Genel Matematik Final 44. Deneme Sınavı
Toplam 20 Soru1.Soru
5(3x-1)-4(2x+2)=2x+2 denkleminin çözümü aşağıdakilerden hangisidir?
|
3
|
|
4
|
|
5
|
|
6
|
|
7
|
2.Soru
Sezon fiyatı 150 TL olan bir kazağın fiyatı 130 TL’ye düşmüştür. Bu durumda kazaktaki indirim oranı aşağıdakilerden hangisidir?
|
12,1 |
|
13,3 |
|
14,2 |
|
15,6 |
|
16 |
Ayakkabı fiyatındaki düşüş 150-130=20TL
olur.
3.Soru
y=2x-2 doğrusunun grafiği aşağıdakilerden hangisidir?
|
|
|
|
|
|
|
|
|
|
Verilen ifade bir doğru belirtmektedir. Bir doğruyu çizebilmek için en az iki noktanın bilinmesi gerekmektedir. Doğrunun grafiği x=0 için y=-2 olduğundan doğru (0,-2) noktasından ve y=0 için 0=2x-2 olup x=1 olduğundan (1,0) noktasından geçer. iki nokta birleştirildiğinde ortaya çıkan grafiğin B seçeneğinde gösterilen grafik olduğu görülür.
4.Soru
7-2x≤x-2 eşitsizliğinin çözüm kümesi aşağıdakilerden hangisidir?
|
[1,6)
|
|
[3,∞)
|
|
(-∞,3)
|
|
[0,4]
|
|
[3,6)
|
5.Soru
Bir teknoloji ürünleri mağazasında bir dizüstü bilgisayarın fiyatı 3000 TL’den 2640 TL’ye indirildiyse, mağazanın bilgisayarın fiyatına uyguladığı indirim oranı yüzde kaçtır?
|
10 |
|
12 |
|
14 |
|
15 |
|
16 |
Bilgisayarın fiyatında 3000-2640=360 TL mutlak azalma gerçekleştiğine göre, eşitliğinden indirim oranını x=12, yani % 12 olarak elde ederiz. Doğru cevap B'dir.
6.Soru
Aşağıdaki sayılardan hangisinin %13'ü ile %12'sinin toplamı 50 eder?
|
100
|
|
120
|
|
150
|
|
200
|
|
250
|
8.Soru
Aşağıdakilerden hangisi yanlıştır?
|
İvme birim zamandaki hız değişimidir.
|
|
Konum fonksiyonunun zamana göre türevi hızı verir.
|
|
Hız fonksiyonunun zamana göre türevi ivmeyi verir.
|
|
Konum fonksiyonunun iki kere zamana göre türevi ivmeyi verir.
|
|
Hız fonksiyonunun iki kere zamana göre türevi ivmeyi verir.
|
9.Soru
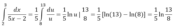
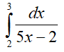
integralinin değeri nedir?
|
1/3 ln(13/8) |
|
1/5 ln(13/8) |
|
ln(13/8) |
|
1/5 ln(11/8) |
|
1/5 ln(13/4) |
5x – 2 = u değişken değişimi yaparsak 5dx = du ve dx = 1/5 du olur. İntegralin sınırları ise u=5*3-2=13 ve u=5*2-2=8 olur. Buna göre
elde edilir.
10.Soru
Ortak çarpanı 3 ve ilk terimi 7 olan bir geometrik dizinin üçüncü terimi ile beşinci teriminin toplamı aşağıdakilerden hangisidir?
|
360
|
|
400
|
|
525
|
|
630
|
|
567
|
11.Soru
Bir babanın şimdiki yaşı oğlunun yaşının 4 katıdır. 5 yıl sonra babanın yaşı oğlunun yaşının 3 katının 1 eksiği olacağına göre babanın şimdiki yaşı kaçtır?
|
36
|
|
37
|
|
38
|
|
39
|
|
40
|
12.Soru
10 milyarın 10 tabanına logaritmasının 10 tabanına göre logaritması kaçtır?
|
1
|
|
2
|
|
5
|
|
10
|
|
1000
|
13.Soru
İki arkadaş sayı tutma oyunu oynuyor. Ayşe bir sayı tutuyor, Mustafa’nın bilmesini istiyor. Mustafa ipucu istiyor. Ayşe “Tuttuğum sayının 5 eksiğinin 5 katı, aynı sayının 6 katından 60 eksiktir” dediğine göre Ayşe’nin tuttuğu sayı kaçtır?
|
15 |
|
25 |
|
35 |
|
45 |
|
55 |
Ayşe’nin tuttuğu sayı x olsun.
Bu sayının 5 eksiğinin 5 katı 5(x-5) olur.
Aynı sayının 6 katının 60 eksiği ise 6x – 60 olacaktır. Dolayısıyla tutulan sayı 5(x-5) = 6x – 60 denkleminin çözümü olacaktır.
Denklemi çözelim:
5x – 25 = 6x – 60
60 – 25 = 6x – 5x
35 = x elde edilir.
Sorunun doğru cevabı C seçeneğinde verilmiştir.
14.Soru
fonksiyonunun
aralığının
noktalarından oluşan bölüntüsü için Riemann toplamını bulunuz.
|
|
|
|
|
|
|
|
|
|
Riemann toplamını hesaplamak için verilen bölüntünün belirlediği alt aralıkların uzunlukları ile o aralığın sağ ucunun fonksiyon altındaki değeri çarpılarak toplanır.
Bölüntünün belirlediği alt aralıklar: şeklindedir ve her bir alt aralığın uzunluğu
dir. Yani her alt aralık için
dir. Şimdi de her bir alt aralıktaki sağ ucun değerini hesaplayalım:
Bu değerleri her bir alt aralığın uzunluğu ile çarpıp toplamalıyız.
Böylece aranan Riemann toplamı
olarak bulunur.
Doğru cevap E seçeneğidir.
15.Soru
1’den 30’a kadar ardışık tamsayıların toplamı kaçtır?
|
435 |
|
450 |
|
465 |
|
475 |
|
500 |
1’den n’ kadar ardışık sayıların toplamı
şeklinde hesaplanır. Buna göre
1+2+...+30=30*31/2=465 olur.
16.Soru
Yıllık % 25 basit faizle bankaya yatırılan bir miktar para 12 ay sonra faiziyle birlikte 250 TL olarak çekiliyor. Buna göre, bankaya yatırılan anapara kaç YTL dir?
|
200
|
|
100
|
|
250
|
|
150
|
|
300
|
17.Soru
Bir bankanın aylık faiz oranı %1,5 ise yıllık faiz oranı yaklaşık olarak kaçtır?
|
19,5 |
|
18 |
|
17,5 |
|
16 |
|
15,5 |
formülünde faiz oranı r=0,015, P=1 ve n=12 alırsak, 1 yılda 1 lira
lira olur. Böylece (1,195-1)*100=19,5 yıllık faiz olur.
18.Soru
Bir bankadan % 0,85 aylık faiz oranı ve 24 ay vade ile 10000 TL tüketici kredisi çekilirse, aylık geri ödeme taksitleri ne kadar olur?
|
460,37
|
|
462,37
|
|
450,73
|
|
472,4
|
|
472,73
|
19.Soru
f (x) = x3 - x2 ise f' (2)+f" (2) ifadesinin değeri kaçtır?
|
18
|
|
14
|
|
12
|
|
8
|
|
6
|
20.Soru
f(x)=2x2-4x fonksiyonunun yerel minimum değeri aşağıdakilerden hangisidir?
|
-2 |
|
-1 |
|
0 |
|
1 |
|
2 |
Bunun için birinci mertebeden türevin sıfır olduğu noktaları inceleyelim. f'(x)=4x-4=0 eşitliğinden x=1 noktasının bir kök olduğu görülür. x>1 iken türev fonksiyonu pozitif, x<1 iken negatif olduğundan bu nokta bir yerel minimum noktasıdır. Yerel minimum değeri ise bu noktayı fonksiyonda yerine koyarak elde edeceğimiz f(1)=-2 değeridir.
-
- 1.SORU ÇÖZÜLMEDİ
- 2.SORU ÇÖZÜLMEDİ
- 3.SORU ÇÖZÜLMEDİ
- 4.SORU ÇÖZÜLMEDİ
- 5.SORU ÇÖZÜLMEDİ
- 6.SORU ÇÖZÜLMEDİ
- 7.SORU ÇÖZÜLMEDİ
- 8.SORU ÇÖZÜLMEDİ
- 9.SORU ÇÖZÜLMEDİ
- 10.SORU ÇÖZÜLMEDİ
- 11.SORU ÇÖZÜLMEDİ
- 12.SORU ÇÖZÜLMEDİ
- 13.SORU ÇÖZÜLMEDİ
- 14.SORU ÇÖZÜLMEDİ
- 15.SORU ÇÖZÜLMEDİ
- 16.SORU ÇÖZÜLMEDİ
- 17.SORU ÇÖZÜLMEDİ
- 18.SORU ÇÖZÜLMEDİ
- 19.SORU ÇÖZÜLMEDİ
- 20.SORU ÇÖZÜLMEDİ