Genel Matematik Final 1. Deneme Sınavı
Toplam 20 Soru1.Soru
F'(x)=2e^-2x ve F(0)=2 olan F(x) fonksiyonu aşağıdakilerden hangisidir?
|
e^-2x
|
|
-e^-2x +3
|
|
e^-2x +2
|
|
-e^-2x+ 2
|
|
e^-2x +3
|
2.Soru
f(x)=5x+6 fonksiyonunun x=3 noktasındaki değişim hızı kaçtır?
|
5
|
|
6
|
|
2
|
|
1
|
|
0
|
3.Soru
Bir sınıftaki öğrencilerden kızların sayısı erkeklerin sayısının 4 katından 5 eksiktir. Bu sınıfta toplam 40 öğrenci olduğuna göre, kız öğrencilerin sayısı kaçtır?
|
9 |
|
16 |
|
18 |
|
26 |
|
31 |
Soruda verilenlere göre
ve e=9 bulunur. O halde, sınıfta 40-9=31 kız öğrenci vardır. Doğru cevap E'dir.
4.Soru
F'(x)=-2x ve F(2)=-1 olan F fonksiyonu aşağıdakilerden hangisidir?
|
-x^2+3
|
|
x^2+3
|
|
-x^2-3
|
|
x^2-3
|
|
2x+4
|
5.Soru
f(x)=2x2+5x-3 fonksiyonunun grafiğine (1,2) noktasında çizilen teğet doğrunun denklemi aşağıdakilerden hangisidir?
|
y=7x-7 |
|
y=9x-7 |
|
y=7x+9 |
|
y=7x-5 |
|
y=9x-5 |
f’(x)=4x+5
m=f’(1)=9
y-2=9(x-1)
y=9x-7
7.Soru
Sezon fiyatı 70 lira olan bir malın indirim sezonundaki fiyatı 56 liradır. Buna göre malın fiyatında yüzde kaç indirim yapılmıştır?
|
20
|
|
25
|
|
30
|
|
35
|
|
40
|
8.Soru
x+y=12x-2y=6 sisteminin yerine koyma ile çözümü nedir?
|
(10,1)
|
|
(10,2)
|
|
(11,1)
|
|
(11,2)
|
|
(12,1)
|
9.Soru
Aşağıdaki sayıların hangisi en küçüktür?
|
log 0,0001 |
|
lne6 |
|
log22 |
|
log31/243 |
|
log51/125 |
olduğundan bu sayıların en küçüğü log31/243’dür.
10.Soru
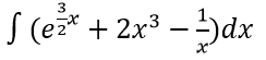
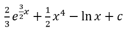
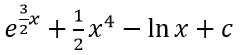
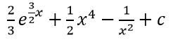
belirsiz integralinin sonucu nedir?
|
|
|
|
|
|
|
|
|
|
İntegral için toplam ve fark kuralları sırasıyla şu şekildedir:
11.Soru
İlk terimi 12 ve yedinci terimi 48 olan aritmetik dizinin ortak farkı kaçtır?
|
3 |
|
4 |
|
5 |
|
6 |
|
7 |
Aritmetik dizinin genel terimi
formülü ile belli olup, k ortak farkı gösterir. 48=12+(7-1)k eşitliğinden ortak fark k=6 olarak bulunur. Doğru yanıt D seçeneğidir.
12.Soru
Bir bankanın aylık faiz oranı %1,8 ise yıllık faiz oranı nedir?
|
23 |
|
25 |
|
28 |
|
30 |
|
32 |
Yıllık faiz oranı Pn-1 formülü ile bulunur. Burada Pn=P(1+r)n bileşik faiz oranı olup, P=1 yatırılan para olsun, r=0,0018 dönemlik faiz oranı, n=12 ay paranın kalacağı dönemdir. Böylece
Pn-1=P(1+r)n-1=(1+0,018)12 -1=0,23
olarak bulunur.
13.Soru
denkleminin çözüm kümesi nedir?
|
{-6,1} |
|
{-6,6} |
|
{-1} |
|
{0} |
|
{-1,1} |
formüllerinden ;
olarak {-6,1} elde edilir.
14.Soru
3x+5y=15 doğrusu ile x+4y=8 doğrusunun kesiştiği noktanın koordinatları nedir?
|
(20/7, 9/7) |
|
(20/9, 9/7) |
|
(20/7, 7/9) |
|
(7, 9) |
|
(9, 7) |
Bu denklem sistemini çözmek için, yani her iki denklemi de sağlayan x ve y sayılarını bulmak için izlenebilecek birçok yöntem vardır. Bu yöntemlerden birisi ilk denklemdeki bilinmeyenlerden birini diğer bilinmeyen cinsinden yazıp ikinci denklemde yerine yazmaktır. Böylece sistem bir bilinmeyenli bir denkleme dönüşür ve bu denklemden bilinmeyen bulunur. Daha sonra bulunan bilinmeyen herhangi bir denklemde kullanılarak diğer bilinmeyen de bulunur. Bu çözüm yöntemine yerine koyma yöntemi denir. Verilen denklem sisteminde birinci denklem olan 3x+5y=15 denkleminden y bilinmeyenini x cinsinden çözdüğümüzde y=(15-3x)/5 =3-3x/5 bulunur. İkinci denklem olan x+4y=8 denkleminde y’nin az önce bulunan x cinsinden eşiti yazılırsa
bulunur.Böylece, y=3-3x/5=9/7 bulunur. O halde verilen doğrusal denklem sisteminin çözümü x=20/7, y=9/7 sayılarıdır. Verilen doğruların kesiştiği noktanın koordinatları (20/7, 9/7) noktasıdır.
15.Soru
f(x)=x2+1 ve g(x)=3x-1 ise (fog)'(x) aşağıdakilerden hangisidir?
|
18x-6 |
|
9x2-6 |
|
3x-6 |
|
18x-3 |
|
9x-3 |
Zincir kuralından (fog)'(x)=f'(g(x)).g'(x) olduğundan; (fog)'(x)=2.(3x-1)(3x-1)'=(6x-2).3=18x-6 olarak bulunur.
16.Soru
3x+2y=142x-5y=3sisteminin çözümünde (x,y) ikilisini bulunuz.
|
(1, 4)
|
|
(4,1)
|
|
(3,2)
|
|
(2,3)
|
|
(0,1)
|
17.Soru
1000000 kişinin yaşadığı bir şehirde nüfus her yıl %20 artmaktadır. Kaç yıl sonra şehrin nüfusu 1728000 olur?
|
1
|
|
2
|
|
3
|
|
4
|
|
5
|
19.Soru
ve
matrisleri için A+B matrisi aşağıdakilerden hangisidir?
|
|
|
|
|
|
|
|
|
|
İki matris toplanırken aynı satır ve sütunda yer elemanlar toplanır. Bu durumda
elde edilir.
20.Soru
Bir sayının %15 İ ile %10'unun toplamı 50 olduğuna göre bu sayı kaçtır?
|
200
|
|
100
|
|
50
|
|
400
|
|
2000
|
-
- 1.SORU ÇÖZÜLMEDİ
- 2.SORU ÇÖZÜLMEDİ
- 3.SORU ÇÖZÜLMEDİ
- 4.SORU ÇÖZÜLMEDİ
- 5.SORU ÇÖZÜLMEDİ
- 6.SORU ÇÖZÜLMEDİ
- 7.SORU ÇÖZÜLMEDİ
- 8.SORU ÇÖZÜLMEDİ
- 9.SORU ÇÖZÜLMEDİ
- 10.SORU ÇÖZÜLMEDİ
- 11.SORU ÇÖZÜLMEDİ
- 12.SORU ÇÖZÜLMEDİ
- 13.SORU ÇÖZÜLMEDİ
- 14.SORU ÇÖZÜLMEDİ
- 15.SORU ÇÖZÜLMEDİ
- 16.SORU ÇÖZÜLMEDİ
- 17.SORU ÇÖZÜLMEDİ
- 18.SORU ÇÖZÜLMEDİ
- 19.SORU ÇÖZÜLMEDİ
- 20.SORU ÇÖZÜLMEDİ