Coğrafi Bilgi Sistemleri İçin Temel Geometri Ara 2. Deneme Sınavı
Toplam 15 Soru1.Soru
olmak üzere,
ve
ise
|
|
|
|
|
|
|
|
|
|
den
Bu eşitlikten, dir.
2.Soru
olarak veriliyor. Buna göre A, B ve C'nin büyükten küçüğe doğru sıralanışı aşağıdakilerden hangisidir?
|
A > B > C |
|
A > C > B |
|
B > A > C |
|
B > C > A |
|
C > B > A |
Birinci bölgede birbirini 90 dereceye tamamlayan açıların sinüsü kosinüsü birbirine eşittir. Bu nedenle;
olacaktır. Dolayısıyla
olduğundan B > A olacaktır.
olup sinüs fonksiyonu en büyük değerini 90 derecede aldığından
olacaktır. Dolayısıyla A, B ve C'nin büyükten küçüğe sıralanışı A > B > C olup Doğru Cevap A seçeneğidir.
3.Soru
Bir daire çevresinin 400’de 1’ini gören merkez açısının ölçüsü aşağıdakilerden hangisidir?
|
poligon |
|
iç bölge |
|
grad |
|
radyan |
|
saniye |
Bir daire çevresinin 400’de 1’ini gören merkez açısının ölçüsüne “1 grad” denir.
4.Soru
Şekilde O merkezli çemberin çapıdır.
ise
|
42
|
|
52
|
|
62
|
|
72 |
|
102 |
O merkezli çemberde çapı gören çevre açının ölçüsü dir.
.
den
olarak bulunur.
5.Soru
120° derece kaç radyan eder?
|
π/2 |
|
π |
|
2π/3 |
|
3π/4 |
|
2π |
O merkezli çember 360 eş parçaya böldüğümüzde 360 eş yay elde ederiz. Her bir yaya karşılık gelen parçayı gören merkez açının ölçüsüne “1 derece” denir. 1° derece biçiminde gösterlr. Bir daire çevresinin 400’de 1’ini gören merkez açısının ölçüsüne “1 grad” denir. Yarıçap uzunluğundaki çember yayını gören merkez açının ölçüsüne “1 radyan” denir. Aynı açının derece cinsinden ölçüsü D, radyan cinsinden ölçüsü R olarak ifade edlecek olursa, D/180° = G/200 = R/π
120°/180° = R/π => 2/3 = R/π => R= 2π/3
6.Soru
Şekilde yer alan A noktasına ne ad verilir?
|
Bitiş Noktası |
|
Doğrultu |
|
Eğim başlangıcı |
|
Başlangıç noktası |
|
Doğrultu |
7.Soru
Aşağıdaki şekillerden hangisinde “Tam Açı” doğru olarak gösterilmiştir?
|
|
|
|
|
|
|
|
|
|
Açılar ölçülerine göre gruplandırılırlar. Ölçüsü 180˚ olan açıya doğru açı denir. Ölçüsü 360˚ olan açıya tam açı denir. Ölçüsü 0˚ ile 90˚ arasında olan bir açıya dar açı, ölçüsü 90˚ olan açıya dik açı ve ölçüsü 90˚ ile 180˚ olan açıya da geniş açı denir.
Doğru cevap A’dır.
8.Soru
Aşağıdaki verilere göre, z kaç derecedir?
|
25° |
|
35° |
|
45° |
|
55° |
|
65° |
x=z
x+y=180
x+135=180 => x=45
9.Soru
a = sin (3 x / 8) ; x = (14 π / 3) iken a = ?
|
-1 |
|
1 |
|
-1 / (2)1/2 |
|
1 / (2)1/2 |
|
0 |
a = sin (7 π / 4) = sin 315 = -1 / (2)1/2 . pg. 33. Doğru cevap C'dir.
10.Soru
Bir çokgenin iç açılarından en az birinin ölçüsü kaç dereceden büyük ise bu çokgen iç bükey (konkav) kabul edilir?
|
270 |
|
180 |
|
120 |
|
90 |
|
60 |
Bir çokgenin iç açılarından en az birinin ölçüsü 180°’den büyük ise, bu çokgen iç bükey (konkav), tüm iç açıları 180°’den küçük ise bu çokgen dış bükey (konveks) çokgendir. Doğru cevap B’dir.
11.Soru
Uzunluğu ve genişliği her yönde sınırsız olarak genişletilebilen ve kalınlığı olmayan noktalar kümesine ne ad verilir?
|
Düzlem |
|
Işın |
|
Yarı doğru |
|
Uzay |
|
Küme |
Düzlem
Uzunluğu ve genişliği her yönde sınırsız olarak genişletilebilen yüzeylerdir. Kalınlığı olmayan noktalar kümesi olarak da ifade edilebilir. Düzlem olarak paralelkenarsal bölge modeli kullanılır.
12.Soru
Aşağıdakilerden hangisi diğerlerini kapsar?
|
Nokta |
|
Doğru |
|
Işın |
|
Düzlem |
|
Açı |
Düzlem : Uzunluğu ve genişliği her yönde sınırsız olarak genişletilebilen yüzeylerdir.
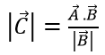
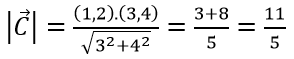
13.Soru
vektörünün
vektörü doğrultusundaki dik izdüşüm vektörünün uzunluğu aşağıdakilerden hangisidir?
|
11 |
|
6 |
|
|
|
|
|
|
Bu vektöre dersek,
elde edilir. Böylece,
olur.
14.Soru
Aşağıdakilerden hangisi dik üçgenlerin kenar uzunlukları ve bu uzunluklar arasındaki oranlara ait hesaplamaları ifade eder?
|
Açı |
|
İntegral |
|
Trigonometri |
|
Türev |
|
Geometri |
Trigonometri, kelime kökeni olarak Yunanca üçgen anlamına gelen trigonas ile ölçü anlamına gelen metron kelimelerinin birleşimidir. Dik üçgenlerin kenar uzunlukları ve bu
uzunluklar arasındaki oranlara ait hesaplamalarla ilgilidir.
15.Soru
ifadesinin değeri aşağıdakilerden hangisidir?
|
|
|
|
|
|
|
|
|
|
Dolayısıyla Doğru Cevap D seçeneği olur.