Coğrafi Bilgi Sistemleri İçin Temel Matematik Final 6. Deneme Sınavı
Toplam 15 Soru1.Soru
y = 4x3 – 5x2 + 3/7 fonksiyonunun türevi aşağıdakilerden hangisidir ?
|
y1 = 4x2 – 5x + 3/7 |
|
y1 = 12x2 – 5x + 1 |
|
y1 = 3x4 – 5x3 + 3/7 x |
|
y1 = 12x2 + 10x + 1 |
|
y1 = 12x2 – 10x |
y1 = 12x2 – 10x
2.Soru
Aşağıdakilerden hangisi bulanık mantığın avantajlarından biri değildir?
|
İnsan düşünce ve tarzına yakındır. |
|
Uygulamada mutlaka matematiksel bir modele gereksinim duyar. |
|
Yazılımın basit olması nedeniyle, sistem daha ekonomik kurulabilir. |
|
Kesinlik arz etmeyen bilgilerin kullanılması söz konusudur. |
|
Geleneksel kontrol teknikleriyle uyum halindedir. |
Uygulamada mutlaka matematiksel bir modele gereksinim duyulmaz. Doğru cevap B'dir.
3.Soru
Aşağıda şekli verilen geometrik dönüşümün adı ve formülü hangi seçenekte doğru olarak verilmiştir?
|
Öteleme, T(x,y) = (x+h,y+k) |
|
Döndürme, T(x,y) = (x-h,y-k) |
|
Öteleme, T(x,y) = (x-h,y-k) |
|
Döndürme, T(x,y) = (x+h,y+k) |
|
Ölçekleme, T(h,k) = (x+h,y+k) |
Şekildeki gibi geometrik bir nesnenin yatay doğrultuda h ve düşey doğrultuda k kadar ötelendiğini düşünelim. Aslında öteleme işlemi ile geometrik şekil üzerindeki her nokta yatay doğrultuda h ve düşey doğrultuda k kadar ötelenmiş olur. Matematiksel olarak bu dönüşüm T(x, y) = (x+h, y+k)
şeklinde gösterilir ve adına öteleme denir. Doğru cevap A seçeneğidir.
4.Soru
y = - 4 + 5x – x2 parabolü ile x ekseni arasında kalan alan kaç birim karedir ?
|
7/6 |
|
57/6 |
|
3/5 |
|
2 |
|
3 |
y = - 4 + 5x – x2 => - 4 + 5x – x2 = (x-1)(4-X)
Bu noktalar x=1 ve x = 4 noktalarıdır. O zaman aradığımız alan:
∫_1^4▒(-4+5x-x^2 )dx = -4∫_1^4▒dx + 5 ∫_1^4▒〖x dx〗 - ∫_1^4▒x^2 dx
(-4x + 5x^2/2 - x^3/3 ) fonksiyonunun x=1 ve x=4 aralığındaki değeri ise
=|- 57/6| = 57/6 olarak bulunur.
6.Soru
Bir para 7 kere atılsın. 6 kere yazı gelme sayısı hangi seçenekte verilmiştir?
|
1 |
|
7 |
|
14 |
|
21 |
|
28 |
Kombinasyon formülü kullanılarak:
hesaplanır.
Buradan 7! / (6! * 1!) = 7 bulunur. Doğru cevap B seçeneğinde verilmiştir.
7.Soru
|
Sınırlı, pozitif, artan 1 e yakınsak bir dizidir. |
|
Sınırlı, Alterne, 0 yakınsak bir dizidir. |
|
Pozitif, artan, alttan sınırlı bir dizidir. |
|
Ne alttan, ne üstten sınırlıdır, alterne bir dizidir. |
|
|
Doğru cevap A'dır.
8.Soru
serisi için hangi seçenek doğru olabilir?
|
Iraksak bir seridir. |
|
Yakınsak bir seridir. |
|
Limiti 5/2 dir. |
|
limiti 8/3 tür. |
|
Limiti 4/3 tür. |
olduğundan seri ıraksaktır. Bu durumda yakınsak olamayacağı gibi limiti de bulunmaz. Doğru cevap A seçeneğinde verilmiştir.
9.Soru
y = 52x fonksiyonunun türevi aşağıdakilerden hangisidir ?
|
5. 52x |
|
2. 55x + 2 |
|
ln2 . 52x |
|
5x . ln2 |
|
52x.ln5.2 |
99. Sayfada ki verilen kurallar içerisinde 9. Kuralda verildiği gibi,
(au)1= au.lna.u1 olarak uygulanır.
Yani;
52x.ln5.2
10.Soru
toplamının sonucu aşağıdakilerden hangisidir?
|
|
|
|
|
1 |
|
5 |
|
∞ |
11.Soru
eşitsizliğini sağlayan tam sayılarının çarpımı kaçtır?
|
-4 |
|
-2 |
|
2 |
|
0 |
|
1.2 |
olacağına göre bu eşitsizliği sağlayan tam sayılar {-1,0,1,2} olarak bulunabilmektedir. Bu sayılarının çarpımları 0’dır.
12.Soru
Aşağıdaki ifadelerden hangisi bulanık kümenin simetriklik özelliğini açıklar?
|
Bir kümede bulunan ögelerden en az bir tanesinin en büyük üyelik derecesi olan 1’e sahip olması gereklidir. |
|
Üyelik derecesi 1 olan ögeye yakın, sağdaki ve soldaki ögelerinde üyelik dereceleri 1’e yakın olmalıdır. |
|
Üyelik derecesi 1’e eşit olan ögeden sağa ve sola eşit mesafede gidildiğinde, buradaki ögelerinde üyelik derecelerinin birbirine eşit olması gerekir. |
|
Kümede sonsuz sayıda eleman olmalıdır. |
|
Kümenin daima bir en büyük ögesi vardır. |
Bulanık kümede üyelik derecesi 1’e eşit olan ögeden sağa ve sola eşit mesafede gidildiğinde, buradaki ögelerinde üyelik derecelerinin birbirine eşit olması gerekir. Buna bulanık kümenin simetriklik özelliği denir.
13.Soru
limitinin sonucu aşağıdakilerden hangisidir?
|
e |
|
1 |
|
0 |
|
-1 |
|
|
belirsizliği olup L’Hospital kuralı uygulanırsa:
14.Soru
y=x2 eğrisi ile y=x doğrusu arasında kalan alan aşağıdakilerden hangisidir?
|
1 |
|
2/3 |
|
1/2 |
|
1/6 |
|
1/3 |
Belirli integralin sınırlarını bulalım. Eğri ile doğruyu ortak çözersek x2=x den x(x-1)=0 olur. Buradan kesişim noktaları x=0 ve x=1 bulunur. Alan ise bulunur.
15.Soru
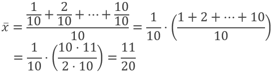
sayılarının aritmetik ortalaması kaçtır?
|
|
|
|
|
|
|
|
|
|
x1,x2,…,xn sayılarının aritmetik ortalaması: formülüyle hesaplandığından
elde edilir.