Genel Matematik Ara 17. Deneme Sınavı
Toplam 19 Soru1.Soru
[-3,2] ve [2,4] kapalı aralıklarının birlişimi aşağıdakilerden hangisidir ?
|
(-3,4)
|
|
(2,4)
|
|
[-2,4)
|
|
[-3,4)
|
|
[-3,4]
|
2.Soru
Düzgün dağılmış bir besi ortamındaki bakteri nüfusunu düşünelim. Belli zaman aralıklarında örnek alınarak bakteri nüfusunun her iki saatte bir iki katına çıktığının belirlendiğini varsayalım. t saatle ölçüldüğünde ve başlangıç nüfusu p(0)=100 ise t zamanındaki (p(t)) bakteri nüfusu aşağıdakilerden hangisi olabilir?
|
|
200.t |
|
100t |
|
100+100.2t |
|
Başlangıç nüfusu p(0)=100 ise p(1)=2P(0)=2.100
p(2)=2p(1)=22.100
p(3)=2p(2)=23.100
elde edilir. O halde p(t)=2t.100 olur.
3.Soru
fonksiyonu veriliyor. f(-2)+f(1) kaça eşittir?
|
1 |
|
2 |
|
3 |
|
4 |
|
5 |
Fonksiyon parçalı fonksiyondur ve x=-2 için 2. fonksiyon, x=1 için birinci fonksiyon kullanılmalıdır.
olduğundan f(-2)=1bulunur. 1>0 olduğundan f(1)=-1+1=0 olarak hesaplanır. Bu durumda f(-2)+f(1)=1+0=1 olur. Doğru yanıt A'dır.
4.Soru
sayısı aşağıdakilerden hangisidir?
|
|
|
|
|
2 |
|
3 |
|
5 |
5.Soru
f:R→R, f(x)=5x+2 olmak üzere fˉ¹(7) aşağıdakilerden hangisidir?
|
5
|
|
4
|
|
3
|
|
2
|
|
1
|
6.Soru
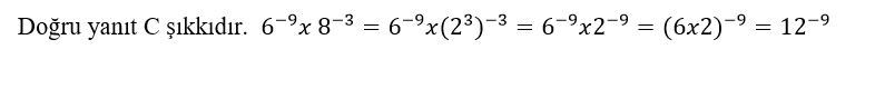
-2-3.(-3)-2 değeri aşağıdakilerden hangisidir?
|
|
|
|
|
|
|
|
|
|
Dolayısıyla doğru cevap D'dir.
7.Soru
|
f(x); kenarı x birim olan bir karenin alanı |
|
f(x); kenarı x birim olan bir üçgenin alanı |
|
f(x); kenarı x birim olan bir eşkenardörtgenin alanı |
|
f(x); kenarı x birim olan bir küpün hacmi |
|
f(x); kenarı x birim olan bir küpün toplam yüzey alanı |
8.Soru
A={1,2,3,5,7,8} ve B={4,6,9} olduğuna göre A?B aşağıdakilerden hangisidir?
|
{1,2,3,5,7,8} |
|
Ø |
|
{4,6,9} |
|
{1,2,3,4,5,6,7,8,9} |
|
3 |
A={1,2,3,5,7,8} ve B={4,6,9} olduğundan ortak bir elemana sahip değiller.
Bu nedenle A?B = Ø olur.
Doğru cevap B şıkkıdır.
9.Soru
Bir babanın yaşı, kızının yaşının 5 katıdır. 3 yıl önce babanın yaşı, kızının yaşının 8 katı olduğuna göre, babanın bugünkü yaşı kaçtır?
|
50
|
|
45
|
|
40
|
|
35
|
|
30
|
10.Soru
A(2,1) ve B(3,-1) noktalarından geçen doğrunun denklemi aşağıdakilerden hangisidir?
|
y = 2x + 5 |
|
y = -2x + 5 |
|
y = -2x +2 |
|
y = 2x -7 |
|
y = 2x + 2 |
11.Soru
2-2x < 4 eşitsizliğinin çözüm kümesi nedir?
|
|
|
|
|
|
|
|
|
|
2-2x <4
2-2-2x < 4-2
-2x < 2
-x < 1
x < -1
buradan;
elde edilir.
13.Soru
Bir besi ortamındaki bakteri popülasyonundan belli zaman aralıklarında örnekler alınmıştır. Buna göre bakteri popülasyonunun her 10 dakika da bir 2 katına çıktığı belirlenmiştir. Başlangıçtaki bakteri sayısı 1000 ise 1 saat sonraki bakteri popülasyonu kaç olur?
|
32000
|
|
64000
|
|
4000
|
|
6000
|
|
16000
|
14.Soru
(-2,5) ve (3,8) açık aralıklarının kesişimi aşağıdakilerden hangisidir?
|
(-2,8)
|
|
(3,5)
|
|
(3,8)
|
|
(0,3)
|
|
(-2,5)
|
15.Soru
f(x)=4x- 1 fonksiyonunun ters fonksiyonu f-1(x) aşağıdakilerden hangisidir?
|
(x+1)/4 |
|
x-1 |
|
x+4 |
|
x-4 |
|
(x-1)/4 |
Fonksiyonun tersini bulmak için f(x)=y eşleşmesi yapılır.
4x – 1 = y
4x = y + 1
Denkleminden x=(y+1)/4 elde edilir. x ve y’lerin yeri değiştirilerek f-1(x)=(x+1)/4 elde edilir.
16.Soru
f(x)= x-1 ve g(x)=x^2+1 ise 2·f(x)+g(x) fonksiyonu aşağıdakilerden hangisidir?
|
2x--1
|
|
x^2-1
|
|
x^2+2x-1
|
|
2x-x^2+1
|
|
x^2-2x+1
|
17.Soru
3(x-5)+8(4-x)=2 denkleminin çözümü aşağıdakilerden hangisidir?
|
2
|
|
3
|
|
4
|
|
5
|
|
6
|
18.Soru
(2, -3) ve (5, 6) noktalarından geçen doğru denklemi aşağıdakilerden hangisidir?
|
y=3x-9 |
|
y=3x+1 |
|
y=3x |
|
y=2x+9 |
|
y=x+1 |
İlk olarak doğrunun eğimi bulalım.
Eğimi 3 olan ve (2, -3) noktasından geçen doğrunun denklemi,
y-(-3)=3(x-2) yani y=3x-9 denklemi olur. Doğru cevap A'dır.
19.Soru
y=3x+7 ve y=x+11 doğrularının kesişim noktalarının koordinatları nedir?
|
(2,2)
|
|
(13,2)
|
|
(3,14)
|
|
(14,3)
|
|
(2,13)
|
-
- 1.SORU ÇÖZÜLMEDİ
- 2.SORU ÇÖZÜLMEDİ
- 3.SORU ÇÖZÜLMEDİ
- 4.SORU ÇÖZÜLMEDİ
- 5.SORU ÇÖZÜLMEDİ
- 6.SORU ÇÖZÜLMEDİ
- 7.SORU ÇÖZÜLMEDİ
- 8.SORU ÇÖZÜLMEDİ
- 9.SORU ÇÖZÜLMEDİ
- 10.SORU ÇÖZÜLMEDİ
- 11.SORU ÇÖZÜLMEDİ
- 12.SORU ÇÖZÜLMEDİ
- 13.SORU ÇÖZÜLMEDİ
- 14.SORU ÇÖZÜLMEDİ
- 15.SORU ÇÖZÜLMEDİ
- 16.SORU ÇÖZÜLMEDİ
- 17.SORU ÇÖZÜLMEDİ
- 18.SORU ÇÖZÜLMEDİ
- 19.SORU ÇÖZÜLMEDİ