). |
|
Her iki tarafta da bir kayıp istenmediğinde belirlenen spesifik hedef (amaç fonksiyonu bu hedefin altında veya üstünde değer alırsa bu bir başarısızlıktır). Bu hedef tam olarak sağlanmalıdır. |
|
Hedefler bir aralık içinde belirlenmek zorundadır |
|
Hedeflerin belirlenmesi sırasında elde edilen verilerin bir önemi yoktur. |
Her iki tarafta da bir kayıp istenmediğinde belirlenen spesifik hedef (amaç fonksiyonu bu hedefin altında veya üstünde değer alırsa bu bir başarısızlıktır). Bu hedef tam olarak sağlanmalıdır.
17.Soru
Bu değerin hesaplanması için, yeni değişkene problemin kısıtlarında karşı gelen katsayıların yani, yeni değişkenin kaynak kullanım
değerlerinin, (..........) ve amaç fonksiyonundaki birim katkısının (.......) bilinmesi gerekmektedir. İfadesinde boş bırakılan yere hangileri gelmelidir?
|
Ayeni-Byeni |
|
Byeni-Cyeni |
|
Ryeni-Byeni |
|
Ayeni-Ryeni |
|
Ryeni-Cyeni |
Bu değerin hesaplanması için, yeni değişkene problemin kısıtlarında karşı gelen katsayıların yani, yeni değişkenin kaynak kullanım değerlerinin, (Ryeni) ve amaç fonksiyonundaki birim katkısının (Cyeni) bilinmesi gerekmektedir. Doğru cevap E'dir.
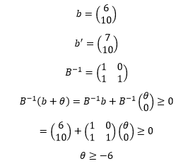
18.Soru
Bir enküçükleme problemi için geliştirilen matematiksel model ve karşı gelen eniyi çözüm tablosu verilmiştir.

Birinci kısıtın sağ taraf sabiti olan 6 değerinde θ kadar değişim olması durumunda yeni
vektöründe θ’nın hangi aralığı için eldeki çözüm korunur?
|
|
|
|
|
|
|
|
|
|
19.Soru
Aşağıda karışık olarak verilen enküçük maliyet yönteminin adımlarının doğru sıralaması hangisidir?
I. İşlem dışı bırakılmamış sadece bir satır veya sütun kaldığında algoritma sonlanır. Kalan miktarlar son satır veya sütundaki uygun yerlere atanır. Aksi halde birinci adıma dönülür.
II. Sıfır değerine karşı gelen satır veya sütundan sadece birisi işlem dışı bırakılarak tablo daraltılır.
III. Tablo genelinde en düşük maliyete sahip olan ve sayısal bir değer atanmamış (i, j) hücresi seçilir. En düşük maliyetli birden fazla hücre varsa, herhangi biri ele alınabilir.
IV. Bu hücreye, i. satırdaki sunum ve j. sütundaki talep değerleri göz önüne alınarak, mümkün olan enbüyük değer atanır.
V. Atanan miktar, i. satırın sunum ve j. sütunun talep değerlerinden çıkarılarak, Si ve dj değerleri güncellenir.
|
III, IV, V, II, I |
|
III, IV, V, II, I |
|
I, II, III, IV, V |
|
V, III, IV, II, I |
|
III, IV, V, I, II |
1. Tablo genelinde en düşük maliyete sahip olan ve sayısal bir değer atanmamış (i, j) hücresi seçilir. En düşük maliyetli birden fazla hücre varsa, herhangi biri ele alınabilir. 2. Bu hücreye, i. satırdaki sunum ve j. sütundaki talep değerleri göz önüne alınarak, mümkün olan enbüyük değer atanır. 3. Atanan miktar, i. satırın sunum ve j. sütunun talep değerlerinden çıkarılarak, Si ve dj değerleri güncellenir. 4. Sıfır değerine karşı gelen satır veya sütundan sadece birisi işlem dışı bırakılarak tablo daraltılır. 5. İşlem dışı b ırakılmamış sadece bir satır veya sütun kaldığında algoritma sonlanır. Kalan miktarlar son satır veya sütundaki uygun yerlere atanır. Aksi halde birinci adıma dönülür. Doğru cevap A seçeneğidir.
20.Soru
Aşağıdaki varsayımlardan hangileri doğrusal programlama yöntemini kısıtlamaktadır?
|
Belirlilik - Doğrusallık |
|
Doğrusallık - Bölünebilirlik |
|
Bölünebilirlik - Belirlilik |
|
Toplanabilirlik - Doğrusallık |
|
Belirlilik - Toplanabilirlik |
Bir modelin doğrusallık ve bölünebilirlik varsayımları, gerçek dünyadaki ilişkileri gözlemlendiğinde bir eksiklik gösterdiği söylenebilir. Denilebilir ki, bu iki varsayım doğrusal programlama yöntemini kısıtlamaktadır. Doğru cevap B'dir.
-
- 1.SORU ÇÖZÜLMEDİ
- 2.SORU ÇÖZÜLMEDİ
- 3.SORU ÇÖZÜLMEDİ
- 4.SORU ÇÖZÜLMEDİ
- 5.SORU ÇÖZÜLMEDİ
- 6.SORU ÇÖZÜLMEDİ
- 7.SORU ÇÖZÜLMEDİ
- 8.SORU ÇÖZÜLMEDİ
- 9.SORU ÇÖZÜLMEDİ
- 10.SORU ÇÖZÜLMEDİ
- 11.SORU ÇÖZÜLMEDİ
- 12.SORU ÇÖZÜLMEDİ
- 13.SORU ÇÖZÜLMEDİ
- 14.SORU ÇÖZÜLMEDİ
- 15.SORU ÇÖZÜLMEDİ
- 16.SORU ÇÖZÜLMEDİ
- 17.SORU ÇÖZÜLMEDİ
- 18.SORU ÇÖZÜLMEDİ
- 19.SORU ÇÖZÜLMEDİ
- 20.SORU ÇÖZÜLMEDİ