Genel Matematik Final 27. Deneme Sınavı
Toplam 19 Soru1.Soru
Richter ölçeğine göre 7 büyüklüğündeki bir deprem 5 büyüklüğündeki bir depremle mukayese edildiğinde kaç kat büyüktür?
|
2 |
|
10 |
|
20 |
|
100 |
|
1000 |
Richter ölçeği logaritmik bir fonksiyon olduğundan, her bir birimlik artış yer sarsıntısında 10 katlık artışa denk gelir. 7-5=2 birimlik fazlalık sarsıntıda 102=100 katı artışa karşılık gelir.
2.Soru
Hangi sayının 3 katının 7 eksiği 20'dir?
|
5 |
|
6 |
|
7 |
|
8 |
|
9 |
x aradığımız sayı olsun. Bu durumda,
3x – 7 = 20
3x = 27
x = 27/3
x = 9
elde edilir.
3.Soru
olarak verilen bir fonksiyon için f(4) kaçtır?
|
3 |
|
1 |
|
5 |
|
7 |
|
0 |
olduğundan f(4)=1 olarak bulunur.
5.Soru
Üstten
doğrusu, alttan
parabolü ile sınırlı bölgenin alanı kaç birim karedir?
|
4/3 |
|
8/3 |
|
32/3 |
|
|
|
|
doğrusu ve
parabolünün kesiştiği noktalar
denklemi çözülerek bulunur. Bu denklemin kökleri
dir.Bu sınırlı bölgenin alanı ise, şekilde görüldüğü üzere ABCD dörtgeninin alanı ile kesişme noktaları arasındaki integralin farkına eşittir. Yani:
6.Soru
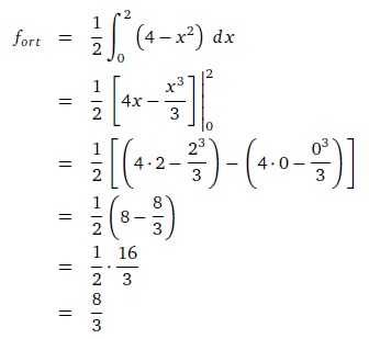
fonksiyonunun ortalama değeri kaçtır?
|
|
|
|
|
|
|
|
|
|
Fonksiyonun ortalama değeri
olarak bulunur. Doğru yanıt C seçeneğidir.
7.Soru
Bir malın fiyatında %30 indirim yapıldıktan sonra yeni fiyat üzerinden %10 zam yapılıyor. Buna göre malın fiyatı başlangıç fiyatına göre nasıl değişmiştir?
|
%16 indirim yapılmıştır.
|
|
%23 indirim yapılmıştır.
|
|
% 8 indirim yapılmıştır.
|
|
% 4 zam yapılmıştır.
|
|
% 2 zam yapılmıştır.
|
8.Soru
Dört tane tost ve 2 bardak çay için 21 TL ödeyen bir kişi, 1 tane tost ve 2 tane çaya 6 TL ödemiştir. Buna göre tost (t) ve çayın (ç) birim fiyatları arasındaki ilişki nedir?
|
2t=9ç |
|
3t=5ç |
|
t=10ç |
|
t=5ç |
|
10t=ç |
9.Soru
Aşağıdakilerden hangisi f(x)=(1-2x)² fonksiyonunun yerel minimum değeridir?
|
0
|
|
1/2
|
|
-1/2
|
|
3/2
|
|
-3/2
|
10.Soru
1,-3,-7.-11 serisinin ortak farkı nedir ?
|
2
|
|
-2
|
|
-4
|
|
4
|
|
0
|
11.Soru
f (x) = ln(x) fonksiyonu veriliyor. Buna göre 2f' (2) - 4f" (2) ifadesinin değeri kaçtır?
|
0
|
|
2
|
|
-2
|
|
-1
|
|
1
|
12.Soru
f(x)= 6x-12 ise fonksiyonunun x=2 noktasındaki anlık hızı nedir?
|
0
|
|
2
|
|
6
|
|
-6
|
|
-2
|
13.Soru
Bir öğretmen öğrencilerine dağıtmak için fiyatı 4 lira olan defterlere ve fiyatı 3 lira olan kalemlere toplam 150 lira para ödüyor. Öğretmen defter ve kalemlerden toplam 40 tane aldığına göre kaç tane defter satın almıştır?
|
10
|
|
20
|
|
25
|
|
30
|
|
35
|
14.Soru
Pozitif bir sayının %5’i ile %7’sinin çarpımı 0,35 olduğuna göre bu sayı aşağıdakilerden hangisidir?
|
7 |
|
8 |
|
9 |
|
10 |
|
11 |
Bulmak istediğimiz sayıyı x ile gösterelim. Bu durumda x sayısının %5’i 5x/100 ve %7 si 7x/100 sayıların çarpımı 0,35 olduğundan x’i bulmak için
denklemini çözmeliyiz.
ise x2=700/7=100 ve x=10 bulunur. Doğru cevap D'dir.
15.Soru
fonksiyonunun (0, 2) aralığı üzerindeki ortalama değeri aşağıdakilerden hangisidir?
|
4 |
|
2 |
|
8/3 |
|
9/4 |
|
6/4 |
Fonksiyonun ortalama değeri 8/3'tür. Yani yaklaşık olarak 2.66'dır. Dolayısıyla doğru cevap C'dir.
16.Soru
h(x)=(2+5x)2 fonksiyonu için h'(3) değeri aşağıdakilerden hangisidir?
|
120 |
|
170 |
|
220 |
|
270 |
|
320 |
h'(x)=2.(2+5x)'.(2+5x)=2.5.(2+5x)=20+50x olur. h'(3)=20+50.3=170 olur.
17.Soru
Bir markette sabunlar üçerli ve ikişerli paketler halinde satılmaktadır. Üçlü paket içindeki sabunların birim fiyatı, ikili paket içindeki sabunların birim fiyatından %10 ucuzdur. Bu markette üçlü paketin satış fiyatı, ikili paketin satış fiyatından 7 TL fazla olduğuna göre ikili paketin satış fiyatı kaç TL’dir?
|
14 |
|
20 |
|
27 |
|
30 |
|
40 |
İkili paketteki sabunların tanesinin fiyatı 10x olsun. Üçlü paketteki sabunların tane fiyatı ikili pakettekinden %10 daha ucuz olduğuna göre 10x.(10/100)=x olur, yani üçlü paketteki sabunların birim fiyatı 9x olur. Buradan ikili paketin fiyatı 20x, üçlü paketin fiyatı 27x bulunur. Aradaki fark 27x-20x=7 TL olduğuna göre x=1 TL’dir. O halde ikili paketin satış fiyatı 20 TL’dir.
18.Soru
Ortak çarpanı 4 ve beşinci terimi 3072 olan bir geometrik dizinin ilk terimi aşağıdakilerden hangisidir?
|
12 |
|
10 |
|
9 |
|
5 |
|
4 |
Geometrik dizinin genel terimi an=a1.rn-1olarak ifade edilmektedir. Buradan n=5, a5=3072 ve r=4 yerine yazılırsa, a5=a1.45-1 bulunur ve 3072= a1.44 yazılabilir. Buradan da a1=3072/256 ve a1=12 bulunur. Doğru yanıt A seçeneğidir.
19.Soru
Hangi sayının %70 i ile % 40 ının toplamı 132 eder?
|
104
|
|
108
|
|
112
|
|
120
|
|
128
|
-
- 1.SORU ÇÖZÜLMEDİ
- 2.SORU ÇÖZÜLMEDİ
- 3.SORU ÇÖZÜLMEDİ
- 4.SORU ÇÖZÜLMEDİ
- 5.SORU ÇÖZÜLMEDİ
- 6.SORU ÇÖZÜLMEDİ
- 7.SORU ÇÖZÜLMEDİ
- 8.SORU ÇÖZÜLMEDİ
- 9.SORU ÇÖZÜLMEDİ
- 10.SORU ÇÖZÜLMEDİ
- 11.SORU ÇÖZÜLMEDİ
- 12.SORU ÇÖZÜLMEDİ
- 13.SORU ÇÖZÜLMEDİ
- 14.SORU ÇÖZÜLMEDİ
- 15.SORU ÇÖZÜLMEDİ
- 16.SORU ÇÖZÜLMEDİ
- 17.SORU ÇÖZÜLMEDİ
- 18.SORU ÇÖZÜLMEDİ
- 19.SORU ÇÖZÜLMEDİ