Yöneylem Araştırması Final 8. Deneme Sınavı
Toplam 20 Soru1.Soru
"Verilen problem enküçükleme olursa temelde yer almayan değişkenler içerisinde amaç fonksiyonu satırındaki katsayısı __________ olan değişken amaç fonksiyonu değerini azaltacağından, temele alınmalıdır." Verilen boşluğu doğru şekilde tamamlayan seçenek aşağıdakilerden hangisidir?
"Verilen problem enküçükleme olursa temelde yer almayan değişkenler içerisinde amaç fonksiyonu satırındaki katsayısı __________ olan değişken amaç fonksiyonu değerini azaltacağından, temele alınmalıdır." Verilen boşluğu doğru şekilde tamamlayan seçenek aşağıdakilerden hangisidir?
|
Büyük |
|
Küçük |
|
Belirli |
|
Negatif |
|
Pozitif |
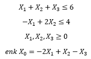
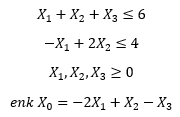
Verilen problem enküçükleme olursa temelde yer almayan değişkenler içerisinde amaç fonksiyonu satırındaki katsayısı negatif değil pozitif olan değişken amaç fonksiyonu değerini azaltacağından, temele alınmalıdır.
2.Soru
Enbüyükleme amaçlı ve dört kısıtlı bir doğrusal karar modelinin, eniyi değeri 1000, kısıtlara karşı gelen ikil değişkenlerin eniyi değerleri de y1= ‒400, y2= 0, y3= 200 ve y4= 16 olarak bulunmuştur. Birinci kısıtın sağ taraf sabitinin değeri mevcut durumda 3.5 iken, uygunluk koşullarının korunduğu varsayımı ile 3.55 olması durumunda eniyi değer ne olur?
Enbüyükleme amaçlı ve dört kısıtlı bir doğrusal karar modelinin, eniyi değeri 1000, kısıtlara karşı gelen ikil değişkenlerin eniyi değerleri de y1= ‒400, y2= 0, y3= 200 ve y4= 16 olarak bulunmuştur. Birinci kısıtın sağ taraf sabitinin değeri mevcut durumda 3.5 iken, uygunluk koşullarının korunduğu varsayımı ile 3.55 olması durumunda eniyi değer ne olur?
|
980 |
|
1000 |
|
1080 |
|
1100 |
|
1400 |
Enbüyükleme amaçlı ve dört kısıtlı bir doğrusal karar modelinin, eniyi değeri 1000, kısıtlara karşı gelen ikil değişkenlerin eniyi değerleri de y1= ‒400, y2= 0, y3= 200 ve y4= 16 olarak bulunmuştur. Birinci kısıtın sağ taraf sabitinin değeri mevcut durumda 3.5 iken, uygunluk koşullarının korunduğu varsayımı ile 3.55 olması durumunda eniyi değer 980 olur.
3.Soru
Değişkenin durumuna göre ya temele alınması gerektiği sonucuna varılır ya da daha iyi bir amaç fonksiyonu değerine ulaşılamayacaksa bu değişken temel dışında kalmaya devam eder. Bu ifadeye göre bu durum eldeki çözümün hangisi olduğunu gösterir?
|
Enkötü |
|
Enyeni |
|
Enson |
|
Eniyi |
|
Endoğal |
Değişkenin durumuna göre ya temele alınması gerektiği sonucuna varılır ya da daha iyi bir amaç fonksiyonu değerine ulaşılamayacaksa bu
değişken temel dışında kalmaya devam eder. Bu durum eldeki çözümün eniyi çözüm olarak kalması halidir. Doğru cevap D'dir.
4.Soru
Karar sürecinin son aşaması aşağıdakilerden hangisidir?
|
Problemi belirleme |
|
Seçenekleri türetme |
|
Model geliştirme |
|
Modeli geliştirme |
|
En iyi seçeneği bulma |
Karar süreci; problemi belirleme, seçenekleri türetme ve en iyi seçeneği bulma adımlarından oluşur. Bir problem olup olmadığı, problemin çözümü için birden fazla seçeneğin olması durumunda ortaya çıkar. Öte yandan çoğu durumda seçenekleri belirlemek de oldukça zordur. Böyle durumlarda problemin gereklilikleri ve değişkenler arası ilişkilerin matematiksel fonksiyonlarla ifade edildiği; bulunan çözümlerden hangisinin seçileceği kararının ise bir başka fonksiyonda yine bu seçenek çözümlerin aldığı değerler ile belirlenir.
5.Soru
Doğrusal programlama modelinde kısıtlayıcıların belirlenmesi ile ilgili aşağıdaki ifadelerden hangisi doğrudur?
|
Kısıtlayıcılar altında amaç fonksiyonu sağlayan ürünler üretilemez |
|
Kısıtlayıcılardaki karar değişkenlerinin katsayıları, farklı ürünlerin üretiminde kullanılan teknolojiyi yansıtamaz |
|
Kısıtlayıcılardaki kaynak miktarları kısıtlayıcı fonksiyonuna göre her zaman sınırlıdır |
|
Kısıtlayıcı denklemler, her zaman “=” eşitlik şeklinde olur |
|
Kısıtlayıcıların sağ taraf sabitlerini oluşturan bi’ler elverişli kaynak miktarını gösterir |
Kısıtlayıcılar altında amaç fonksiyonu sağlayan ürünler üretilebilir. Kısıtlayıcılardaki karar değişkenlerinin katsayıları, farklı ürünlerin üretiminde kullanılan teknolojiyi yansıtır. Kısıtlayıcılardaki kaynak miktarları kısıtlayıcı fonksiyonuna göre her zaman sınırlı olmaz. Kısıtlayıcı denklemler, “=” eşitlik şeklinde olabileceği gibi, eşitsizlik şeklinde de olabilir. Kısıtlayıcıların sağ taraf sabitlerini oluşturan bi’ler elverişli kaynak miktarını gösterir. Doğru cevap E'dir.
6.Soru
Aşağıdakilerden hangisi Hedef Programlamada kullanılan temel kavramlar arasında yer almaz?
|
Amaç |
|
Hedef |
|
Araç Fonksiyonu |
|
Sapma Değişkenleri |
|
Kısıtlar |
Hedef Programlamada kullanılan temel kavramlar: Amaç, hedef, kısıtlar, sapma değişkenleri, başarı fonksiyonları ve amaç fonksiyonudur. Araç fonksiyonu temel kavramlar arasında yer almaz ve yanlıştır. Buna göre doğru cevap C’dir.
7.Soru
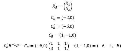
Bir enküçükleme problemi için geliştirilen matematiksel model ve karşı gelen eniyi çözüm tablosu verilmiştir.

X1’in amaç fonksiyonuna katkısının -5 olması durumunda S1 değişkenine amaç fonksiyonu satırında karşı gelen değer kaç olur?
|
6 |
|
4 |
|
-5 |
|
-6 |
|
-4 |
8.Soru
Bir problemde, sağ taraf sabitleri vektörü, b, değişebilir. Bu durumda Simpleks Tablo’da aşağıdakilerden hangisi etkilenir?
Bir problemde, sağ taraf sabitleri vektörü, b, değişebilir. Bu durumda Simpleks Tablo’da aşağıdakilerden hangisi etkilenir?
|
b |
|
b1 |
|
B-1b |
|
B1 |
|
B2 |
Bir problemde, sağ taraf sabitleri vektörü, b, değişebilir. Bu durumda Simpleks Tablo’da karar değişkenlerinin değerlerini gösteren B-1b vektörü etkilenir.
9.Soru
Yöneylem araştırmasında problemin çözümü için en önemli aşama aşağıdakilerden hangisidir?
|
Gerekli verilerin elde edilmesi ve sistemin analiz edilmesi |
|
Modelin geliştirilmesi |
|
Modelin uygulanması ve karar |
|
Problemin belirlenmesi |
|
Modelden çözüm elde edilmesi, modelin geçerliliğinin sınanması |
Yöneylem Araştırması, problemleri, disiplinlerarası bir ekiple, bilimsel bir yöntemi izleyerek ve sistemi bütünüyle ele alarak çözer. Bu temel özellikleri kullanan, aynı zamanda Yöneylem Araştırması Yaklaşımı da denen problem çözme aşamaları aşağıdaki gibi özetlenebilir:
- Problemin belirlenmesi
- Gerekli verilerin elde edilmesi ve sistemin analiz edilmesi
- Modelin geliştirilmesi
- Modelden çözüm elde edilmesi, modelin geçerliliğinin sınanması
- Modelin uygulanması ve karar.
Problemin varlığının ortaya konması ve doğru tanımlanması, çözüm sürecinde en önemli aşamadır. Daha sonra ise problemin girdisi olabilecek ve yaşandığı sistemden türetilebilecek verilerin, gerektiği ölçüde ve güncel bir biçimde elde edilmesi gerekir. Hangi tür verilere ihtiyaç duyulduğu, ilgili sistemin ayrıntılı analizi ile ortaya çıkabilir. Bunu izleyen aşama, problemin çözümü için gereken uygun modelin geliştirilmesidir. Yaklaşımın diğer aşamalarında ise, geliştirilen modelin geçerliliğinin sınanması ve uygulanması adımları yer alır. Doğru yanıt D’dir.
10.Soru
Belirlenen amaç için başarmak istenilen kesin ifade aşağıdakilerden hangisidir?
|
Amaç |
|
Kısıt |
|
Hedef |
|
Sapma değişkeni |
|
Başarı fonksiyonu |
Hedef: Belirlenen amaç için başarmak istenilen kesin ifadedir. Bir başka deyişle, istenilen seviye ile belirlenmiş bir amaçtır
11.Soru
Eğer bir ulaştırma modelinin toplam sunum miktarı toplam talep miktarına eşit ise ne olarak adlandırılır?
|
Dengelenmiş ulaştırma modeli |
|
Ayarlanmış ulaştırma modeli |
|
Sabitlenmiş ulaştırma modeli |
|
Ölçülü ulaştırma modeli |
|
Sabit ulaştırma modeli |
Eğer bir ulaştırma modelinin toplam sunum miktarı toplam talep miktarına eşit ise dengelenmiş ulaştırma modeli olarak adlandırılır.
12.Soru
I. Amaç fonksiyonu değerinin, uygun çözüm alanı üzerinde istenen yönde sonlu olmaması,
II. Kısıtların grafiği çizildiğinde uygun çözüm alanının oluşmaması,
III. Amaç fonksiyonunun optimum değerini uygun çözüm alanının iki ayrı noktasında alması.
Yukarıdaki ifadelerden hangisinin olması durumunda modelin seçenekli optimal çözümünün varlığından söz edilebilir?
|
Yalnız I |
|
Yalnız II |
|
Yalnız III |
|
I ve II |
|
II ve III |
I. ifade sınırsız çözüm ve II. ifade uygun çözüm alanının boş olduğu durumlardır. Seçenekli optimal çözüm ise amaç fonksiyonunun optimum değerini uygun çözüm alanının iki ayrı noktasında almasıdır.
13.Soru
Aşağıdakilerden hangisi atama modeline göre problemin temel kısıtlarından biridir?
|
Her iş iki işlem noktasına birden atanabilir. |
|
Her iş yalnız bir işlem noktasına atanabilir. |
|
Her işlem noktasına iki iş atanabilir. |
|
Her işlem noktasına birkaç iş atanabilir. |
|
Her iş birkaç işlem noktasına atanabilir. |
Problemin oluştuğu sistemin özel yapısının gerektirdiği kısıtlar dışında, problemin iki temel kısıtı vardır:
1. Her iş yalnız bir işlem noktasına atanabilir.
2. Her işlem noktasına yalnız bir iş atanabilir.
14.Soru
Aşağıda bir enbüyükleme problemi için geliştirilen matematiksel model ve karşı gelen eniyi çözüm tablosu verilmektedir.
Yukarıdaki probleme 5x1 + 6x2 ? b3 kısıtı eklenmiş olsun. Eniyi çözümün korunması için b3 değerinin en az ne olması gerekir?
|
480 |
|
360 |
|
240 |
|
180 |
|
120 |
15.Soru
Aşağıdaki seçeneklerden hangisi Simpleks Algoritması için kullanılan duyarlılık analizi yöntemlerinden biri değildir?
|
Değişkenlerin Pozitif Olma Koşuluna Göre Duyarlılık Analizi |
|
Katkı Parametresindeki Değişime Göre Duyarlılık Analizi |
|
Sağ Taraf Sabitindeki Değişime Göre Duyarlılık Analizi |
|
Teknik Katsayılardaki Değişime Göre Duyarlılık Analizi |
|
Yapısal Değişiklere Göre Duyarlılık Analizi |
Bilindiği gibi Simpleks Algoritması, bir temel uygun çözüm (değişkenlerin sıfır veya sıfırdan büyük değer aldığı) ile başlar ve bu çözüm eniyilik koşullarını sağlamıyorsa izleyen çözümün de temel uygun çözüm olmasını sağlayacak yapıdadır. Bu gereklilik ise uygunluk koşulu olarak adlandırılır. Bir başka ifadeyle uygunluk koşulu için de B-1b vektörünün değeri dikkate alınır.
Yukarıdaki açıklamalar ışığında, bir doğrusal karar modelinin eniyi çözümü elde edildikten sonra, amaç fonksiyonunda veya kısıtlarda değişkenlere karşı gelen katsayılarda (C veya R vektörlerinde) olabilecek değişikliklerden, eniyilik koşulları etkilenir. Modelin kısıtlarında yer alan sağ taraf sabitlerinde yani kaynak vektöründe (b) değişiklik olması durumundan ise uygunluk koşulları etkilenir.
Bu durumlarda duyarlılık analizi yapmak; bir parametrenin yeni değeri için eniyilik veya uygunluk koşullarının hala sağlanıp sağlanmadığını değerlendirmektir. Bazı durumlarda da duyarlılık analizi, eldeki çözümün, ilgilenilen parametrenin değerinde hangi aralıklarda bir değişim olması halinde korunacağını bulmak şeklinde de olabilir.
Ek olarak, parametrelerde bir değişiklik olmamakla birlikte, modele, yeni bir kısıt veya yeni bir değişken eklemek gibi yapısal değişikliklerle de karşılaşılabilir. Yeni kısıt eklendiğinde bu kısıtın eldeki çözümle sağlanıp sağlanmadığı, yeni değişken eklendiğinde ise, bu değişkenin temele girmeye aday veya eniyilik koşullarını koruyarak temel dışında kalacak bir değişken olma durumlarından hangisine uyduğu araştırılır.
Diğer taraftan değişkenler her durumda pozitif değer almak zorunda oldukları için, bu duruma göre bir duyarlılık analizi yöntemi bulunmamaktadır.
Bu nedenle doğru yanıt a) seçeneğidir.
16.Soru
Teknik katsayıların değerlerindeki değişim, aşağıdaki hangi değişkenler ile de analiz edilebilir?
|
Dengeli |
|
Düzenli |
|
Sabit |
|
Single |
|
Dual |
Teknik katsayıların değerlerindeki değişim, ikil (dual) değişkenler ile de analiz edilebilir.
17.Soru
Aşağıda bir problemin doğrusal programlama ile ifade edilmiş şekli yer almaktadır. Bu modele göre, aşağıda verilen ifadelerden hangisi yanlıştır?
|
Amaç fonksiyonu en büyüklenmek istenmektedir. |
|
Modelde 4 adet karar değişkeni yer almaktadır. |
|
İşaret kısıtlaması ile tüm karar değişkenlerinin negatif değer alması engellenmiştir. |
|
Modeldeki kısıtların kaynak miktarları sırasıyla; 250, 150 ve 400'dür. |
|
Model 5 kısıttan oluşmaktadır. |
Doğrusal programlama ile verilen ifadelerden A,B,C,D şıklarındaki ifadeler doğrudur. Ancak modelde, işaret kısıtlaması haricinde, 3 satır kısıt bulunmaktadır. Doğru cevap E'dir.
18.Soru
Buzdolabı fabrikasının deposunda stok alanı 2200 metrekaredir. Fabrikada üretilen üç farklı boyutta buzdolabından; büyük boyun 4 metrekare, orta boyun 3,5 metrekare ve küçük boyun 3 metrekare stok alanına ihtiyacı vardır. Söz konusu depo için fabrikanın stok kısıtı nedir?
|
|
|
|
|
|
|
|
|
|
Depo kısıtı, sınırlı alanda depolanacak ürün miktarını gösteren kısıt;
şeklinde yazılır.
19.Soru
Soru 4'deki değişiklik durumunda(c1'=-1 olması durumu), problemin en iyilik koşulları hakkında aşağıdaki ifadelerden hangisi söylenebilir?
|
Bulunan her iki değer de pozitif olduğu için problemin en iyiliği değişmez. |
|
Bulunan her iki değer de negatif olduğu için problemin en iyiliği değişmez. |
|
Bulunan bir değer negatif olduğu ve problem en büyükleme problemi olduğu için eniyilik durumu değişir. |
|
Bulunan bir değer pozitif olduğu ve problem en büyükleme problemi olduğu için eniyilik durumu değişir. |
|
Problemin eniyiliği hakkında bir yargıya varılamaz. |
Bulunan yeni katsayılar (3,-2)'dir. Problem en büyükleme problemi olduğu için amaç fonksiyonu satırında bulunan değişken katsayılarının 0 ya da 0'dan büyük olması istenir. -3 değeri bu durumu bozduğu için problemin eniyilik durumu bozulmuştur. Doğru cevap C'dir.
20.Soru
Bir enküçükleme problemi için geliştirilen matematiksel model ve karşı gelen eniyi çözüm tablosu verilmiştir.

X2’nin amaç fonksiyonuna katkısının 3 olması durumunda bu değişkene amaç fonksiyonu satırında karşı gelen değer kaç olur?
|
-2 |
|
-5 |
|
-1 |
|
5 |
|
2 |
-
- 1.SORU ÇÖZÜLMEDİ
- 2.SORU ÇÖZÜLMEDİ
- 3.SORU ÇÖZÜLMEDİ
- 4.SORU ÇÖZÜLMEDİ
- 5.SORU ÇÖZÜLMEDİ
- 6.SORU ÇÖZÜLMEDİ
- 7.SORU ÇÖZÜLMEDİ
- 8.SORU ÇÖZÜLMEDİ
- 9.SORU ÇÖZÜLMEDİ
- 10.SORU ÇÖZÜLMEDİ
- 11.SORU ÇÖZÜLMEDİ
- 12.SORU ÇÖZÜLMEDİ
- 13.SORU ÇÖZÜLMEDİ
- 14.SORU ÇÖZÜLMEDİ
- 15.SORU ÇÖZÜLMEDİ
- 16.SORU ÇÖZÜLMEDİ
- 17.SORU ÇÖZÜLMEDİ
- 18.SORU ÇÖZÜLMEDİ
- 19.SORU ÇÖZÜLMEDİ
- 20.SORU ÇÖZÜLMEDİ