Coğrafi Bilgi Sistemleri İçin Temel Matematik Ara 15. Deneme Sınavı
Toplam 18 Soru1.Soru
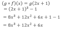
f(x)=2 x+1 ve g(x)=x3-1 olduğuna göre (g∘f)(x) fonksiyonu aşağıdakilerden hangisidir?
|
(g∘f)(x)=2x3+24x2+6x |
|
(g∘f)(x)=8x3+12x2+6x |
|
(g∘f)(x)=2x3+12x2+6x |
|
(g∘f)(x)=8x3+12x2+6x+ 2 |
|
(g∘f)(x)=8x3+24x2+6x+1 |
2.Soru
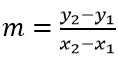
Aşağıdaki doğrulardan hangisi (1,-1) ve (3,4) noktalarından geçen doğrunun denklemidir?
|
y=3x-5 |
|
y=3x+2 |
|
2y=5x-7 |
|
2y=3x+1 |
|
3y=2x+1 |
Düzlemde iki noktası (x1 , y1 ) ve (x2,y2 ) bilinen doğru denklemi,
Olmak üzere
y-y1=m(x-x1 )
dir. Buna göre
2y+2=5x-5
2y=5x-7
olarak elde edilir.
3.Soru
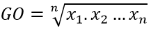
3,9,12,36 sayılarının geometrik ortalaması aşağıdakilerden hangisidir?
|
108 |
|
112 |
|
144 |
|
180 |
|
200 |
x1 ,x2 ,...,xn olmak üzere n tane sayının geometrik ortalaması
şeklinde bulunur. Bu durumda verilen sayıların geometrik ortalaması
elde edilir.
4.Soru
f(x)=cosx, g(x)=sinx olduğuna göre f(60o)+g(180o) kaçtır?
|
-1/2 |
|
-1/3 |
|
0 |
|
1/3 |
|
1/2 |
f(60o)+g(180o) = cos(60o) + sin (180o) = 1/2 + 0 = 1/2
5.Soru
vektörü verilsin. Bu durumda
vektörü aşağıdakilerden hangisidir?
|
|
|
|
|
|
|
|
|
|
vektörünü hesaplamak için a ’nın bütün bileşenlerini
ile çarpılması gerekmektedir. Buradan hareketle
olur.
6.Soru
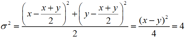
Toplamları 2, varyansları 4 olan iki sayının çarpımları kaçtır?
|
-1 |
|
-3 |
|
-5 |
|
2 |
|
1 |
Belirtilen sayılar x ve y olsun. Buna göre varyans formülünden ve (x-y)2 =16
Buradan olarak bulunmaktadır. x+y =2 olduğundan x=3 ,y=-1 veya x=-1,y=3 olarak bulunmaktadır. Her iki durumda da xy= -3 olarak hesaplanmaktadır.
7.Soru
{1,2,…,100} kümesinin bir alt kümesi rastgele seçildiğinde bu alt kümenin en büyük elemanının 50 olma olasılığı nedir?
|
|
|
|
|
|
|
|
|
|
{1,2,…,100} kümesi 100 elemanlı olduğundan 2100 tane alt kümesi vardır. Yani, örnek uzayın eleman sayısı 2100 olur. {1,2,…,49} kümesinin her alt kümesine 50 eklenecek olursa, {1,2,…,100} kümesinin en büyük elemanı 50 olan tüm alt kümeleri elde edilmiş olur. Bir başka ifadeyle, {1,2,…,100} kümesinin en büyük elemanı 50 olan alt kümelerinin sayısı, {1,2,…,49} kümesinin alt kümelerinin sayısına eşittir. Bu sayı da 249 olduğundan istenen cevap olur.
8.Soru
f(x)=x2+3x+2 ve g(x)=x+2 olsun. Buna göre aşağıdaki eşitliklerden hangisi yanlıştır?
|
(f+g)(x)=x2 + 4x +x |
|
(f-g)(x) =x2 + 2x |
|
(fg)(x) = x3+5x2+8x+4 |
|
(f/g)(x) =x+2 |
|
(gof)(x)=x2+3x+4 |
Fonksiyonlarda dört işlem ve bileşke fonksiyon özellikleri ele alındığında
olduğu görülebilmektedir. Diğer şıklarda verilen eşitlikler ise doğrudur.
9.Soru
Orijinden geçen aşağıdaki doğruların hangisinin eğim açısı
’dir?
|
|
|
|
|
x - y =0 |
|
x+ y =0 |
|
|
Eğim açısı olan bir doğrunun eğimi
olarak hesaplanmaktadır. Orijinden geçen ve eğimi m olan doğrunun denklemi ise mx - y = 0 şeklinde yazılabilmektedir. Buna göre; Doğru cevap A'dır.
10.Soru
4 kız ve 6 erkek öğrencinin bulunduğu bir gruptan 2 temsilci seçiliyor. Bu temsilcilerden ilk seçilen öğrencinin kız, kalan öğrencilerden ikinci seçilen öğrencinin erkek olma olasılığı nedir?
|
|
|
|
|
|
|
|
|
|
Birinci öğrencinin kız olma olasılığı 4/10 ’dur. İkinci öğrencinin seçiminde 3 kız 6 erkek öğrenci arasın-dan erkek öğrencinin seçilme olasılığı 6/9 ’dur. Bağımsız olaylar için çarpma kuralı gereği bileşik olasılık 4/15 olmaktadır.
11.Soru
fonksiyonunun tanımlı olduğu aralık aşağıdakilerden hangisidir?
|
|
|
|
|
|
|
|
Sin (x) fonksiyonunun tanım aralığı;
biçiminde ifade edilir.
fonksiyonunun tanım aralığı ise Sin (x) fonksiyonunun tanım aralığı kullanılarak;
olarak bulunur. Dolayısıyla Doğru Cevap D seçeneği olur.
12.Soru
Bir yüzme takımındaki öğrencilerin yaşları sorulduğunda 11,13,14,12,15,12,13,12,11,15,12,16,12 olarak cevaplar alınmıştır. Bu yüzme takımın yaşlarına bakıldığında Medyan değeri kaç tır ?
|
11 |
|
12 |
|
13 |
|
14 |
|
15 |
Medyan: Medyan(ortanca), bir popülasyondaki veri serisi sayısal büyüklük olarak sıralandığında ortadaki sayıdır.
11,11,12,12,12,12,12,13,13,14,15,15,16
Medyantek sayı= (popülasyondaki eleman sayısı+1)/2
Bu formülü yukarıdaki örneğe uygulayacak olursak Medyantek sayı= (13+4)/2 = 7. Eleman Medyan değeridir.Sırasıyla sayıldığında 7. Elemanın 12 olduğu görülür.
13.Soru
işleminin sonucu kaçtır?
|
20 |
|
19 |
|
16 |
|
24 |
|
12 |
olduğuna göre 10+6+3=19 bulunur.
14.Soru
5. Aşağıdakilerden hangisi ya da hangileri bir olasılık değeri olabilir.
I 0,23
II -0,12
III 1,21
IV 0,83
V 0
|
II |
|
I-II-IV |
|
II-V |
|
I-IV |
|
I-IV-V |
Bir sayının olasılık olarak adlandırılabilmesi için 0 ≤ P(A) ≤ 1 aralığında olması gerekir.
15.Soru
2x-7y+5=0 doğrusu ile 3x+ky-4=0 doğrusunun birbirine dik olması için k ne olmalıdır ?
|
3/4 |
|
5/6 |
|
6/7 |
|
7/8 |
|
8/9 |
2x-7y+5=0 doğrusunun eğimi y= 2/7
ile 3x+ky-4=0 doğrusunun eğimi y= (-3)/k
İki doğrunun birbirine dik olabilmesi için eğimleri çarpımı -1 olmalıdır.
m1.m2=-1 2/7 . (-3)/k =-1 ise k= 6/7 olarak bulunur.
16.Soru
f(x)=x+1 ve ise (fog)(4)+(gof)(8) kaçtır?
|
4 |
|
5 |
|
6 |
|
7 |
|
8 |
ve
olarak bulunur. Buna göre
elde edilir.
17.Soru
f(x)=x4+2x2+x, g(x)=x2+7x-16 ise (f°g)(2) kaçtır?
|
26 |
|
28 |
|
36 |
|
14 |
|
2 |
(f°g)(2)=f(g(2)) olduğuna göre g(2)’yi bulalım.
g(2)=22+7.2-16=2 bulunur. Yani f(g(2))=f(2) olur. f(2)=24+2.22+2=26 bulunur.
18.Soru
ifadesi aşağıdakilerden hangisine eşittir?
|
|
|
|
|
|
|
|
|
|
buradan
olarak bulunabilmektedir.
-
- 1.SORU ÇÖZÜLMEDİ
- 2.SORU ÇÖZÜLMEDİ
- 3.SORU ÇÖZÜLMEDİ
- 4.SORU ÇÖZÜLMEDİ
- 5.SORU ÇÖZÜLMEDİ
- 6.SORU ÇÖZÜLMEDİ
- 7.SORU ÇÖZÜLMEDİ
- 8.SORU ÇÖZÜLMEDİ
- 9.SORU ÇÖZÜLMEDİ
- 10.SORU ÇÖZÜLMEDİ
- 11.SORU ÇÖZÜLMEDİ
- 12.SORU ÇÖZÜLMEDİ
- 13.SORU ÇÖZÜLMEDİ
- 14.SORU ÇÖZÜLMEDİ
- 15.SORU ÇÖZÜLMEDİ
- 16.SORU ÇÖZÜLMEDİ
- 17.SORU ÇÖZÜLMEDİ
- 18.SORU ÇÖZÜLMEDİ