Devre Analizi Final 14. Deneme Sınavı
Toplam 20 Soru1.Soru
Kondansatörlerle ilgili olarak;
Kondansatörün kapasitesi plakalarının yüzey alanı ile doğru orantılıdır
II. Kondansatörün kapasitesi plakaları arasındaki mesafeyle ters orantılıdır
III. Dolayısıyla kondansatörlerin kapasitesi kullanılan yalıtkan maddenin dielektrik katsayısı ile doğru orantılıdır
Hangisi veya hangileri doğrudur?
|
A) Yalnız I |
|
B) I,II |
|
C)I,III |
|
D)II,III |
|
E)I,II,III |
I, II ve III
2.Soru
t<0 süresince 1 konumunda olan anahtar t=0 anında 2 konumuna geçmektedir. t?0 için Vc(t) ifadesi aşağıdakilerden hangisidir?
|
6-5e-50t V |
|
5+1e-50t V |
|
5+1e-500t V |
|
5-1e-500t V |
|
6-5e-500t V |
t<0 nında bu devrede yukarıdaki şekildeki durum söz konusu olmaktadır. Kondansatör gerilimi V olmaktadır. Bu devrede dikkat edilmesi gereken 2 ?'luk ve 3 ?'luk dirençlerin birbirine seri olduğu ve 5 ?'luk direncin bu seri dirençlere paralel olduğudur. Bu nedenle 10 V'luk gerilim dirençler oranında paylaşılacaktır. t ? 0 durumunda ise, devrenin voltaj kaynağı ile bağlantısı devam ettiğinden devrenin tüm tepkisi bulunmalıdır. Vc(t) voltajının bulunması için Vc(0) akımının yanında Vc(?) voltajının da hesaplanması gerekir. Anahtar konum değiştirdikten sonra devre aşağıdaki şekildeki gibi olmaktadır.
t › ? için kondansatör açık devre olacağından Vc(?)=5 V olacaktır. Devrenin eşdeğer direnci ise 2 ?'luk ve 3 ?'luk seri bağlı dirençlerin toplamına eşit ve Reş=5 ?' dur. Bu devreye göre zaman sabiti msn olmaktadır. Devrenin tüm tepkisi genel olarak
şeklinde verilmektedir. Burada K1=Vc(?)=5 ve K2=Vc(0)-Vc(?)=6-5=1'dir. Buna göre
olmaktadır. Doğru cevap C'dir.
3.Soru
Geniş levha yüzeyi ve yalıtkan malzemenin inceliği sayesinde düşük kondansatör boyutunda yüksek kapasitenin sağlanabildiği çalışma gerilimleri 100 V ile 700 V arasında değişen kondansatörler aşağıdakilerden hangisidir?
|
A) Plastik kondansatörler |
|
B) Seramik kondansatörler |
|
C) Kutuplu kondansatörler |
|
D) Varyabl kondansatörler |
|
E) Kağıtlı kondansatörler |
Kağıtlı kondansatörler
4.Soru
Aşağıdakilerden hangisi kondansatörlerin kullanım alanlarındandır
|
Parazit sinyaller oluşturma |
|
DA sinyalinin geçişine izin verme |
|
AA sinyalini engelleme |
|
Bilgi kaybını engelleme |
|
Ani sıçramalar oluşturma |
Bilgi kaybını engelleme
5.Soru
Nüvesinin manyetik geçirgenliği μ = 100.10-4 H/cm olan bir bobinin sarım sayısı N=15,
nüve kesit yarıçapı r = 2 cm ise bobinin endüktansı nediir?
|
620,3.10-3 mH |
|
794.10-3 mH |
|
736,7.10-3 mH |
|
645,4.10-3 mH |
|
706,5.10-3 mH |
6.Soru
Aşağıdakilerden hangisinde kapalı bir elektrik devresinde devreye uygulanan gerilim ile seri bağlı dirençlerin üzerindeki gerilim düşümlerinin toplamının sıfıra eşit olduğu ifade edilmektedir?
|
Norton teoremi |
|
Thevenin teoremi |
|
Süperpozisyon teoremi |
|
Kirchhoff’un akım yasası |
|
Kirchhoff’un gerilim yasası |
Kirchhoff’un gerilim yasası, kapalı bir elektrik devresinde devreye uygulanan gerilim ile seri bağlı dirençlerin üzerindeki gerilim düşümlerinin toplamının sıfıra eşit olduğunu ifade etmektedir.
7.Soru
Anahtarlamalı bir RL devresinde anahtarın konum değiştirmesinden sonra devrenin tüm bağımsız kaynaklarla ilişkisi kesiliyorsa ortaya çıkan akım ve gerilim davranışına ne ad verilir?
|
Devrenin doğal tepkisi |
|
Devrenin zorlama tepkisi |
|
Devrenin ilk durum tepkisi |
|
Devrenin tüm tepkisi |
|
Devrenin karma tepkisi |
Hem RL, hem de RC devrelerinde anahtar konum değiştirdiğinde devrenin tüm bağımsız kaynaklarla ilişkisi kesiliyorsa ortaya çıkan akım ve gerilim davranışına devrenin doğal tepkisi adı verilir.
8.Soru
Seri bir RL devresinde zaman sabiti 10 μ sn ve bobinin değeri 1mH ise devredeki direncin değeri kaç ohm’dur?
|
1 |
|
10 |
|
100 |
|
1000 |
|
0,01 |
Zaman sabiti;
τ = L/R formülü ile ifade edilir. Bu durumda değerler yerine konduğunda;
0,1 = 0,001/R
R= 100 Ω olarak bulunur.
9.Soru
Trimmer kondansatörler ile ilgili aşağıda verilen ifadelerden hangisi ya da hangileri doğrudur? I- Sığanın tornavida gibi yardımcı bir aletle ayarlanabildiği kondansatör türüdür. II- Boyutları ve kapasite değerleri küçüktür III- Kapasitenin zaman zaman değiştirilmesi istenen yerlerde (FM verici, telsiz vb.) kullanılır.
|
Yalnız I |
|
I, II |
|
I, III |
|
II, III |
|
I, II, III |
Trimmer kondansatörler: Sığanın tornavida gibi yardımcı bir aletle ayarlanabildiği boyutları ve kapasite değeri küçük kondansatör türüdür. Dielektrik madde olarak mika, hava veya seramik kullanılan bu kondansatörler kapasitenin zaman zaman değiştirilmesi istenen yerlerde (FM verici, telsiz vb.) kullanılır. Trimmer kondansatörlerin boyutları ve kapasite değerleri küçüktür. Buna göre I, II ve III ifadeleri doğrudur. Sorunun doğru cevabı E seçeneğidir.
10.Soru
I. AA akım veya gerilimin belirli bir anda aldığı değere anlık değer denir.
II. Bir periyot pozitif, negatif ve nötr olmak üzere üç alternanstan oluşur.
III. Etkin genlik, alternatif akımın aldığı en büyük değeri ifade eder.
IV. Genlik ifadesinin tepe genlik, tepeden tepeye genlik ve etkin genlik olmak üzere üç farklı tipi vardır.
V. Sıfır ortalama değerine sahip sinüzoidal akım veya gerilimlerde tepeden tepeye genlik tepe genliğin iki katıdır.
Yukarıda verilen bilgilerden hangisi/hangileri doğrudur?
|
I, II ve III |
|
II ve III |
|
I, IV ve V |
|
I, III, IV ve V |
|
I, II, III, IV ve V |
AA akım veya gerilimin belirli bir anda aldığı değere anlık değer denir. Genlik ifadesinin tepe genlik, tepeden tepeye genlik ve etkin genlik olmak üzere üç farklı tipi vardır. Sıfır ortalama değerine sahip sinüzoidal akım veya gerilimlerde tepeden tepeye genlik tepe genliğin iki katıdır. Bu bilgiler doğrudur. Ancak bir periyot pozitif, negatif ve nötr olmak üzere üç alternanstan değil pozitif ve negatif olmak üzere iki alternanstan oluşur. Alternatif akımın aldığı en büyük değeri etkin genlik değil, tepe genlik ifade eder. Bu bilgilerden I, IV ve V doğrudur.
11.Soru
RC devrelerinde şarj/deşarj esnasında kondansatör enerjisinin ------------ değişim göstermesi için gereken süre devrenin zaman sabitine eşittir. İfadesindeki boşluklu yere aşağıdakilerden hangisi gelmelidir?
|
%27 |
|
%37 |
|
%50 |
|
%63 |
|
%73 |
RC devrelerinde şarj/deşarj esnasında kondansatör enerjisinin %63 değişim göstermesi için gereken süre devrenin zaman sabitine eşittir.
12.Soru
Kondansatörlerin elektrik yükü taşıyabilme yeteneğine verilen isim aşağıdakilerden hangisidir?
|
Kapasite |
|
Seramik |
|
Armatür |
|
Volt |
|
Farad |
Kondansatörlerin elektrik yükü taşıyabilme yeteneği kapasite veya sığa olarak isimlendirilir ve C ile gösterilir.
13.Soru
Şekilde verilen alternatif akımın tepeden tepeye genlik değeri kaçtır?
|
-6 V |
|
-3 V |
|
1,5 V |
|
3 V |
|
6 V |
Şekilde verilen alternatif akımın tepe değeri 3 V, tepeden tepeye genlik değeri 6 V’tur.
14.Soru
Yüzey alanı 12 cm² ve plakalar arası uzaklığı 4mm olan hava aralıklı kondansatörün kapasitesi aşağıdakilerden hangisinde verilmiştir?(?0 = 8,854 . 10-12 F/m ve ?r = 1)
|
2,66 pF |
|
1,7 nF |
|
38,2uF |
|
47,6 pF |
|
1,12mF |
C=?0.?r·A/d olduğundan C=8,854 . 10-12 F/m. 1 12*10-4 m²/4*10-3m
C=2,66 pF
15.Soru
Üzerindeki gerilim v(t) = 24 . cos (50 . t + 45°) V olan bir devrenin eşdeğer empedansı Z = 6 ?45° ? ; devrede harcanan ortalama güç kaç Watt’tır ?
|
18 (3)1/2 |
|
22 (2)1/2 |
|
25 (3)1/2 |
|
20 (3)1/2 |
|
24 (2)1/2 |
I = V / Z = 24 ?45° / 6 ?45° = 4 ?0° ; a = 45 – 0 = 45° ; P = (1/2) VT IT cos a = (1/2) 24 . 4 cos 45° = 48 (1 / (2)1/2) = 24 (2)1/2 . sf. 208. Doğru cevap E'dir.
16.Soru
Şekildeki devredeki anahtar t=0 anında açılmaktadır. t<0 için devrenin eşdeğer direnci kaç ohm’dur?
|
1 |
|
3 |
|
2 |
|
5 |
|
4 |
t<0 için bobin kısa devre olarak düşünülürse eşdeğer direnç;
Reş = R1 + R2//R3//R4 olur.
= 1 + 2//6//3
= 2 ? olarak bulunur.
17.Soru
Şekildeki devre için vC(0) = 15 V olarak verilmiştir. t = 400 msn için ix(t) akımı aşağıdakilerden hangisidir?
|
0,37 A |
|
0,63 A |
|
3,75 A |
|
0,18 A |
|
0,4 A |
Şekildeki devre için öncelikle Thevenin eşdeğer direnci ve zaman sabiti hesaplanır:
Buna göre kondansatör voltajı ve akımı şu şekilde elde edilir:
ix(t) akımı ise temel devre kanunları kullanılarak bulunur:
t = 400 msn = 0,4 sn için ise,
i
ix (0,4) = 0,5 . e–1 = 0,18 A olarak elde edilir.
18.Soru
Şekle göre aşağıdakilerden hangisinde alternatif akımın formu ve akımın ortalama değeri doğru eşleşmiştir?
|
Kare dalga - 0,5 A |
|
Sinüs dalga - 4 A |
|
Testere dalga - 4 A |
|
Testere dalga - 1 A |
|
Sinüs dalga - 1 A |
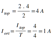
Şekildeki alternatif akımın formu testere dalgadır.
Testere dalga için, T = 4 sn’dir.
Şekil için alan hesabı ile de çözüm yapılabilir. Bu aralıkta, üçgenin alanından:
19.Soru
V = 8 . sin (4.000 . t) Volt olan gerilim kaynağının uçları arasına 1mF’lık bir kapasitör bağlıdır. Kapasitörün üzerinden geçen akım kaç Amper'dir ?
|
12 . sin (4.000 . t) |
|
-24 . cos (4.000 . t) |
|
-8 . sin (4.000 . t) |
|
-32 . cos (4.000 . t) |
|
16 . sin (4.000 . t) |
Z = -j / (4.000 . 1 . 10-3) = -j 0.25 ; I = 8 . sin (4.000 . t) / (-j 0.25) = j 32 . sin (4.000 . t) = -32 . cos (4.000 . t). sf. 190. Doğru cevap D'dir.
20.Soru
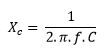
Aşağıdakilerden hangisi bir kondansatörün kapasitif reaktans formülüdür?
|
|
|
|
|
|
|
|
|
|
kondansatörün kapasitif reaktans formülü dir.
-
- 1.SORU ÇÖZÜLMEDİ
- 2.SORU ÇÖZÜLMEDİ
- 3.SORU ÇÖZÜLMEDİ
- 4.SORU ÇÖZÜLMEDİ
- 5.SORU ÇÖZÜLMEDİ
- 6.SORU ÇÖZÜLMEDİ
- 7.SORU ÇÖZÜLMEDİ
- 8.SORU ÇÖZÜLMEDİ
- 9.SORU ÇÖZÜLMEDİ
- 10.SORU ÇÖZÜLMEDİ
- 11.SORU ÇÖZÜLMEDİ
- 12.SORU ÇÖZÜLMEDİ
- 13.SORU ÇÖZÜLMEDİ
- 14.SORU ÇÖZÜLMEDİ
- 15.SORU ÇÖZÜLMEDİ
- 16.SORU ÇÖZÜLMEDİ
- 17.SORU ÇÖZÜLMEDİ
- 18.SORU ÇÖZÜLMEDİ
- 19.SORU ÇÖZÜLMEDİ
- 20.SORU ÇÖZÜLMEDİ