Yöneylem Araştırması Final 6. Deneme Sınavı
Toplam 20 Soru1.Soru
Verilen bir problemde, aşağıdaki katkı parametrelerinden hangileri değişebilir?
|
CR - CE |
|
CN - CT |
|
CM - CP |
|
CL - CB |
|
CB - CR |
Verilen bir problemde, katkı parametreleri olan CB veya CR değişebilir.
2.Soru
Başlangıç temel uygun çözümü oluşturmak için en basit ve hızlı olan yöntem hangisidir
|
Enküçük maliyet yöntemi |
|
VAM yöntemi |
|
Kuzeybatı köşe yöntemi |
|
Macar algoritması |
|
Atlama taşı yöntemi |
Başlangıç temel uygun çözümü oluşturmak için en basit ve hızlı olan yöntem Kuzeybatı köşe yöntemidir. Doğru cevap C seçeneğidir.
3.Soru
Asıl ve ikil problemlerin bir eniyi değeri varsa, bu değerler arasındaki ilişki nasılsır?
|
[Enbüyükleme probleminin eniyi değeri] ≤ [Enküçükleme probleminin eniyi değeri] |
|
[Enbüyükleme probleminin eniyi değeri] / [Enküçükleme probleminin eniyi değeri] |
|
[Enbüyükleme probleminin eniyi değeri] x [Enküçükleme probleminin eniyi değeri] |
|
[Enbüyükleme probleminin eniyi değeri] = [Enküçükleme probleminin eniyi değeri] |
|
[Enbüyükleme probleminin eniyi değeri] ≥ [Enküçükleme probleminin eniyi değeri] |
Güçlü ikillik özelliğine göre, asıl veya ikil problemden herhangi birisi sınırlı değerde bir eniyi çözüme sahipse, diğerinin de mutlaka bir eniyi çözümü vardır ve her iki problemin eniyi değerleri birbirine eşittir.
4.Soru
|
16 |
|
20 |
|
28,4 |
|
48 |
|
140 |
Uygun Çözüm Alanu IV. bölge
Doğru cevap C seçeneğidir.
5.Soru
Kitaptaki örnekte verilen sürücü sayısı kaçtır?
|
75 |
|
60 |
|
40 |
|
82 |
|
93 |
Yukarıdaki problemde, işletme, tüm araçların aynı gün kullanılabileceği düşüncesiyle, elinde bulunan toplam 82 sürücünün yeterli olabileceği sayıda tır satın alması gerektiğini farketmiştir.
6.Soru
VAM yöntemi ile başlangıç çözüm bulmada yapılması gereken ilk aşama aşağıdakilerden hangisidir?
|
Tabloyu daraltmak |
|
Ceza puanı en yüksek olan satırı seçmek |
|
Ceza puanı en yüksek olan sütunu seçmek |
|
Tablodaki her satır ve sütun için bir ceza puanı hesaplamak |
|
Boş hücreler içinde en düşük maliyetli olanı belirlemek |
AM yöntemi ile başlangıç çözüm bulmada yapılması gereken ilk aşama, tablodaki her satır ve sütun için bir ceza puanı hesaplamaktır.
7.Soru
Minz=x1+2x2
x1+3x2>=30
3x1>=15
x1,x2>=0 probleminin çözümü sonucu elde edilecek değerler aşağıdakilerden hangisinde verilmiştir?
|
x1=30 x2=0 minz=30 |
|
x1=5 x2=25/3 minz=65/3 |
|
x1=0 x2=5 minz=10 |
|
x1=5/3 x2=10/3 minz=25/3 |
|
x1=4 x2=7/3 minz=26/3 |
x1+3x2=30 doğrusu ele alınırsa x1=0 için 3x2=30 x2=10 (0,10) ve x2=0 için x1=30 (30,0) bulunur. Yani bu doğru apsisi (30,0) ve ordinatı (0,10) noktalarında kesmektedir.
3x1=15 doğrusu için x1=5 (5,0) noktası elde edilir. Yani bu doğru apsisi (5,0) noktasında kesmektedir.
Uygun çözüm alanını bulmak için çizilecek grafik şu şekildedir:
Uygun çözüm alanındaki B noktasını bulmak için iki denklemi taraf tarafa toplayıp x1 ve x2 değerlerini elde etmeye çalışırız. Bunun için ilk denklemde x1 yerine 5 yazıp x2’yi elde etmeye çalışırız. Buradan da x2=25/3 bulunur. Yani B noktası (5,25/3) bulunur.
Amaç en küçükleme olduğu için orjine en yakın noktalarda çözüm araştırılır. Bu nedenle A ve B noktaları için en küçük değer optimum olarak ele alınır.
A(30,0) noktası için minz=x1+2x2= 30+ 2.0= 30
B(5,25/3) noktası için minz=5+ 2. (25/3)=65/3
B(5, 25/3) noktası için bulunan değer en küçük olduğu için bu nokta optimum olarak kabul edilir.
9.Soru
I. Tablodaki her satır ve sütun için bir ceza puanı hesaplanır.
II. Ceza puanı en yüksek olan satır veya sütun seçilir.
III. Bu hücreye, i. satırdaki sunum ve j. sütundaki talep değerleri göz önüne alınarak, mümkün olan enbüyük değer atanır.
IV. Bu satırdaki (veya sütundaki) boş hücreler içinde en düşük maliyetli olan hücresi belirlenir.
V. Sıfır değerine karşı gelen satır veya sütundan sadece birisi işlem dışı bırakılarak tablo daraltılır.
VI. Atanan miktar, i. satırın sunum ve j. sütunun talep değerlerinden çıkarılarak, Si ve dj değerleri güncellenir.
Yukarıdakilere göre VAM yönteminin adımları aşağıdakilerden hangisinde doğru sırayla verilmiştir.
|
I, II, IV, III, VI, V |
|
I, II, III, V, IV, VI |
|
II, I, IV, III, VI, V |
|
II, I, III, IV, VI, V |
|
I, II, III, IV, V, VI |
VAM
yönteminin adımları aşağıdaki şekilde özetlenebilir:
1. Tablodaki her satır ve sütun için bir ceza puanı hesaplanır. Ceza puanı, o satır veya sütunda yer alan boş hücrelerdeki en küçük iki maliyet arasındaki farktır.
2. Ceza puanı en yüksek olan satır veya sütun seçilir. Ceza puanı aynı olan birden fazla satır ve sütun varsa, bunlardan herhangi biri ele alınabilir.
3. Bu satırdaki (veya sütundaki) boş hücreler içinde en düşük maliyetli olan (i, j) hücresi belirlenir.
4. Bu hücreye, i. satırdaki sunum ve j. sütundaki talep değerleri göz önüne alınarak, mümkün olan enbüyük değer atanır.
5. Atanan miktar, i. satırın sunum ve j. sütunun talep değerlerinden çıkarılarak, Si ve dj değerleri güncellenir.
6. Güncellenen Si ve dj değerlerinden en az biri sıfır olacaktır. Sıfır değerine karşı gelen satır veya sütundan sadece birisi işlem dışı bırakılarak tablo daraltılır.
7. İşlem dışı bırakılmamış sadece bir satır veya sütun kaldığında algoritma sonlanır. Kalan miktarlar son satır veya sütundaki uygun yerlere, en küçük maliyet yöntemine göre atanır. Aksi halde eğer altıncı adımda i. satır işlem dışı kaldıysa sütunların, j. sütun işlem dışı kaldıysa satırların ceza puanları yeniden hesaplanır ve ikinci adıma dönülür.
10.Soru
Doğrusal hedef programlama ile doğrusal programlama yöntemleri benzer özelliklere sahip olsa da izleyen noktalardaki farklılıklara sahiptirler. Aşağıdakilerden hangisi bu farklılıklara dair yanlış bir bilgidir?
|
Doğrusal programlamada amaç en iyi çözümü elde etmek iken, doğrusal hedef programlamada amaç mümkün olduğunca en iyi çözümü elde etmektir. |
|
Doğrusal programlama modelinde tek bir amaç eniyilenmeye çalışılır. Doğrusal hedef programlama modelinde ise birden fazla amaç için hedef değerleri belirlenir ve bu hedeflerin |
|
Doğrusal programlama modelindeki sistem kısıtları kesinlikle sağlanması gereken katı kısıtlardır. Doğrusal hedef programlama modelinde sistem kısıtlarının yanı sıra hedef kısıtları yer alır. Hedef kısıtları ise sapmalara izin verilen esnek kısıtlardır. |
|
Doğrusal programlamada amaç fonksiyonu enbüyükleme ya da enküçükleme şeklinde iken, hedef programlamada amaç fonksiyonu sadece enküçükleme şeklindedir. |
|
Doğrusal programlama modelinde amaç fonksiyonunda karar değişkenleri yer almazken,hedef programlama modelindeki amaç fonksiyonunda karar değişkenleri yer alır. |
Doğrusal hedef programlama ile doğrusal programlama yöntemleri benzer özelliklere sahip olsa da izleyen noktalardaki farklılıklara sahiptirler.
1. Doğrusal programlamada amaç en iyi çözümü elde etmek iken, doğrusal hedef programlamada amaç mümkün olduğunca en iyi çözümü elde etmektir.
2. Doğrusal programlama modelinde tek bir amaç eniyilenmeye çalışılır. Doğrusal hedef programlama modelinde ise birden fazla amaç için hedef değerleri belirlenir ve bu hedeflerin
hepsi modele alınır.
3. Doğrusal programlama modelindeki sistem kısıtları kesinlikle sağlanması gereken katı kısıtlardır. Doğrusal hedef programlama modelinde sistem kısıtlarının yanı sıra hedef kısıtları
yer alır. Hedef kısıtları ise sapmalara izin verilen esnek kısıtlardır.
4. Doğrusal programlama modelindeki amaç fonksiyonunda karar değişkenleri yer alırken, hedef programlama modelinde amaç fonksiyonunda karar değişkenleri yer almaz. Hedef programlama modelindeki amaç fonksiyonu negatif ve/veya pozitif sapma değişkenlerinden oluşur.
5. Doğrusal programlamada amaç fonksiyonu enbüyükleme ya da enküçükleme şeklinde iken, hedef programlamada amaç fonksiyonu sadece enküçükleme şeklindedir.
11.Soru
Aşağıdaki kavramlardan hangisi diğerlerinden farklı bir anlam taşımaktadır?
|
Tüketim merkezleri |
|
Sunum noktaları |
|
Hedefler |
|
Talep noktaları |
|
Boşaltım yerleri |
Üretim merkezlerine, kaynaklar, yükleme merkezleri veya sunum noktaları; tüketim merkezlerine de hedefler, talep noktaları veya boşaltım yerleri denilebilmektedir. Doğru yanıt B’dir.
12.Soru
Aşağıdakilerden hangisi doğrusal karar problemlerinin çözümü elde edildikten sonra, modelde meydana gelebilecek, parametrelere bağlı veya yapısal değişiklikler karşısında, eldeki eniyi çözümün bundan nasıl etkileneceğini veya eldeki çözümün koruması için parametrelerin hangi aralıklarda değer almaları gerektiğini bulmak amacıyla yapılan analizlerdir?
|
Simpleks algoritması |
|
Duyarlılık analizleri |
|
Eniyilik analizleri |
|
Uygunluk koşulları |
|
Kaynak vektörü |
Duyarlılık analizleri, doğrusal karar problemlerinin çözümü elde edildikten sonra, modelde meydana gelebilecek, parametrelere bağlı veya yapısal değişiklikler karşısında, eldeki eniyi çözümün bundan nasıl etkileneceğini veya eldeki çözümün koruması için parametrelerin hangi aralıklarda değer almaları gerektiğini bulmak amacıyla yapılan analizlerdir.
13.Soru
Aşağıdakilerden hangisi doğrusal hedef programlama modeli ile uygun bir çözüm elde edebilmek için gerekli olan varsayımlardan biri değildir?
|
Sapabilirlik |
|
oransallık |
|
toplanabilirlik |
|
bölünebilirlik |
|
belirlilik |
Doğrusal hedef programlama modeli ile uygun bir çözüm elde edebilmek için, doğrusal karar
modeli için geçerli olan oransallık, toplanabilirlik, bölünebilirlik ve belirlilik varsayımlarının sağlanması gerekmektedir. Yanı sıra, aşağıda verilen varsayımlar da sağlanmalıdır:
-Negatif olmama varsayımı
-Amaçlara öncelik verilmesi varsayımı
-Amaçların ağırlıklandırılması varsayımı
14.Soru
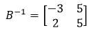
Bir matematiksel modelin en iyi çözümünün elde edildiği simpleks tablo aşağıdaki gibidir. Problem en büyükleme problemidir ve amaç fonksiyonu şu şekildir: Enb X0 = 2X1 + X2
Bu verilere göre x2 'nin katkısı c2=1 yerine c2' =3 olması durumunda, X0 satırında temel dışı değişkenlere karşı gelen yeni katsayılar aşağıdakilerden hangisinde doğru şekilde verilmiştir? (2., 3., 4. ve 5. soruları bu bilgilere göre yanıtlayınız.)
|
(1,5) |
|
(9,4) |
|
(4,9) |
|
(5,1) |
|
(2,12) |
Problemdeki verilere göre yeni CB' (3,2) olacaktır. Amaç fonksiyonu satırındaki temel dışı değişkenlere karşılık gelen katsayıları veren CB'B-1 R - CR formülasyonuda yeni CB' konularak hesaplama yapıldığında bulunan değer (4,9)'dur.
Doğru cevap C'dir.
15.Soru
Parametrelere göre duyarlılık analizi aşağıdakilerden hangisine göre yapılır?
|
Düzenli parametrelere |
|
Sabit parametrelere |
|
Keskin parametrelere |
|
Katkı parametrelerine |
|
Kesin parametrelere |
Parametrelere göre duyarlılık analizi katkı parametrelerine, kaynak vektörüne veya teknik katsayılara göre yapılır
16.Soru
Bir doğrusal modelin grafik çözümünde, karar modelinde yer alan tüm kısıtlayıcılar koordinat sisteminin hangi bölgesine çizilebilir?
|
Yanız I |
|
Yalnız II |
|
I ve II |
|
I ve III |
|
III ve IV |
Karar modelinin tüm kısıtlayıcıları sadece 1. bölgeye çizilir. Bunun sebebi ise karar değişkenlerinin negatif değer alamamasıdır.Doğru cevap A'dır.
17.Soru
Simpleks Algoritması analitik yöntemin temellerini esas alan fakat ___________________ değişkenlerin belirlenmesinden sonra, amaç fonksiyonu değeri iyileşecekse, bir uç noktadan diğerine geçen ardışık bir çözümleme tekniğidir. Aşağıdaki seçeneklerden hangisi verilen boşluğu uygun şekilde doldurmaktadır?
|
Bağımlı ve bağımsız |
|
Farklı ve farklı olmayan |
|
Belli olan ve olmayan |
|
Temel ve temel olmayan |
|
Tek yönlü ve çift yönlü |
Simpleks Algoritması analitik yöntemin temellerini esas alan fakat temel ve temel olmayan değişkenlerin belirlenmesinden sonra, amaç fonksiyonu değeri iyileşecekse, bir uç noktadan diğerine geçen ardışık bir çözümleme tekniğidir.
18.Soru
Atlama Taşı Yöntemi ile Eniyilik Sınamasında aşağıdakilerden hangisi gerçekleştiğinde en iyi çözüme ulaşılmış demektir?
|
Eğer hesaplanan tüm değişim değerleri sıfırdan büyük eşitse |
|
Eğer hesaplanan tüm değişim değerleri negatifse |
|
Eğer hesaplanan tüm değişim değerleri aynıysa |
|
Eğer hesaplanan tüm değişim değerleri birbirinden farklıysa |
|
Eğer hesaplanan değişim değerlerinin bazıları sıfırsa |
Eğer hesaplanan tüm değişim değerleri sıfırdan büyük eşitse Atlama Taşı Yöntemi ile Eniyilik Sınamasında en iyi çözüme ulaşılmış demektir.
19.Soru
Aşağıdakilerden hangisi her iki problemin uygun çözümleri arasındaki ilişkiyi tanımlayan ikillik özelliğidir?
|
zayıf ikillik özelliği |
|
dengeli ikillik özelliği |
|
eş ikillik özelliği |
|
güçlü ikillik özelliği |
|
aylaklığın tamamlayanı özelliği |
Asıl ve ikil problemlerin çözümleri arasındaki ilişkiler üç ana özelliğe bağlı olarak açıklanabilir. Bunlar, her iki problemin uygun çözümleri arasındaki ilişkiyi tanımlayan “zayıf ikillik özelliği”, her iki modelin de eniyi değerlerinin eşit olduğunu belirten “güçlü ikillik özelliği” ve eniyi çözümleri ilişkilendiren “aylaklığın tamamlayanı özelliği” olarak adlandırılmaktadır.
20.Soru
Aşağıdakilerden hangisi her iki modelin de eniyi değerlerinin eşit olduğunu belirten ikillik ilişkisidir?
|
güçlü ikillik özelliği |
|
zayıf ikillik özelliği |
|
dengeli ikillik özelliği |
|
katlı ikillik özelliği |
|
aylaklığın tamamlayanı özelliği |
Asıl ve ikil problemlerin çözümleri arasındaki ilişkiler üç ana özelliğe bağlı olarak açıklanabilir. Bunlar, her iki problemin uygun çözümleri arasındaki ilişkiyi tanımlayan “zayıf ikillik özelliği”, her iki modelin de eniyi değerlerinin eşit olduğunu belirten “güçlü ikillik özelliği” ve eniyi çözümleri ilişkilendiren “aylaklığın tamamlayanı özelliği” olarak adlandırılmaktadır.
-
- 1.SORU ÇÖZÜLMEDİ
- 2.SORU ÇÖZÜLMEDİ
- 3.SORU ÇÖZÜLMEDİ
- 4.SORU ÇÖZÜLMEDİ
- 5.SORU ÇÖZÜLMEDİ
- 6.SORU ÇÖZÜLMEDİ
- 7.SORU ÇÖZÜLMEDİ
- 8.SORU ÇÖZÜLMEDİ
- 9.SORU ÇÖZÜLMEDİ
- 10.SORU ÇÖZÜLMEDİ
- 11.SORU ÇÖZÜLMEDİ
- 12.SORU ÇÖZÜLMEDİ
- 13.SORU ÇÖZÜLMEDİ
- 14.SORU ÇÖZÜLMEDİ
- 15.SORU ÇÖZÜLMEDİ
- 16.SORU ÇÖZÜLMEDİ
- 17.SORU ÇÖZÜLMEDİ
- 18.SORU ÇÖZÜLMEDİ
- 19.SORU ÇÖZÜLMEDİ
- 20.SORU ÇÖZÜLMEDİ