Coğrafi Bilgi Sistemleri İçin Temel Matematik Final 4. Deneme Sınavı
Toplam 19 Soru1.Soru
Aşağıdakilerden hangisi bulanık mantıkta herhangi bir elemanın o kümeye ait olma derecesini gösterebilir?
|
2 |
|
1,1 |
|
-2 |
|
4/3 |
|
0,5 |
Bulanık mantıkta herhangi bir elemanın o kümeye ait olma derecesi 0 ile 1 arasındadır.
2.Soru
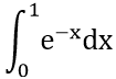
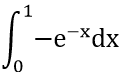
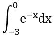
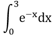
Üstten y=e-x eğrisi, alttan x-ekseni, soldan y-ekseni ve sağdan x=3 düşey doğrusu ile sınırlı düzlemsel bölgenin alanı aşağıdaki belirli integrallerden hangisi ile ifade edilir?
|
|
|
|
|
|
|
|
|
|
Üstten y=e-x eğrisi, alttan x-ekseni, soldan y-ekseni ve sağdan x=3 düşey doğrusu ile sınırlı düzlemsel bölgenin alanı belirli integrali ile hesaplanır.
3.Soru
Bulanık mantık hakkında söylenen aşağıdaki ifadelerden hangisi doğrudur?
|
Belirsiz ifadelerle yapılan, belirsiz işlemlerdir. |
|
Gelişmiş bir olasılık hesaplama yöntemidir. |
|
Modelleme aşamasında değişkenlerin ve kuralların esnek bir şekilde belirlenmesidir. |
|
Güncel uygulaması olmayan bir teoridir. |
|
Her şeyin kesin ve mutlak olduğu matematiksel bir teoridir. |
Modelleme aşamasında değişkenlerin ve kuralların esnek bir şekilde belirlenmesidir.
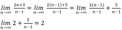
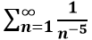
5.Soru
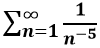
serisi için aşağıdaki ifadelerden hangisi doğrudur?
|
+∞’a ıraksaktır. |
|
-∞’a ıraksaktır. |
|
5’e yakınsaktır. |
|
10’a yakınsaktır. |
|
-5’e yakınsaktır. |
Çözüm: Pozitif terimli seriler için p-yakınsaklık testinde için p≤1 ise seri +∞’a ıraksaktır. O halde
serisi için p=-5≤1 olduğundan bu seri +∞’a ıraksaktır.
6.Soru
I. Bulanıklaştırıcı birim
II. Kural işleme birimi
III. Durulaştırıcı birim
Yukarıdakilerden hangileri bulanık mantık uygulamalarının aşamalarındandır?
|
Yalnız I |
|
Yalnız II |
|
Yalnız III |
|
I ve II |
|
I, II ve III |
Bulanık bir süreç, üç ayrı birimden oluşmaktadır. Bu birimler; sırası ile bulanıklaştırıcı birim, kural işleme birimi ve durulaştırıcı birim şeklindedir.
7.Soru
a=2i-j+3k ve b=-i+2j-k olarak veriliyor. Buna göre a ve b'nin dış çarpımının sonucu aşağıdakilerden hangisidir?
|
5i+j-5k |
|
-5i-j+5k |
|
-5i-5j+k |
|
i-5j-5k |
|
i+5j+5k |
a=2i-j+3k ve b=-i+2j-k olduğuna göre
ve
olarak ifade edilebilir. a ve b'nin dış çarpımı ise
eşitliği ile hesaplanmaktadır. Buradan ilgili değerleri yerine yazdığımızda a ve b'nin dış çarpımını;
biçiminde elde etmiş oluruz. Dolayısıyla Doğru Cevap B seçeneği olur.
8.Soru
toplamının sonucu aşağıdakilerden hangisidir?
|
|
|
|
|
|
|
1 |
|
|
Serinin ortak çarpanı r = < 1 ve a=1 olduğundan seri yakınsak olur ve limiti;
9.Soru
Kartezyen koordinat sisteminde verilen A = (3,4,5) noktasının küresel koordinat sisteminde orjine uzaklığı kaç birimdir?
|
2 |
|
5 |
|
|
|
|
|
|
olduğundan doğru seçenek E'dir.
10.Soru
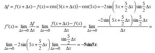
fonksiyonunun türevi aşağıdakilerden hangisidir?
|
5sin5x |
|
25sin5x |
|
-5sin5x |
|
5sin25x |
|
-25sin5x |
11.Soru
Aşağıdaki matrislerden hangisi bir ölçekleme dönüşümü temsil edebilir?
|
|
|
|
|
|
|
|
|
|
(x,y) vektörünü A şıkkındaki matris ile çarptığımızda ölçeklenmiş noktasını elde ederiz. Ölçeklemelerde bir noktanın herhangi bir bileşeninde x ve y vektörleri aynı anda bulunamaz. Ya sadece x ya da sadece y bulunur.
13.Soru
olduğuna göre, a kaçtır?
|
-1/2 |
|
-1/7 |
|
-1 |
|
1 |
|
1/7 |
f-1(a)=-1 olduğundan f(-1) =a olmaktadır. Buna göre verilen f fonksiyonunda x’in yerine -1 konulması durumunda olarak hesaplanmaktadır.
14.Soru
integralinin sonucu aşağıdakilerden hangisidir?
|
|
|
|
|
|
|
|
|
|
u=2x^2+1 dönüşümü yapılırsa du=4xdx ve xdx= du olmak üzere;
olur.
15.Soru
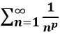
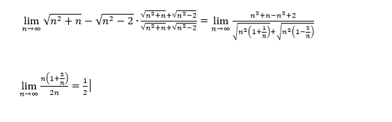
lim┬(n→∞)〖(n^2-5n-7)/(3n-111)〗 dizisinin limitini hesaplayınız.
|
(-1)/3 |
|
0 |
|
1/3 |
|
- ∞ |
|
+ ∞ |
lim┬(n→∞)〖(n^2 ( 1- 5/n - 7/n^2 ) )/(n ( 3- 111/n ))〗 = : lim┬(n→∞)〖(n( 1- 5/n - 7/n^2 ) )/(( 3- 111/n ))〗
lim┬(n→∞)n = + ∞ ve sayfa 139 da a ve b şıklarında yapılan açıklamalardan lim┬(n→∞)〖(( 1- 5/n - 7/n^2 ) )/(( 3- 111/n ))〗 = 1/3 elde edilir.
Bu iki sonuç birleştirilerek lim┬(n→∞)〖(n^2-5n-7)/(3n-111)〗 = + ∞ elde edilir.
16.Soru
Üç boyutlu uzayda (4,3,2) noktasının koordinatlarının sx = -1 , sy = 2 ve sz = 0 ile ölçeklenmesi sonucu elde edilen noktanın koordinatları aşağıdakilerden hangisidir ?
|
( 1, -2 , 4 ) |
|
b) ( -4,6,0 ) |
|
e) (4,-6,2) |
|
e) (-1,6,0) |
|
e) (0,6,-4) |
(x,y,z ) noktasının x değişkeni sx , y değişkeni sy ve z değişkeni sz ile çarpılarak ölçekleme yapılır.
(sx.x , sy.y , sz ) = ( -1.4) , 2 .3 , 0.2 ) = (-4 , 6, 0 )
17.Soru
ise f^' (0) aşağıdakilerden hangisidir?
|
1+e4 |
|
1+2e4 |
|
4 |
|
3 |
|
2 |
fonksiyonunun türevi
dir.
olur.
18.Soru
Yukarıdaki grafikte orta yaşlı kavramını temsil eden üyelik fonksiyonu gösterilmiştir.
Hangi yaş için orta yaş kavramının üyelik fonksiyonu değeri 1 olur?
|
20 |
|
30 |
|
40 |
|
45 |
|
50 |
Grafiğe göre orta yaş kavramının üyelik değeri 1 olan tek cevap 40’tır.
-
- 1.SORU ÇÖZÜLMEDİ
- 2.SORU ÇÖZÜLMEDİ
- 3.SORU ÇÖZÜLMEDİ
- 4.SORU ÇÖZÜLMEDİ
- 5.SORU ÇÖZÜLMEDİ
- 6.SORU ÇÖZÜLMEDİ
- 7.SORU ÇÖZÜLMEDİ
- 8.SORU ÇÖZÜLMEDİ
- 9.SORU ÇÖZÜLMEDİ
- 10.SORU ÇÖZÜLMEDİ
- 11.SORU ÇÖZÜLMEDİ
- 12.SORU ÇÖZÜLMEDİ
- 13.SORU ÇÖZÜLMEDİ
- 14.SORU ÇÖZÜLMEDİ
- 15.SORU ÇÖZÜLMEDİ
- 16.SORU ÇÖZÜLMEDİ
- 17.SORU ÇÖZÜLMEDİ
- 18.SORU ÇÖZÜLMEDİ
- 19.SORU ÇÖZÜLMEDİ