Genel Matematik Final 35. Deneme Sınavı
Toplam 19 Soru1.Soru
h(x)=(x3+2)/3 ise h'(x) aşağıdakilerden hangisidir?
|
(x2+2)/3 |
|
x2/3 |
|
x2 |
|
x2+3 |
|
x+3 |
Verilen fonksiyonu aşağıdaki gibi düzenleyelim:
Bu durumda h fonksiyonunun türevi;
şeklinde elde edilir. Doğru cevap C seçeneğidir.
2.Soru
Bir bankadan %1,75 aylık faiz oranı ve 24 ay vade ile 5000 TL tüketici kredisi çekilirse, aylık geri ödeme taksitleri ne kadar olur?
|
256,92
|
|
265,29
|
|
249,65
|
|
238,23
|
|
270,15
|
3.Soru
Bir bankanın aylık faiz oranı %2.3 ise yıllık faiz oranı aşağıdakilerden hangisidir?
|
25
|
|
31
|
|
36
|
|
27
|
|
42
|
5.Soru
ve
olduğuna göre
aşağıdakilerden hangisidir?
|
1 |
|
2 |
|
3 |
|
4 |
|
5 |
f(4)=42=16 olduğundan
olur. Doğru cevap E'dir.
6.Soru
Bir bankadan %1,5 aylık faiz oranı ve 12 ay vade ile 5000 TL tüketici kredisi çekilirse, aylık geri ödeme taksitleri ne kadar olur?
|
458,39
|
|
470,53
|
|
440,68
|
|
453,92
|
|
462,78
|
7.Soru
Ortak çarpanı 2 ve ilk terimi 3 olan bir geometrik dizinin beşinci terimi aşağıdakilerden hangisidir?
|
12
|
|
24
|
|
48
|
|
96
|
|
192
|
8.Soru
f(x)=x2-2x fonksiyonunun artan olduğu en geniş aralık aşağıdakilerden hangisidir?
|
(-1, 1) |
|
(0, ∞) |
|
|
|
(1, ∞) |
|
|
Fonksiyonun birinci türevinin sıfıra eşit olduğu nokta f'(x)=2x-2=0, x=1 olarak bulunur. Türev fonksiyonu f’(x), x değerleri 1’den büyükken pozitif değerler aldığından olduğundan fonksiyonun artan olduğu en geniş aralık (1, ∞) aralığı olur.
9.Soru
y = x2 parabolü ile x ekseninin; x = 0 ve x = 2 doğruları arasında kalan alanını hesaplayınız.
|
2 |
|
3 |
|
3/8 |
|
8/3 |
|
8 |
y = x2 ile x = 0 x = 2 doğrularının integral sınırları
10.Soru
Aşağıdaki seçeneklerden hangisi yanlıştır?
|
|
|
[0] bir sıfır matristir. |
|
|
|
A ve B iki matris olmak üzere A.B=B.A’dır |
|
Sadece bir satırdan oluşan matrise satır matrisi denir. |
Bir matrisin boyutu yazılırken önce satır sayısı yazılır ve “x” işareti konularak devamında sütun sayısı yazılır. A şıkkı doğrudur. Tüm elemanları 0 olan matris sıfır matristir. B şıkkı doğrudur. Satır ve sütun sayısı eşit olan matrislere kare matris denir. C şıkkı doğrudur. Sadece bir satırdan oluşan matrise satır matrisi denir ve E şıkkı doğrudur. Ancak matrislerde çarpma işleminin değişme özelliği yoktur. Yanlış olan ifade D seçeneğinde yer almaktadır. Doğru cevap D’dir.
11.Soru
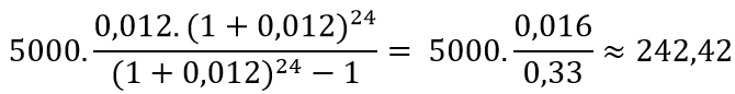
Bir bankadan %1,2 faiz oranı ve 24 ay vade ile 5000 TL tüketici kredisi çekilirse toplam yaklaşık kaç TL faiz ödenir?
|
818 |
|
838 |
|
858 |
|
878 |
|
898 |
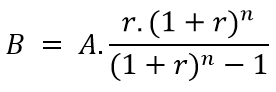
borç amortismanı formülünde n=24, r=0,012, A=5000 değerlerini formülde yerine yazalım.
TL olur.
olur. Yaklaşık olarak 818 TL faiz ödenir.
12.Soru
x ekseni boyunca hareket eden bir cismin hızı v(t)=t+1 formülü ile veriliyor. Bu cisim t=0 anında orjinde olduğuna göre bu cismin konum fonksiyonu hangisidir.
|
4t
|
|
1/2t*t+t
|
|
2t+1
|
|
t3
|
|
t2+t
|
13.Soru
f(x)=Ix-2I ise f fonksiyonunun x=2 noktasındaki türevi kaçtır?
|
1
|
|
-1
|
|
Yoktur
|
|
2
|
|
-2
|
14.Soru
f(x)=2x^2-3x fonksiyonunun (2,2) noktasından çizilecek teğet doğrusunun denklemi aşağıdakilerden hangisidir?
|
y=3x+4
|
|
y=5x-8
|
|
y=8x-2
|
|
y=2x+2
|
|
y=x-5
|
15.Soru
Bir bankanın aylık faiz oranı %1,4 ise yıllık faiz oranı aşağıdakilerden hangisidir?
|
1,30
|
|
1,80
|
|
2,20
|
|
2,30
|
|
1,18
|
16.Soru
Bir bankadan %0.95 aylık faiz oranı ile 20000 TL otomobil kredisi alan bir kişi geri ödemeyi 900 TL eşit taksitle yapmak istediğinde borcu kaç ayda biter?
|
23
|
|
24
|
|
25
|
|
26
|
|
27
|
17.Soru
f(x)=(x-1)^(1/2) fonksiyonun tanım kümesi aşağıdakilerden hangisidir?
|
(-∞,∞)
|
|
(-∞,1)
|
|
(-∞,1]
|
|
[1,∞)
|
|
(1,∞)
|
18.Soru
Yarısının 6 fazlası 8 den büyük olan sayıların kümesi aşağıdakilerden hangisidir?
|
(-∞, 2)
|
|
(2, ∞)
|
|
(4, ∞)
|
|
(-∞, 4)
|
|
{4}
|
19.Soru
Bir matrisin sütun matrisi olabilmesi için sütun sayısının kaç olması gerekir?
|
1
|
|
2
|
|
3
|
|
4
|
|
5
|
-
- 1.SORU ÇÖZÜLMEDİ
- 2.SORU ÇÖZÜLMEDİ
- 3.SORU ÇÖZÜLMEDİ
- 4.SORU ÇÖZÜLMEDİ
- 5.SORU ÇÖZÜLMEDİ
- 6.SORU ÇÖZÜLMEDİ
- 7.SORU ÇÖZÜLMEDİ
- 8.SORU ÇÖZÜLMEDİ
- 9.SORU ÇÖZÜLMEDİ
- 10.SORU ÇÖZÜLMEDİ
- 11.SORU ÇÖZÜLMEDİ
- 12.SORU ÇÖZÜLMEDİ
- 13.SORU ÇÖZÜLMEDİ
- 14.SORU ÇÖZÜLMEDİ
- 15.SORU ÇÖZÜLMEDİ
- 16.SORU ÇÖZÜLMEDİ
- 17.SORU ÇÖZÜLMEDİ
- 18.SORU ÇÖZÜLMEDİ
- 19.SORU ÇÖZÜLMEDİ