Genel Matematik Final 42. Deneme Sınavı
Toplam 19 Soru1.Soru
f(t)= 4 t^3 kuralı ile hareket eden bir cismin [1,4] aralığındaki ortalama hızı nedir?
|
64
|
|
74
|
|
84
|
|
94
|
|
104
|
2.Soru
1+2+.....+120 toplamı nedir?
|
7000 |
|
7020 |
|
7260 |
|
7270 |
|
7290 |
Doğru cevap C seçeneğidir.
3.Soru
Bir annenin yaşı, oğlunun yaşının 8 katıdır. 4 yıl sonra annenin yaşı, oğlunun yaşının 4 katı olacağına göre, annenin şimdiki yaşı aşağıdakilerden hangisidir?
|
24
|
|
28
|
|
32
|
|
36
|
|
40
|
4.Soru
28 kişilik bir sınıfta her öğrenci voleybol veya basketbol sporlarından en az birisini yapmaktadır. 12 kişi yalnızca voleybol 10 kişi de yalnızca basketbol oynadığına göre her iki sporu yapan kaç kişi vardır?
|
6
|
|
5
|
|
4
|
|
8
|
|
10
|
5.Soru
Bir sistemin katsayılar matrisinin boyutu 2x4 ise sistemdeki bilinmeyen sayısı kaça eşittir?
|
4
|
|
6
|
|
8
|
|
2
|
|
1
|
6.Soru
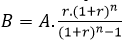
Bir bankadan %1,2 aylık faiz oranı ve 12 ay vade ile 10.000TL evlilik kredisi çeken bir kişinin borcunun amortismanı sonucunda ödediği toplam faiz miktarı nedir?
|
566 |
|
797 |
|
899 |
|
966 |
|
1097 |
Geri ödeme borç amortismanı formülünde
verilenler yerine yazılırsa; n=12 r=0,012 A=10000 için
B= 899,75 x 12= 10797
10797 – 10000 = 797
7.Soru
ve
ise A.B matrisinin 2. satır 1. sütun elemanı aşağıdakilerden hangisidir?
|
6 |
|
7 |
|
8 |
|
9 |
|
10 |
A’nın 2. satırı ile B’nin 1. sütununun karşılıklı öğeleri çarpılıp toplandığında
-1.(-1)+2.1+3.2=1+2+6=9 bulunur. Doğru cevap D'dir.
8.Soru
f (x) = 2x^2+3x-4 fonksiyonun grafiğine (0,-4) noktasında çizilecek teğet doğrusunun denklemi aşağıdakilerden hangisidir?
|
y=2x+4
|
|
y=3x-4
|
|
y=3x+6
|
|
y=2x-4
|
|
y=4x+3
|
9.Soru
Bir mağazada 120 TL olan bir pantolonun %20 oranında bir indirimle satış fiyatı aşağıdakilerden hangisidir?
|
100
|
|
96
|
|
24
|
|
56
|
|
20
|
10.Soru
Bir birim matrisin köşegenindeki elemanları toplamı 5 olduğuna göre bu matrisin eleman sayısı kaçtır ?
|
5
|
|
10
|
|
15
|
|
20
|
|
25
|
11.Soru
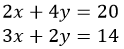
denklem sisteminin katsayılar matrisi aşağıdakilerden hangisidir?
|
|
|
|
|
|
|
|
|
|
Bu denklem sisteminin katsayılarından oluşan matris sırasıyla x ve y ifadelerinin önündeki katsayılardan oluşturulan matristir. Yani
matrisidir.
12.Soru
Sezon fiyatı 220TL olan bir koltuk indirimle 165TL’ye düşmüştür. Mağazanın koltuk için uyguladığı indirim oranı nedir?
|
12 |
|
15 |
|
20 |
|
22 |
|
25 |
220 – 165 = 55 TL indirim olmuştur. 55/220 =0,25 olur. Yani %25’e denk gelir.
13.Soru
(-1,1) ve (-3,2) aralıklarının kesişimi aşağıdakilerden hangisidir?
|
(-1,1)
|
|
(-3,2)
|
|
(-3,-1)
|
|
(-3,1)
|
|
(-1,2)
|
14.Soru
|
|
|
|
|
|
|
|
|
|
Bu soruda doğrudan integral alınarak hesap yapılabilir. Biz biraz daha farklı bir yol izleyeceğiz. Bir fonksiyonun her
için
noktasındaki değeri
noktasındaki değerinin eksilisi ise bu fonksiyona tek fonksiyon denir ve orijine göre simetrik bir aralıkta tek fonksiyonun integrali sıfırdır.
Verilen integrale dikkatli bakıldığında fonksiyonun tek fonksiyon olduğu görülür. Diğer taraftan integral aralığının
aralığı orijine göre simetriktir. Böylece integral değeri 0 olarak bulunur. Doğru cevap A seçeneğidir.
15.Soru
denklem sisteminin çözümü nedir?
|
(x, y, z)=(-1, 3, 1) |
|
(x, y, z)=(1, -1, 3) |
|
(x, y, z)=(1, 3, -1) |
|
(x, y, z)=(-1, 1, 3) |
|
(x, y, z)=(3, -1, 1) |
Her üç denklemi de sağlayan (x, y, z) üçlüsünü bulmalıyız. Bunun için birinci ve ikinci denklemi 2 ile çarpıp denklem sistemini yeniden yazdığımızda
denklem sistemini elde ederiz. Bu yeni denklem sistemindeki birinci denklemden ikinci denklemi çıkararak 2x-2y=-4 denklemini ve ikinci denklemden üçüncüyü çıkararak x+3y=2 denklemini elde ederiz. Bu durumda her ikisi de yalnızca x ve y bilinmeyenlerini içeren iki doğrusal denkleme ulaşmız oluruz. Şimdi amacımız iki bilinmeyenli
doğrusal denklem sistemini çözmek olacaktır. Bu sistemi çözmek için yok etme yöntemini kullanalım. Birinci denklemi 3 ile, ikinci denklemi 2 ile çarptığımızda
denklem sistemine ulaşırız. Denklemleri taraf tarafa topladığımızda 8x=-8 denklemine ulaşırız ve buradan x=-1 bulunur.
denklem sistemindeki denklemlerden herhangi birinde x=-1 kullanılarak y=1 bulunur. Son olarak
denklem sistemindeki herhangi bir denklemde x=-1 ve y=1 yerine yazılarak z=3 bulunur. O halde (x, y, z)=(-1, 1, 3) üçlüsü verilen denklem sisteminin bir çözümüdür.
16.Soru
ifadesinin a, b, c'nin logaritması türünden yazımı aşağıdakilerden hangisidir?
|
|
|
|
|
|
|
|
|
|
Dolayısıyla doğru cevap C'dir.
17.Soru
Bir bankanın aylık faiz oranı %1,03 ise yıllık faiz oranı aşağıdakilerden hangisidir?
|
%10 |
|
%13 |
|
%15 |
|
%17 |
|
%20 |
Pn=P(1+r)n formülünde P=1, n=12, r=0,0103 olarak ele alalım. Böylece Pn=1,13 bulunur. Bu da 1 liranın 12 ay sonunda yani bir yıl sonunda 1,13 liraya yükseldiği anlamına gelir. O halde yıllık faiz 0,13 yani %13 bulunur. Doğru cevap B'dir.
18.Soru
A = { a, b, c, d, e, f } kümesinin kaç tane alt kümesi vardır?
|
64
|
|
32
|
|
16
|
|
8
|
|
2
|
19.Soru
Richter ölçeğine göre 7 büyüklüğündeki bir deprem, 4 büyüklüğündeki depremden kaç kat daha büyüktür?
|
10
|
|
20
|
|
50
|
|
100
|
|
1000
|
-
- 1.SORU ÇÖZÜLMEDİ
- 2.SORU ÇÖZÜLMEDİ
- 3.SORU ÇÖZÜLMEDİ
- 4.SORU ÇÖZÜLMEDİ
- 5.SORU ÇÖZÜLMEDİ
- 6.SORU ÇÖZÜLMEDİ
- 7.SORU ÇÖZÜLMEDİ
- 8.SORU ÇÖZÜLMEDİ
- 9.SORU ÇÖZÜLMEDİ
- 10.SORU ÇÖZÜLMEDİ
- 11.SORU ÇÖZÜLMEDİ
- 12.SORU ÇÖZÜLMEDİ
- 13.SORU ÇÖZÜLMEDİ
- 14.SORU ÇÖZÜLMEDİ
- 15.SORU ÇÖZÜLMEDİ
- 16.SORU ÇÖZÜLMEDİ
- 17.SORU ÇÖZÜLMEDİ
- 18.SORU ÇÖZÜLMEDİ
- 19.SORU ÇÖZÜLMEDİ