Coğrafi Bilgi Sistemleri İçin Temel Matematik Final 16. Deneme Sınavı
Toplam 16 Soru1.Soru
a noktası (-2,0,0) , b noktası ( 0,5,0) ve c noktası ( 0,0,4 ) noktası olduğuna göre A noktasının koordinatları üç boyutlu uzayda nasıl gösterilir ?
|
(5,-2,0) |
|
(-2,0,4) |
|
(-2,4,5) |
|
(5,-2,4) |
|
(-2,5,4) |
R^3 de her hangi bir nokta (x.y.z) sırasıyla gösterilir. x ekseninde a noktası, y ekseninde b noktası ve z ekseninde c noktası gösterildiğine göre A noktasıda (x,y,z) sırasıyla yani (a,b,c) sırasıyla ifade edilmelidir. Bu durumda A noktası (-2,5,4) olarak ifade edilir.
2.Soru
orijin etrafında dönme matrisi hangi yönde kaç derecelik bir dönmeyi temsil etmektedir?
|
Saat yönünde 300 |
|
Saat yönünde 450 |
|
Saat yönünde 600 |
|
Saatin tersi yönünde 300 |
|
Saatin tersi yönünde 600 |
Düzlemde orijin etrafında saatin tersi yönündeki derecelik bir dönme matrisi
Dolayısıyla olur, bu şartları sağlayan
açısı
radyan veya -600 dir. Saatin tersi yönü pozitif yön olduğundan, bu dönme dönüşümü saat yönünde 600 derecelik dönmedir.
3.Soru
düzlemde verilen doğrunun denklemi aşağıdakilerden hangisidir?
|
x+4y-4=0 |
|
x-4y+4=0 |
|
-x+4y-4=0 |
|
x+4y+4=0 |
|
-x-4y-4=0 |
yukarıdaki gibi verilen doğru koordinat eksenlerini (4, 0) ve (0, 1) noktalarında kesmektedir. Eksenleri kesen doğrunun denklemi;
eşitliği yardımıyla bulunmaktadır. Burada ilgili değerler yerine konulduğunda
olarak elde edilir. Bu nedenle Doğru Cevap A seçeneği olur.
4.Soru
Küresel koordinatlarda K = [1,90°,90°] ile verilen noktanın kartezyen koordinatlardaki karşılığı hangi seçenekte verilmiştir?
|
(0,1,0) |
|
(1,0,1) |
|
(0,1,1) |
|
(1,1,0) |
|
(1,1,1) |
formüllerinde açı ve uzaklığı yerine koyarsak
yani (0,1,0) A seçeneği bulunur.
5.Soru
matrisi verilsin. A matrisinin determinantının 9 olması için t sayısı ne olmalıdır?
|
3 |
|
4 |
|
5 |
|
-4 |
|
-3 |
olarak verilmiştir. Verilen matrisin determinantı hesaplanırsa 2⋅3-t⋅(-1)=9 denklemi elde edilir. Bu denklem çözülürse t=3 olur.
6.Soru
olduğuna göre x+3 aşağıdakilerden hangisidir?
|
10 |
|
11 |
|
12 |
|
13 |
|
14 |
ise verilen ifadeyi küp kökten kurtarmak için eşitliğin her iki tarafının 3. kuvveti alınırsa;
olarak bulunur. Soruda istenen x+3 olduğundan x+3=10+3=13 olarak elde edilir. Bu nedenle Doğru Cevap D seçeneğidir.
7.Soru
y=x4-18x2-5 denkleminin yerel maksimum değeri aşağıdakilerden hangisidir?
|
72 |
|
25 |
|
15 |
|
-5 |
|
-36 |
y'=4x3-36x=4x(x2-9)
Kritik noktalar x=0, x=3 ve x=-3 dür. İkinci türev testi uygulanırsa
y''=12x2-36=12(x2-3)
y'' (0)=-36<0 ve y'' (3)=y'' (-3)=72>0 olduğundan x=0 yerel maksimum nokta olup burada ki yerel maksimum değeri y=-5 olur.
8.Soru
için sec(a) + cosec(b) = 4 ve
ise a ve b açılarının toplamı kaçtır ?
|
|
|
|
|
|
|
|
|
|
ve
a=
olarak bulunur.Buradan
Olacağından ve
olur.
için
bulunur. Böylece
olur.
9.Soru
24, 25, 100, 18, 45, 15 sayılarının geometrik ortalaması kaçtır?
|
6 |
|
15 |
|
30 |
|
60 |
|
90 |
10.Soru
serisi için aşağıdakilerden hangisi doğrudur?
|
Seri +∞’a ıraksaktır. |
|
Seri -∞’a ıraksaktır. |
|
Seri yakınsaktır. |
|
Seri 5’e yakınsaktır. |
|
Seri -5’e yakınsaktır. |
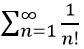
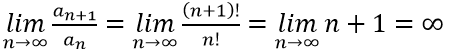
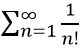
Serisinin tüm terimleri pozitiftir. Dolayısıyla
olduğundan yakınsaklık testi gereği seri +∞’a ıraksaktır.
11.Soru
Kartezyen koordinat sisteminde gösterimine sahip olan bir noktanın kutupsal gösterimi aşağıdakilerden hangisidir?
|
|
|
|
|
|
|
|
|
|
Verilen noktaların kutupsal koordinatlarda karşılıklarını aşağıdaki formüller yardımıyla; olarak hesaplanır.
12.Soru
f (x) = x2 – 1 fonksiyonuna (2,3) noktasından çizilen teğetin denklemi aşağıdakilerden hangisidir?
|
y = 4x – 5 |
|
y = x + 5 |
|
y = 2x |
|
y = 2x – 5 |
|
y = 2x + 5 |
Teğet denklemi y – y0 = m (x – x0) olduğundan m yani eğimi hesaplayalım. m = f ' (x0) = f '(2) = 2x0 = 4 olur. Böylece teğet denklemi y – 3 = 4 (x – 2) yani y = 4x – 5 elde edilir.
13.Soru
f (x) = 5x4 + 3x3 – 2x – 1 fonksiyonunun türevi aşağıdakilerden hangisidir?
|
5x4 + 3x3 – 2x |
|
20x3 + 9x2 – 2 |
|
20x4 + 9x2 – 1 |
|
20x3 + 9x – 2x |
|
4x4 + 3x3 – 2 |
f '(x) = 5 x (4x3) + 3 x (3x2) – 2 = 20x3 + 9x2 – 2 olur.
14.Soru
Bulanık mantık uygulamalarının son aşaması aşağıdakilerden hangisidir?
|
Bulanıklaştırma |
|
Kural işleme |
|
Kümeleme |
|
Sadeleştirme |
|
Durulaştırma ve Dönüştürme |
Sayfa 187 de verilen BULANIK MANTIK UYGULAMALARI konu başlığı içinde sayfa 193 te yapılan açıklama,
Kurallara dayalı bulanıklaştırma işleminden sonra durulaştırma işlemi tatbik edilir. Burada ağırlık merkezi yöntemine göre durulaştırma işlemi yapılırsa fren çıkış değeri, 0.281 olarak elde edilir
16.Soru
fonksiyonunun tanım kümesi aşağıdakilerden hangisidir?
|
(-∞,0) |
|
|
|
|
|
|
|
|
f(x) fonksiyonu kareköklü bir ifadeden ibarettir. Bilindiği üzere karekök ifadesi hiçbir zaman negatif olamaz. Bu durumda karekökün iç kısmı da negatif olamaz. O halde 3x-2≥0 olmalıdır. Yani x ≥ 2/3 olur.