Devre Analizi Final 5. Deneme Sınavı
Toplam 18 Soru1.Soru
Aşağıdakilerden hangisi kullanılarak Kirchhoff gerilim yasasının bir uygulamasıdır ve seçilen çevre akımları kullanılarak gerilim denklemleri oluşturulur?
|
Çevre Akımı Yöntemi |
|
Düğüm Noktası Yöntemi |
|
Süperpozisyon Yöntemi |
|
Kaynak Dönüşümü Yöntemi |
|
Thevenin ve Norton Eşdeğerlerinin Kullanımı |
Çevre akımı yöntemi Kirchhoff gerilim yasasının bir uygulamasıdır. Seçilen çevre akımları kullanılarak gerilim denklemleri oluşturulur.
2.Soru
RLC devrelerinde zaman sabiti aşağıdakilerden hangisi ile gösterilmektedir?
|
α |
|
φ |
|
τ |
|
λ |
|
κ |
Zaman sabiti τ ile gösterilmektedir.
3.Soru
Şekildeki devrenin eşdeğer endüktansı ( Leş ) nedir?
|
4,18.10-3 H |
|
2,18.10-3 H |
|
2.10-3 H |
|
3.10-3 H |
|
8.10-3 H |
4.Soru
Birbirine seri veya paralel bağlı çok sayıda direnç, akım kaynağı ve gerilim kaynağı bulunan karmaşık devrelerin çözümlenmesinde kullanılan bir teoremdir.
Yukarıdaki açıklama kaynak dönüşümünde kullanılan teoremlerden hangisine aittir?
|
Thevenin |
|
Norton |
|
Süperpozisyon |
|
Gerry |
|
Harviy |
Devrelerin analizinde çok sık kullanılan Thevenin teoremi, birbirine seri veya paralel bağlı çok sayıda direnç, akım kaynağı ve gerilim kaynağı bulunan karmaşık devrelerin çözümlenmesinde kullanılan bir teoremdir.
5.Soru
Anlık Değer nedir?
|
Anlık değer |
|
Ortalama değer |
|
Alternans |
|
Frekans |
|
Genlik |
AA akım veya gerilimin belirli bir anda aldığı değere anlık değer denir.
6.Soru
Şekilde verilen alternatif akımın periyodu aşağıdakilerden hangisidir?
|
1 sn |
|
2 sn |
|
3 sn |
|
4 sn |
|
5 sn |
Bir devirlik alternatif akımı veya gerilimi oluşurken geçen süreye periyot denir. Periyodik değişimi tanımlarken alternatif akımın her bir anlık değerinin kendini tekrar etmesi için geçmesi gereken süre sabittir. Bir periyot bu sabit süreye karşılık gelir. SI birim sisteminde, periyot birimi saniye (sn)’dir. Doğru cevap C'dir.
7.Soru
Verilen bir devrede değerleri R1=2 Ω ve R2=8 Ω olan iki direnç paralel bağlıdır. Bu dirençlere paralel bağlı halde bulunan gerilim kaynağının değeri 16 Volt’tur. Devrenin eş değer direncinin değeri nedir?
|
1,8 Ω |
|
1,6 Ω |
|
3 Ω |
|
3,6 Ω |
|
4 Ω |
/Reş = (1/2) + (1/8) = 5/8 olarak bulunur. Bu durumda Reş = 1,6 Ω’dur.
8.Soru
Değerleri R1=3Ω, R2=2Ω, L=4H olan iki direnç ve bir bobin ile Vs=6V olan doğru gerilim kaynağı birbirine seri bağlanmıştır. R2 direnci üzerinde bulunan anahtar açıldıktan 800msn sonra bobin üzerinden akacak akımın değeri aşağıdakilerden hangisidir?
|
0,25 A |
|
1,5 A |
|
3 A |
|
2,5 A |
|
3,5 A |
Anahtar kapalı iken R2 ve L kısa devredir. Bu durumda iL(0)=6/3=2A olur. Anahtar açıldığında Thevenin eşdeğeri RTH=5Ω ve t sonsuza giderken L yine kısa devre olduğundan iL(∞)=6/5=1,2A bulunur. Zaman sabiti τ=L/RTH=4/5=0,8sn olduğuna göre 800msn sonra bobinden akacak akım iL(t)=K1+K2.e-t/τ ifadesinden iL(5)=1,2+(2-1,2). e-0,8/0,8=1,5A elde edilir.
9.Soru
Devrede birden fazla bağımsız kaynak varsa ve bu kaynakların frekansları birbirinden farklı ise, devre fazörler kullanılarak ancak ........ yöntemiyle çözülür.
Yukarıdaki noktalı yere aşağıdakilerden hangisi gelirce doğru olur?
|
Çevre Akımı Yöntemi |
|
Düğüm Noktası Yöntemi |
|
Süperpozisyon Yöntemi |
|
Kirchhoff Yöntemi |
|
Kaynak Dönüşümü Yöntemi |
Devrede birden fazla bağımsız kaynak varsa ve bu kaynakların frekansları birbirinden farklı ise, devre fazörler kullanılarak ancak süperpozisyon yöntemiyle çözülür.
10.Soru
Güç faktörünün düzeltilmesindeki amaç devreye uygun ilave elektriksel yükü bağlayarak devrenin harcadığı reaktif yani kayıp gücü azaltmak, diğer bir deyişle güç faktörünü yükseltmektir. Buna göre izlenecek yolda aşağıdakilerden hangisi son Adımdır?
|
Mevcut devrenin harcadığı ortalama güç ve reaktif güç hesaplanır |
|
Hesaplanan fark negatifse bağlanacak olan yük kondansatör, pozitifse bağlanacak yük bobindir. |
|
İstenilen güç faktörünün sağlanması için harcanması gereken reaktif güç hesaplanır. |
|
Harcanması gereken reaktif güçten mevcut reaktif güç çıkarılır. Elde edilen güç devreye eklenecek elemanın harcayacağı reaktif güçtür |
|
Devrenin çalışma frekansı kullanılarak ilave yükün değeri reaktans kullanılarak bulunur. |
Devrenin çalışma frekansı kullanılarak ilave yükün değeri reaktans kullanılarak bulunur.
11.Soru
Kirchhoff gerilim yasasına göre kapalı bir yol üzerindeki gerilimlerin cebirsel toplamı kaçtır?
|
0 |
|
1 |
|
2 |
|
3 |
|
4 |
Kirchhoff gerilim yasasına göre kapalı bir yol üzerindeki gerilimlerin cebirsel toplamı 0'dır.
12.Soru
- Devrelerin analizinde çok sık kullanılır.
- Birbirine seri veya paralel bağlı çok sayıda direnç, akım kaynağı ve gerilim kaynağı bulunan karmaşık devrelerin çözümlenmesinde kullanılır.
- Karmaşık bir devre herhangi iki noktasına göre bir gerilim kaynağı ve ona seri bağlı bir direnç ile gösterilebilir.
Maddeler halinde özellikleri verilen teorem aşağıdakilerden hangisidir?
|
Seri direnç teoremi |
|
Norton teoremi |
|
Süperpozisyon teoremi |
|
Gerilim teoremi |
|
Thevenin teoremi |
Devrelerin analizinde çok sık kullanılan Thevenin teoremi, birbirine seri veya paralel bağlı çok sayıda direnç, akım kaynağı ve gerilim kaynağı bulunan karmaşık devrelerin çözümlenmesinde kullanılan bir teoremdir. Thevenin teoremine göre karmaşık bir devre herhangi iki noktasına göre bir gerilim kaynağı ve ona seri bağlı bir direnç ile gösterilebilir. Elde edilen bu devreye Thevenin eşdeğer devresi denir.
13.Soru
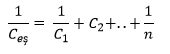
Bir devrede paralelbağlanan kondansatörler hangi formül ile eşdeğer sığası bulunur?
|
|
|
|
|
|
|
|
|
|
Bir devrede seri bağlanan kondansatörler hangi formül ile eşdeğer sığası ile bulunur.
14.Soru
R3 direnci üzerinde harcanan güç aşağıdakilerden hangisinde verilmiştir?
|
60 W |
|
144W |
|
228W |
|
360W |
|
576W |
Düğüm noktası 16 V ve bağımlı üreteç=kI1=8.8A=64V olur. (burada I1, R2 direnci üzerinden geçen akım) Öyleyse;
I2=(64-16)/4=12 A olur. P=(I2)².R3 ise P=12².4=144*4=576 W
15.Soru
Şekildeki devrede t<0 süresince kapalı olan anahtar, t=0 anında açıldıgına göre t?0 için iL(t) ifadesi aşağıdakilerden hangisidir?
|
2e-100t A |
|
2e-200t A |
|
2e-400t A |
|
4e-200t A |
|
4e-400t A |
t<0 nında bu devrede yukarıdaki şekildeki durum söz konusu olmaktadır. Bobin kısa devre gibi davranmakta olup 3 ?'luk ve 6 ?'luk dirençler birbirine paralel ve bu dirençlerin eşdeğer direnci 2 ?'luk ve 4 ?'luk dirençlere seri bağlıdır. Buna göre 3 ?'luk direncin üzerinden geçen akım aynı zamanda bobinin üzerinden geçmektedir. Devrede eş değer direnç olmaktadır. Devrede ana koldan geçen akım (2 ?'luk ve 4 ?'luk dirençlerin üstünden)
A olmaktadır. Bobin üzerinden geçen akım ise ana koldan geçen akımın 3 ?'luk ve 6 ?'luk dirençlerin direnç değeri ile ters orantılı olarak paylaşılmasıyla bulunur ve değeri
A'dir. Bobin üzerinden geçen akımın ani değişim göstermediği bilindiğine göre
olmaktadır. Anahtar açıldıktan sonra devre aşağıdaki şekildeki gibi olmaktadır.
Anahtar t = 0 anında açıldığında devre yukarıdaki gibi olup, seri bağlı 3 ?'luk ve 6 ?'luk dirençler ve L = 45 mH'lik bobinden oluşmaktadır. Bu devrenin zaman sabiti msn olmaktadır. Böylelikle IL(t) akımının zamana göre ifadesi
A olmaktadır. Doğru cevap B'dir.
16.Soru
Alternatörler hangi bileşenlerden oluşur?
|
Stator ve rotor |
|
Rotor ve sakans |
|
Stator ve faz |
|
Faz ve sekans |
|
Rotor ve faz |
Alternatörler dış kısmında sabit olan ve üzerinde sarımları taşıyan stator, iç kısmında kendi etrafında dönüş yapan ve mıknatıs özelliği gösteren rotor bileşenlerinden oluşur.
17.Soru
Aşağıdakilerden hangisi kondansatörün kapasitesini etkileyen faktörlerden değildir?
|
ε0, boşluğun dielektrik katsayısı |
|
A, plaka yüzey alanı |
|
dT, levhalar arası sıcaklık farkı |
|
d, Levhalar arası uzaklık |
|
εr, bağıl dielektrik katsayısı |
dT, levhalar arası sıcaklık farkı kondansatörün kapasitesini etkileyen faktörlerden değildir.
18.Soru
Aşağıdakilerden hangisi 'Kullanılan Yalıtkana Göre Kondansatörler' çeşitleri arasında yer almaz?
|
Mikalı kondansatörler |
|
Varyabl kondansatörler |
|
Seramik kondansatörler |
|
Elektrolitik kondansatörler |
|
Kağıtlı kondansatörler |
Kullanılan Yalıtkana Göre Kondansatörler
Kondansatörlerde kullanılan yalıtkan malzemelerin yalıtkanlık katsayısı ve delinme gerilimi gibi karakteristik özelliklerinin farklılığı, kondansatörlerin de farklı kullanım alanları ve özelliklere sahip olmasına sebep olur. Ancak kondansatörün devre sembolü, kullanılan yalıtkana göre farklılık göstermez.
Mikalı kondansatörler
Seramik kondansatörler
Kağıtlı kondansatörler
Plastik kondansatörler
Elektrolitik kondansatörler
SMD (Surface Mounted Device) kondansatörler
-
- 1.SORU ÇÖZÜLMEDİ
- 2.SORU ÇÖZÜLMEDİ
- 3.SORU ÇÖZÜLMEDİ
- 4.SORU ÇÖZÜLMEDİ
- 5.SORU ÇÖZÜLMEDİ
- 6.SORU ÇÖZÜLMEDİ
- 7.SORU ÇÖZÜLMEDİ
- 8.SORU ÇÖZÜLMEDİ
- 9.SORU ÇÖZÜLMEDİ
- 10.SORU ÇÖZÜLMEDİ
- 11.SORU ÇÖZÜLMEDİ
- 12.SORU ÇÖZÜLMEDİ
- 13.SORU ÇÖZÜLMEDİ
- 14.SORU ÇÖZÜLMEDİ
- 15.SORU ÇÖZÜLMEDİ
- 16.SORU ÇÖZÜLMEDİ
- 17.SORU ÇÖZÜLMEDİ
- 18.SORU ÇÖZÜLMEDİ