Genel Matematik Final 4. Deneme Sınavı
Toplam 19 Soru1.Soru
Eşitsizliklerin çözümü ile ilgili aşağıda verilen ifadelerden hangisi daima doğrudur?
|
Eşitsizliğin bir tarafına negatif sayı eklenirse eşitsizlik yön değiştirir |
|
Eşitsizliğin her iki tarafına aynı negatif sayı eklenirse eşitsizlik yön değiştirir |
|
Eşitsizliğin her iki tarafı aynı pozitif sayı ile bölünürse eşitsizlik yön değiştirir |
|
Eşitsizliğin bir tarafı pozitif sayı ile çarpılırsa eşitsizlik yön değiştirmez |
|
Eşitsizliğin her iki tarafından aynı negatif sayı çıkarılırsa eşitsizlik yön değiştirmez |
Eşitsizliklerin çözümünde eşitsizliklerle ilgili bazı özellikler kullanılır. Bunlar,
- Bir eşitsizliğin iki tarafına aynı sayının eklenmesi veya iki tarafından aynı sayının çıkarılması durumunda eşitsizlik bozulmaz.
- Bir eşitsizliğin iki tarafının pozitif bir sayı ile çarpılması veya bölünmesi durumunda eşitsizlik bozulmaz.
- Bir eşitsizliğin iki tarafının negatif bir sayı ile çarpılması veya bölünmesi durumunda eşitsizlik yön değiştirir.
Dolayısıyla sorunun doğru cevabı E seçeneğinde verilmiştir.
4.Soru
Bir malın satışından %20 kar eden bir satıcı satış sonucunda 100 TL kar elde ettiğine göre satıcının başlangıçtaki sermayesi kaç TL’dir?
|
200 |
|
300 |
|
400 |
|
500 |
|
600 |
20 lira kar ettiği her satışta maliyet 100 liradır. 100 lira kar ettiği satış sonunda maliyet x liradır. Buradan x=500 bulunur.
5.Soru
İki bilinmeyenli doğrusal denklem sistemleri için aşağıda verilenlerden hangisi doğrudur?
|
İki bilinmeyenli doğrusal denklem sisteminde yalnızca iki denklem vardır.
|
|
İki bilinmeyenli doğrusal denklem sisteminde iki veya daha fazla iki bilinmeyenli doğrusal denklem olabilir.
|
|
İki bilinmeyenli doğrusal denklem sistemindeki bazı denklemler ikiden fazla bilinmeyen içerebilir.
|
|
İki bilinmeyenli doğrusal denklem sistemindeki bilinmeyenlerin katsayıları aynı olmalıdır.
|
|
İki bilinmeyenli doğrusal denklem sistemindeki bilinmeyenlerin katsayıları daima farklı olmalıdır.
|
8.Soru
f(x)=12x-2x2 fonksiyonunun yerel maksimum değeri nedir?
|
0 |
|
3 |
|
6 |
|
12 |
|
18 |
f'(x)=12-4x=0, f''(x)=-4<0 olduğu için x=3 yerel maksimum apsisidir. Fonksiyonda x=3 yerine yazılarak yerel maksimum değeri bulunur. f(3) = 12.3 – 2.32= 18
9.Soru
f (x) = ln(x) foknsiyonunun x = 1 noktasında ikinci türevinin değeri kaçtır?
|
-1
|
|
2
|
|
1
|
|
0
|
|
-2
|
10.Soru
4 katının 5 fazlası karesinden büyük olan tam sayıların toplamı aşağıdakilerden hangisidir?
|
10 |
|
12 |
|
14 |
|
16 |
|
18 |
13.Soru
fonksiyonunun x=1 noktasındaki türevi aşağıdakilerden hangisidir?
|
1/2 |
|
1 |
|
4/3 |
|
2 |
|
5 |
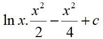
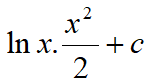
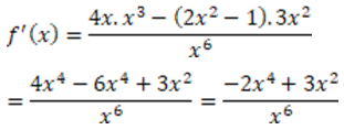
f fonksiyonu iki fonksiyonun bölümü şeklindedir. Bölümün türevini uygularsak;
elde edilir. Fonksiyonun türevinin x=1’deki değeri sorulduğundan x görülen yere 1 yazılırsa f'(1)=1 olur.
14.Soru
y=x doğrusunun altında ve y=x3 eğrisinin üstünde , kalan bölgenin alanı aşağıdakilerden hangisidir?
|
1/4 |
|
2/4 |
|
3/4 |
|
1 |
|
5/4 |
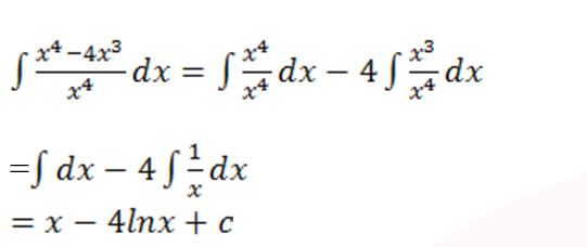
integralini hesaplarsak yani üsteki eğriden alttaki eğriyi çıkartırsak,
16.Soru
Aylık enflasyon oranı %0,5 olan bir ülkede Ocak ayında 30 Tl olan bir ürünün yıl sonundaki fiyatı nedir?
|
29,25
|
|
30,05
|
|
31
|
|
31,85
|
|
32,65
|
17.Soru
f(x)=-3x2+x-3 fonksiyonunun grafiğine (-1,1) noktasında çizilecek teğet doğrusunun denklemi aşağıdakilerden hangisidir?
|
y=3x+1 |
|
y=5x |
|
y=5x+1 |
|
y=7x |
|
y=7x+1 |
f'(x)=-6x+1 olduğundan m=f'(1)=7 olur. Fonksiyonun x=-1 noktasındaki değeri ise f(-1)=-3(-1)2+(-1)-3=-7 ‘dir. Eğimi m=7 ve (-1, -7) noktasından geçen teğet denklemi y+7=7(x+1) olur. Bu eşitliği düzenlersek y=7x doğru denklemi elde edilir.
19.Soru
Yarılanma ömrü 25 yıl olan bir radyoaktif maddeden 600 gram vardır. Buna göre 100 yıl sonra bu maddeden kaç gram kalır?
|
37,5
|
|
75
|
|
100
|
|
150
|
|
300
|
-
- 1.SORU ÇÖZÜLMEDİ
- 2.SORU ÇÖZÜLMEDİ
- 3.SORU ÇÖZÜLMEDİ
- 4.SORU ÇÖZÜLMEDİ
- 5.SORU ÇÖZÜLMEDİ
- 6.SORU ÇÖZÜLMEDİ
- 7.SORU ÇÖZÜLMEDİ
- 8.SORU ÇÖZÜLMEDİ
- 9.SORU ÇÖZÜLMEDİ
- 10.SORU ÇÖZÜLMEDİ
- 11.SORU ÇÖZÜLMEDİ
- 12.SORU ÇÖZÜLMEDİ
- 13.SORU ÇÖZÜLMEDİ
- 14.SORU ÇÖZÜLMEDİ
- 15.SORU ÇÖZÜLMEDİ
- 16.SORU ÇÖZÜLMEDİ
- 17.SORU ÇÖZÜLMEDİ
- 18.SORU ÇÖZÜLMEDİ
- 19.SORU ÇÖZÜLMEDİ