Coğrafi Bilgi Sistemleri İçin Temel Matematik Final 19. Deneme Sınavı
Toplam 18 Soru1.Soru
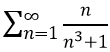
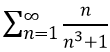
serisi ile ilgili aşağıdakilerden hangisi doğrudur?
|
Seri ıraksaktır. |
|
Dönüşümlü bir seridir. |
|
Pozitif terimli yakınsak bir seridir. |
|
Geometrik seridir. |
|
Seri yakınsak ve dönüşümlü bir seridir. |
Pozitif terimli bir seri olduğundan dolayı dönüşümlü değildir. olduğunu söyleyebiliriz.
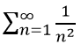
serisi yakınsak bir seri (p=2) olduğundan dolayı karşılaştırma kriterine göre
serisi de yakınsaktır.
2.Soru
Aşağıdakilerden hangisi integralleme yöntemleri arasındadır?
|
Doğrudan yöntem |
|
Algoritmik yöntem |
|
Trigonometrik değişken değiştirilmesi yöntemi |
|
Aritmetik rassal yöntem |
|
Kesikli rassal yöntem |
İntegralleme yöntemleri arasında; değişken değiştirme yöntemi, trigonometrik değişken değiştirilmesi yöntemi, kısmi integralleme yöntemi ve basit kesirlere ayırma yöntemi yer almaktadır.
3.Soru
Bulanık mantığı ikili mantıktan (Aristo Mantığı) ayıran en temel fark, aşağıdakilerden hangisi ile en doğru biçimde özetlenebilir?
|
Bulanık mantık insana özgü durumları yorumlamada ikili mantıklıkta yer almayan ara durumları da hesaba katacak matematiksel araçlara sahiptir. |
|
Bulanık mantık ikili mantığın aksine insan sezgi ve deneyimlerini matematiksel olarak modelleyebilir ve bu modeller ikili mantıktan daha fazla karmaşıklık içerir. |
|
Bulanık mantığın matematiksel araçlarını kullanmak ikili mantıkdakinden daha kolay olmakla birlikte ikili mantık gibi matematiksel modellere ihtiyaç duyar. |
|
Bulanık mantık matematiksel olarak doğrusal yapıları modellemede kullanılabilirken ikili mantık gibi daha karmaşık yapıların modellenmesine de izin verir. |
|
İkili mantık ya doğrudur ya da yanlıştır ancak bulanık mantık için doğru ya da yanlış yoktur. |
Şıklarda belirtilen farklar en temel fark A şıkkında belirtilmektedir. B şıkkında belirtildiği gibi bulanık mantık ikili mantığa göre her zaman daha fazla karmaşık değildir. C şıkkında belirtildiği gibi bulanık mantık matematiksel modellere ihtiyaç durmayabilir. D şıkkındaki kabul kesinlikle yanlıştır çünkü bulanık mantık doğrusal değildir ve ikili mantıkta karmaşık modellere uygun değildir. E şıkkı genel olarak doğrudur ancak tam olarak farkı betimlememektedir. Doğru cevap A'dır.
4.Soru
Bulanıklaştırma sürecinde ele alınan üyelik fonksiyonları, amacına uygun olarak belirlenirken aşağıdaki yaklaşımlardan hangisine dayandırılmaz?
|
Duygusal |
|
Sezgisel. |
|
Matematiksel |
|
Geometrik |
|
İstatistiksel |
Bulanıklaştırma sürecinde ele alınan üyelik fonksiyonları, problemin yapısına ve amacına uygun olmalıdır. Genel anlamda üyelik fonksiyonları sezgisel, matematiksel, geometrik veya istatistiksel yaklaşımlara dayandırılmaktadır. Doğru cevap A'dır.
5.Soru
integralinin çözümü aşağıdakilerden hangisidir?
|
1/5cos25x+C |
|
1/25cos25x+C |
|
1/25cos5x+C |
|
-1/25cos25x+C |
|
-1/5cos5x+C |
6.Soru
ʃ (4x3+ ex - 3/x ) dx fonksiyonunun integrali aşağıdakilerden hangisidir ?
|
x4 + 2ex + ln|3x| |
|
4x3 + e2x |
|
x4 + ex – 3ln|x| |
|
x4 + ex - ln|x| |
|
x3 + ex + ln|3x| |
Temel integral kurallarında da verildiği gibi , ( 4x3 için birinci kural , ex için dördüncü kural ve (-3)/x için ikinci kural sırasıyla uygulanır.)
ʃ (4x3+ ex - 3/x ) dx = 4x^4/4 + ex – 3ln|x| olarak bulunur. Sadeleşmiş olarak ise
= x4 + ex – 3ln|x| olarak bulunur.
7.Soru
Küresel koordinatlarda ile verilen noktanın kartezyen koordinatlardaki karşılığı aşağıdakilerden hangisidir?
|
|
|
|
|
|
|
|
|
|
olarak verilmiştir. Biliyoruz ki küresel koordinatlardan kartezyen koordinatları geçiş
formülleri ile yapılır. Verilen değerleri yerlerine koyarsak
olarak bulunur.
9.Soru
(4,3) noktasının orijin etrafında saat yönünün tersine 450 döndürülmesi ile elde edilen noktanın koordinatları aşağıdakilerden hangisidir?
|
|
|
|
|
|
|
|
|
|
halde
elde edilir.
10.Soru
Aşağıda verilen yargılardan hangileri bulanık mantığın avantajları arasında sayılabilir?
- I) İnsan düşünce sistemine yakındır.
- II) Yazılımı basit olduğundan sistem daha ekonomik kullanılabilir.
- III) Bulanık mantık kavramını anlamak kolaydır.
- IV) Üyelik değerlerinin kullanımı sayesinde kontrol tekniklerine göre daha esnektir.
- V) Kesinlik arz etmeyen bilgilerin kullanılması söz konusudur.
|
I, II ve III |
|
I, II ve V |
|
II, IV ve V |
|
II, III ve IV |
|
I, II, III, IV ve V |
Aristo mantığının en fazla kullanıldığı sahalar içinde mühendislik ve özellikle de doğa olaylarını incelemeyen mühendislik konuları gelir. Matematik, klasik fizik ve kimya ilkeleri de Aristo mantığına göre gelişmiştir. Ancak doğal olaylarla ilgilenen mühendisliklerde, durum tamamen bulanık dünya ve mantığa göre olması gerekirken bunların yapılan kabul, varsayım, idealleştirme, lineerleştirme gibi kabullerle insan aklının şartlı olarak ikili mantığa göre olayı algılayabileceği seviyeye getirilir.
Bulanık mantığın temelde sağladığı avantajlar aşağıda sıralanmıştır:
1. İnsan düşünce sistemine ve tarzına yakındır.
2. Uygulamasında mutlaka matematiksel bir modele gereksinim duymaz.
3. Yazılımın basit olması nedeniyle, sistem daha ekonomik olarak kurulabilir.
4. Bulanık mantık kavramını anlamak kolaydır.
5. Üyelik değerlerinin kullanımı sayesinde, diğer kontrol tekniklerine göre daha
esnektir.
6. Kesinlik arz etmeyen bilgilerin kullanılması söz konusudur.
7. Doğrusal olmayan fonksiyonların modellenmesine izin verebilir.
8. Sadece uzman kişilerin tecrübelerinden faydalanılarak kolaylıkla bulanık mantığa
dayalı bir modelleme ya da sistem tasarlanabilir.
9. Geleneksel kontrol teknikleriyle uyum hâlindedir.
Doğru cevap E seçeneğidir.
11.Soru
kümeleri veriliyor. Buna göre A' ∩ (B ∩ E) kümesi aşağıdakilerden hangisidir?
|
{8, 9, 10} |
|
{3, 4, 6} |
|
{2, 3, 4} |
|
{5, 7, 8} |
|
{1, 2, 3} |
şekilde verilen kümelere göre A' = {1, 2, 8, 9, 10} ve B ∩ E = {5, 7, 8, 9, 10} dir. Buradan A' ∩ (B ∩ E) ={8, 9, 10} olarak elde edilir. Dolayısıyla Doğru Cevap A seçeneğidir.
13.Soru
Aşağıdaki ifadelerden hangisi yanlıştır?
|
Artan ve üstten sınırlı dizi yakınsaktır. |
|
Azalan ve alttan sınırlı dizi yakınsaktır. |
|
Artan ve üstten sınırlı olmayan dizi yakınsaktır. |
|
Azalan ve alttan sınırlı olmayan dizi yakınsaktır. |
|
Artan alttan sınırlı dizi yakınsaktır. |
Artan ve alttan sınırlı dizi yakınsak olmak zorunda değildir. Örneğin {an}={n} dizisi artan ve alttan sınırlıdır fakat yakınsak değildir.
14.Soru
A={f, g, h, ı, i, k} kümesinin alt kümelerinin kaç tanesinde k elemanı bulunmaz?
|
12 |
|
15 |
|
16 |
|
32 |
|
64 |
Kümenin alt kümelerinde k elemanı olmayacaksa, elemanlar arasından çıkarılır. Son durumda ;A={f, g, h, ı, i} olur. Bu kümenin alt küme sayısı 25=32.
15.Soru
Yukarıda verilen şekilde çok soğuk, soğuk, ılık, sıcak ve çok sıcak fonksiyonları için sırasıyla hangi tip üyelik fonksiyonları kullanılmıştır?
|
Üçgen, Gauss, Üçgen, Üçgen, Yamuk |
|
Yamuk, Üçgen, Üçgen, Üçgen, Yamuk |
|
Üçgen, Yamuk, Yamuk, Yamuk, Üçgen |
|
Gauss, Üçgen, Üçgen, Üçgen, Gauss |
|
Üçgen, Gauss, Gauss, Gauss, Üçgen |
Şekilde üstteki fonksiyon üçgen, alttaki fonksiyon ise yamuktur. Buna göre soruda verilen şekildeki üyelik fonksiyonları sırasıyla yamuk, üçgen, üçgen, üçgen, yamuktur. Doğru cevap B'dir.
16.Soru
A = {3,4,5,6,7,8},B = {1,2,3,6,7} ve C= {2,4,6,8,9} ise (A\B)∩(C\B) kümesi aşağıdakilerden hangisidir?
|
{4,8} |
|
{4,5,8} |
|
{4,8,9} |
|
{4} |
|
{9} |
A\B={4,5,8}, C\B={4,8,9} dır.
(A\B)∩(C\B)={4,8} olur
17.Soru
eşitsizliğini sağlayan x tam sayılarının çarpımı kaçtır?
|
-4 |
|
-2 |
|
2 |
|
0 |
|
1.2 |
olacağına göre bu eşitsizliği sağlayan tam sayılar
{-1,0,1,2} olarak bulunabilmektedir. Bu sayılarının çarpımları 0 'dır. Doğru cevap D'dir.
18.Soru
Bulanık kelimesini teknik terimlere dahil eden bilim adamı hangi seçenekte verilmiştir?
|
Zadeh |
|
Mamdani |
|
Max Planck |
|
Gödel |
|
Black |
'Doğru’ ve ‘yanlış’, ‘belirlenemezlik’ tayfının sınır koşulları olarak görülüp, belirlenemezlik derecelendirilmiştir. Özellikle Lukasiewicz, Gödel ve Black ilk çok-değerli ya da bulanık mantık ve küme sistemlerini geliştiren araştırmacılar olmuşlardır. 1930’larda ünlü Amerikan filozofu Max Planck tarafından belirsizliği açıklayıcı öncü kavramlar geliştirilmiş olsa da 1965’te Azeri kökenli sistem bilimci Zadeh tarafından ‘bulanık’ kelimesini teknik terimlere dahil etmiştir. Doğru cevap A seçeneğidir.
-
- 1.SORU ÇÖZÜLMEDİ
- 2.SORU ÇÖZÜLMEDİ
- 3.SORU ÇÖZÜLMEDİ
- 4.SORU ÇÖZÜLMEDİ
- 5.SORU ÇÖZÜLMEDİ
- 6.SORU ÇÖZÜLMEDİ
- 7.SORU ÇÖZÜLMEDİ
- 8.SORU ÇÖZÜLMEDİ
- 9.SORU ÇÖZÜLMEDİ
- 10.SORU ÇÖZÜLMEDİ
- 11.SORU ÇÖZÜLMEDİ
- 12.SORU ÇÖZÜLMEDİ
- 13.SORU ÇÖZÜLMEDİ
- 14.SORU ÇÖZÜLMEDİ
- 15.SORU ÇÖZÜLMEDİ
- 16.SORU ÇÖZÜLMEDİ
- 17.SORU ÇÖZÜLMEDİ
- 18.SORU ÇÖZÜLMEDİ