Genel Matematik Final 18. Deneme Sınavı
Toplam 20 Soru1.Soru
f(x)=x2-6x-3 fonksiyonunun grafiğine (1,-8) noktasında çizilecek teğet doğrusunun denklemi nedir?
|
y=2x-6 |
|
y=-2x-6 |
|
y=-x-8 |
|
y=4x-10 |
|
y=-4x-4 |
f'(x)=2x-6, m=f'(x1)=f'(1)=2.1-6=-4 yani eğimi -4 olan bir doğru olup (1,-8) noktasından geçmelidir. Bu durumda y=mx+a=-4x+a doğrusu için -8=-4*1+a ise a=-4 olur. Yani teğetin denklemi y=-4x-4 olacaktır.
2.Soru
integralinin ortalama değeri aşağıdakilerden hangisidir?
|
|
|
|
|
|
|
|
|
|
3.Soru
Ali, Murat’dan iki yaş büyüktür. Murat’ın yaşının üç katı, Ali’nin yaşının iki katından altı fazla ise Ali ile Murat’ın yaşları toplamı nedir?
|
20 |
|
22 |
|
25 |
|
30 |
|
35 |
Murat’ ın yaşı y Ali’nin yaşı x olsun. Ali Murat’dan iki yaş büyük olduğundan x – y = 2 Murat’ın yaşının üç katı Ali’nin yaşını iki katından altı fazla olduğundan 3y – 2x = 6 dır. Bu denklemlerden birincisinde x – y = 2 ise x = y + 2 elde edilir. İkinci denklemde x yerine yazılırsa 3y – 2 (y + 2) = 6 dan y = 10 olur. Buradan da, x = y + 2 den x = 12 olur. Yaşların toplamı x + y = 22 dir.
4.Soru
Gerçel sayılar kümesinden gerçel sayılar kümesine f(x)=x+1 ve g(x)=x fonksiyonları veriliyor. f-g fonksiyonunun kuralı aşağıdakilerden hangisidir?
|
2x
|
|
x-1
|
|
2x-1
|
|
x
|
|
1
|
5.Soru
Bir bankadan %1,75 aylık faiz oranı ve 12 ay vade ile 5000 TL tüketici kredisi çekilirse, aylık geri ödeme taksitleri ne kadar olur?
|
465,56
|
|
456,65
|
|
475,65
|
|
461,23
|
|
459,23
|
6.Soru
f(t)=7t-3 kuralı ile hareket eden bir cismin [4, 1] aralığındaki ortalama hızı nedir?
|
7
|
|
3
|
|
21
|
|
25
|
|
4
|
7.Soru
a = – 1, b = 1, c = 3/2, , d= -3/2
sayılarının küçükten büyüğe sıralanışı aşağıdakilerden hangisinde doğru olarak verilmiştir?
|
d < c < a < b |
|
d < a < b < c |
|
d < a < c < b |
|
a < b < c < d |
|
a < c < d < b |
Verilen sayıları sayı doğrusu üzerinde gösterirsek:
Doğru cevap D şıkkıdır
8.Soru
olmak üzere
ise x nedir?
|
-2 |
|
-1 |
|
0 |
|
1 |
|
2 |
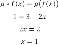
g(f(x)) bulmak için g(x)=3-x fonksiyonunda x yerine f(x)=2x yerleştirilerek g(f(x))=3-2x bulunur.
olduğundan
olur.
9.Soru
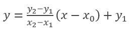
Yukarıdaki doğrunun denklemi aşağıdakilerden hangisidir?
|
x+2y-4=0 |
|
2+y+4=0 |
|
3x-y+4=0 |
|
3x+2y-4=0 |
|
3x+2y+4=0 |
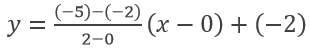
Şekilde verilen doğrunun geçtiği noktalar (x1, y1)=(0, -2) ve (x2, y2)=(2, -5)'dir. Bu değerler doğru denklemine yerleştirilerek
den
ve
bulunur.
10.Soru
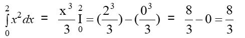
y = x2 parabolü ile x ekseninin; x = 0 ve x = 2 doğruları arasında kalan alanını hesaplayınız.
|
2 |
|
3 |
|
3/8 |
|
8/3 |
|
8 |
y = x2
x = 0 x = 2 doğruları integral sınırları
11.Soru
|
I-II |
|
I-III |
|
II-III |
|
II-IV |
|
II-III-IV |
12.Soru
Aşağıdaki aralıkların hangisinde f(x)=x(x-4) fonksiyonunun artandır?
|
(-3,7)
|
|
(0,3)
|
|
(1,5)
|
|
(1,7)
|
|
(3,7)
|
13.Soru
|
İntegral |
|
İntegralin alt sınırı |
|
İntegralin üst sınırı |
|
Türev |
|
Diferansiyel |
14.Soru
ifadesindeki sembollerin adları hangisinde yanlış verilmiştir?
|
|
|
|
|
|
|
|
|
|
Doğru cevap C'dir.
15.Soru
A = {1,2,3,4} kümesinin kaç tane alt kümesi vardır?
|
16
|
|
8
|
|
6
|
|
4
|
|
2
|
16.Soru
Ortak çarpanı 3 ve ilk terimi 5 olan bir geometrik dizinin 4. terimi aşağıdakilerden hangisidir?
|
135
|
|
45
|
|
405
|
|
15
|
|
25
|
17.Soru
x ekseni boyunca hareket eden cismin hızı metre/saniye cinsinden v(t) = t + 3 fonksiyonu ile verilmiştir. Bu cisim t = 1 ve t = 3 saniyeleri arasında kaç metre yol almıştır?
|
1
|
|
2
|
|
3
|
|
5
|
|
10
|
18.Soru
ise 3A matrisi aşağıdakilerden hangisidir?
|
|
|
|
|
|
|
|
|
|
Bir matrisin herhangi bir katı bulunurken matrisin tüm elemanları o sayıyla çarpılır.
19.Soru
Aşağıdakilerden hangisi cebirsel bir ifade değildir?
|
x = 4 |
|
4x |
|
|
|
4x + 1 |
|
|
Bilinmeyen dediğimiz x, y, z, . . . gibi değişkenleri, 1,2,3, . . . gibi sayıları ve +, -, ×, . . . , kök alma gibi işlemleri içeren ifadelere cebirsel ifade dedir.
Dolayısıyla sorunun doğru cevabı A seçeneğinde verilmiştir.
20.Soru
?x^2 + e^3x-5 dx integralini hesaplayınız.
|
x^3+e^3x+c
|
|
x^3/3+e^x-5x+c
|
|
2x+3e^3x-5x+c
|
|
x^3/3+(e^3x)/3-5x+c
|
|
x^3+3e^3x-5x+c
|
-
- 1.SORU ÇÖZÜLMEDİ
- 2.SORU ÇÖZÜLMEDİ
- 3.SORU ÇÖZÜLMEDİ
- 4.SORU ÇÖZÜLMEDİ
- 5.SORU ÇÖZÜLMEDİ
- 6.SORU ÇÖZÜLMEDİ
- 7.SORU ÇÖZÜLMEDİ
- 8.SORU ÇÖZÜLMEDİ
- 9.SORU ÇÖZÜLMEDİ
- 10.SORU ÇÖZÜLMEDİ
- 11.SORU ÇÖZÜLMEDİ
- 12.SORU ÇÖZÜLMEDİ
- 13.SORU ÇÖZÜLMEDİ
- 14.SORU ÇÖZÜLMEDİ
- 15.SORU ÇÖZÜLMEDİ
- 16.SORU ÇÖZÜLMEDİ
- 17.SORU ÇÖZÜLMEDİ
- 18.SORU ÇÖZÜLMEDİ
- 19.SORU ÇÖZÜLMEDİ
- 20.SORU ÇÖZÜLMEDİ