İstatistik 1 Final 22. Deneme Sınavı
Toplam 20 Soru1.Soru
Aşağıda verilen serinin modu kaçtır? xi : 10 12 18 20 26 30
|
0
|
|
12
|
|
18
|
|
20
|
|
26
|
2.Soru
Sürekli X rassal değişkeni 10,22 ile 24,32 değerleri arasında düzgün dağılmaktadır. X rassal değişkeninin standart sapma değeri aşağıdakilerden hangisidir?
|
2,36
|
|
2,57
|
|
4,07
|
|
5,32
|
|
6,43
|
3.Soru
Z rassal değişkeni “standart normal dağılıma” sahip iken, P(-1< Z <1) değeri aşağıdakilerden hangisidir?
|
0,1587
|
|
0,3413
|
|
0,5398
|
|
0,6826
|
|
0,8413
|
4.Soru
| Olay | Dağılım |
| 1. Bir deneyin olumlu ya da olumsuz sonuçlanması | K. Poisson dağılımı |
| 2. Olasılığı bilinen bir sonucun n kez tekrarlanan bir deneyde ortaya çıkma sayısı | L. Bernoulli dağılımı |
| 3. Bir hastanenin acil servisine saatte gelen hasta sayısı | M. Binom dağılımı |
Yukarıda verilen rassal nitelikte olaylar ile bu olayları modellemek için kullanılabilecek dağılımların en uygun eşlemesi aşağıdakilerden hangisidir?
|
1-L , 2-M , 3-K |
|
1-L , 2-K , 3-M |
|
1-K , 2-M , 3-L |
|
1-M , 2-L , 3-K |
|
1-M , 2-K , 3-L |
Olasılık dağılımı rassal değişkeninin aldığı değerler ile bu değerlere karşılık gelen gelen olasılıkları ifade eder:
- Bernoulli dağılımı iki sonucu olan bir deneyi (Bernoulli denemesi) modellemek için kullanılan kesikli bir dağılımdır.
- Binom dağılımı n tane bağımsız ve aynı dağılımlı Bernoulli rassal değişkeninden elde edilen başarı sayıııısını modellemek için kullaı›lan kesikli bir dağılımdır.
- Poisson dağılımı, olasılık ve istatistik teorisinde yaygın olarak kullanılan kesikli bir dağılımdır. Bir olayın, belirlenen bir zaman ya da uzay (uzunluk, alan, hacim gibi) aralığında gerçekleşme sayısını modellemek için kullanılır.
5.Soru
I. Bir kutudaki kalem sayısı
II. Bir okuldaki öğretmen sayısı
III. Bir işletmenin aylık elektrik tüketimi
Yukarıdaki rassal değişkenlerden hangileri kesikli değişkendir?
|
Yalnız I |
|
I ve II |
|
Yalnız III |
|
II ve III |
|
I,II ve III |
Bir kutudaki kalem sayısı ve Bir okuldaki öğretmen sayısını ifade eden değişkenler tamsayı değerler aldığı için kesiklidir. Bir işletmenin aylık elektrik tüketimi seçenekteki değişken bir aralıkta değerler aldığından süreklidir.
6.Soru
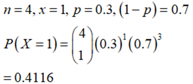
Bir mağazaya gelen tüm müşterilerin %30’ u tişört almaktadır. Buna göre bu mağazaya gelen 4 müşteriden 1’ inin tişört alma olasılığı hesaplayınız?
|
0.3221 |
|
0.3551 |
|
0.4116 |
|
0.4814 |
|
0.5118 |
7.Soru
P(B)=0,20 ve P(A\B)= 0,80 değerleri verildiğine göre, A ve B olaylarının bileşik olasılığı (P(A?B)) kaçtır?
|
0.16
|
|
0.15
|
|
0.14
|
|
0.13
|
|
0.12
|
8.Soru
X kesikli rassal değişkeni Binom (n=400, p=0.2) dağılımına sahip ise ortalama (μ) ve varyansı (σ2) aşağıdakilerden hangisidir?
|
μ=80, σ2 = 64
|
|
μ=64, σ2 = 64
|
|
μ=80, σ2 = 8
|
|
μ=400, σ2 = 8
|
|
μ=400, σ2 = 64
|
9.Soru
Varyansla ilgili aşağıdaki ifadelerden hangisi kesinlikle yanlıştır?
|
Standart sapmanın kareköküne eşittir.
|
|
Bir değişkenlik ölçüsüdür.
|
|
Standart sapmanın kareköküne eşittir.
|
|
Kareli ortalama ve aritmetik ortalama bilindiğinde hesaplanabilir.
|
|
Terimlerin aritmetik ortalamadan sapmaları dikkate alınarak hesaplanır.
|
10.Soru
X kesikli rassal değişkeni Bernoulli(p=0.4) dağılımına sahip ise ortalama µ ve varyansı σ2 aşağıdakilerden hangisidir?
|
µ=0.6 σ2=0.24 |
|
µ=0.4 σ2=0.10 |
|
µ=0.16 σ2=0.24 |
|
µ=0.4 σ2=0.24 |
|
µ=0.6 σ2=0.10 |
Bernoulli (p) dağılımının ortalama ve varyansı, aşağıdaki eşitlikler yardımıyla kısa yoldan hesaplanabilir.
Ortalama: µ= E(X)=p
Varyans: σ2= V(X)= p(1-p)
Bu durumda µ= E(X)=0.4 Varyans: σ2= V(X)= p(1-p)=0.4(1-0.4)=0.4*0.6=0.24
11.Soru
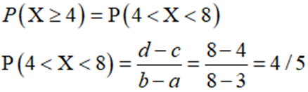
Bir sürekli rassal değişkeni a=3 ve b=8 ile sürekli düzgün dağılıma sahip olsun. P(X ?4) olasılığı kaçtır?
|
1/2 |
|
1/4 |
|
2/5 |
|
4/5 |
|
3/8 |
12.Soru
X kesikli rassal değişkeni Bernoulli (p=0.4) dağılımına sahip ise ortalama µ aşağıdakilerden hangisidir ?
|
0,02 |
|
0,2 |
|
0,4 |
|
0,6 |
|
0,24 |
P(X=x) = ?(p)?^x . ?(1-P)?^(1-x) , x=0,1
P(X=0) = ?(0,40)?^0 . ?(0,60)?^1 = 0,60
Ve
P(X=1) = ?(0,40)?^1 . ?(0,60)?^0 = 0,40
µ = E(X) = ?_(x=0)^1-?x.P(X=x)?
= 0.P(X=0) + 1.P(X=1)
= 0.(0,60) + 1. ( 0,40)
µ = 0,40
13.Soru
Bir üniversitedeki 12000 öğrencinin not ortalaması , µ = 68 ve ? = 9 değerleriyle normal dağılım göstermektedir. Bu üniversitede kaç öğrencinin not ortalamasının 80 den fazla olması beklenir ?
|
869 |
|
1102 |
|
1423 |
|
1516 |
|
1607 |
P (x > 80 ) için önce x = 80 değerinin denk geldiği z değeri bulunur.
z = (x_i-µ)/? = (80-68)/9 = 1,33
P ( z > 1,33 ) = 0,50 – 0,4082 = 0,0918
(12000) . (0,0918 ) = 1102
14.Soru
1’den 40’a kadar (40 dahil) olan tam sayılar arasından rassal olarak seçilen bir sayının 4 ile bölündüğü bilindiğine göre bu sayının 3 ile bölünme olasılığı nedir?
|
%7.5 |
|
%23 |
|
%25 |
|
%32.5 |
|
%35 |
A: Rassal olarak seçilen bir sayının 4 ile bölünmesi
B: Rassal olarak seçilen bir sayının 3 ile bölünmesi.
Bu durumda A∩B: Rassal olarak seçilen bir sayının 4 ve 3 ile bölünmesi olur.
A={4,8,12,16,20,24,28,32,36,40}, B={3,6,9,12,15,18,21,24,27,30,33,36,39} ve A∩B={12,24,36}’dır.
A olayı içinde n(A)=10 sayı da, B olayı içinde n(B)=13 sayıda, A∩B olayı içinde n(A∩B)=3 sayıda örnek nokta vardır ve n=40 olduğuna göre, bu olaylara ilişkin olasılıklar
P (A)=n (A)/n= 10/40=0.25
P(B)= n(B)/n=13/40=0.325
P (A∩B)= n(A∩B)/n=3/40=0.075
Rassal olarak seçilen bir sayının 4 ile bölündüğü bilindiğine göre bu sayının 3 ile bölünme olasılığı koşullu olasılık yardımıyla
P(A\B)= P (A∩B)/P(B)=0.075/0.325=0.23 olarak hesaplanır. Rassal olarak seçilen bir sayının 4 ile bölündüğü bilindiğine göre bu sayının 3 ile bölünme olasılığı %23’tür.
15.Soru
X rassal değişkeninin olasılık dağılımı yukarıdaki şekilde verilmiştir. Buna göre k değeri kaçtır?
|
0,21 |
|
0,23 |
|
0,16 |
|
0,14 |
|
0,12 |
P(X=x) olasılık dağılımı olabilmesi için olasılıklar toplamı 1 olmalıdır.
P(X=1)+P(X=2)+P(X=3)+P(X=4)+P(X=5)+P(X=6)=1
0,1+0,12+0,18+0,2+0,28+k=1
0,88+k=1
k=0,12 olur.
16.Soru
Bir ilacın bir hastalığı iyileştirme olasılığı 0,70'tir. Bu ilacı kullanan 7 kişiden en az 3'ünün iyileşme olasılığı nedir?
|
0,642
|
|
0,742
|
|
0,842
|
|
0,942
|
|
0,972
|
17.Soru
S = {2, 4, 5, 6, 7} örnek uzayında A olayı A ={2, 4, 5, 6} ve B olayı B ={5} olarak tanımlanmış olsun. Bütün örnek noktaları eşit olasılık ise, A olayı ortaya çıktığı bilindiğinde, B olayının ortaya çıkması yani P(B/A) olasılığı kaçtır?
|
0.25
|
|
0.5
|
|
0.2
|
|
0.33
|
|
1
|
18.Soru
S örnek uzay, A olay ve A’nın tümleyeni A olmak üzere aşağıdaki ifadelerden hangileri doğrudur?
|
Yalnız I |
|
II ve III |
|
I ve II |
|
I ve III |
|
I, II ve III |
S örnek uzay, A olay ve A’nın tümleyeni A olmak üzere her üç ifade de doğrudur.
19.Soru
Bir işyerindeki personelin hangi ayda tatile çıkmak istediğiyle ilgili bir araştırma yapılmış ve sonuçlar aşağıdaki tabloda verilmiştir.
HAZİRAN TEMMUZ AĞUSTOS TOPLAM
KADIN 20 30 40 90
ERKEK 35 15 60 110
TOPLAM 55 45 100 200
Bu iş yerinden tesadüfen seçilen bir personelin Temmuz ayında tatile çıkmak isteyen Erkek olma olasılığı nedir ?
|
15/200 |
|
45/200 |
|
110/200 |
|
15/110 |
|
15/45 |
P(H) = Haziran ayında tatile çıkma olasılığı = 55/200
P(T) = Ağustos ayında tatile çıkma olasılığı = 45/200
P(A) = Ağustos ayında tatile çıkma olasılığı = 100/200
P(K) = Kadın olma olasılığı = 90/200
P(A) = Erkek olma olasılığı = 110/200
Tabloda Temmuz ayında tatile çıkmak isteyen Erkek sayısı 15 olduğuna göre P (T∩E) = 15/200 olarak bulunur.
20.Soru
Aşağıdakilerden hangisi iki sonucu olan bir deneyi modellemek için kullanılan kesikli dağılımdır?
|
Bernoulli dağılımı
|
|
Binom dağılımı
|
|
Poisson dağılımı
|
|
Düzgün dağılım
|
|
Euler dağılımı
|
-
- 1.SORU ÇÖZÜLMEDİ
- 2.SORU ÇÖZÜLMEDİ
- 3.SORU ÇÖZÜLMEDİ
- 4.SORU ÇÖZÜLMEDİ
- 5.SORU ÇÖZÜLMEDİ
- 6.SORU ÇÖZÜLMEDİ
- 7.SORU ÇÖZÜLMEDİ
- 8.SORU ÇÖZÜLMEDİ
- 9.SORU ÇÖZÜLMEDİ
- 10.SORU ÇÖZÜLMEDİ
- 11.SORU ÇÖZÜLMEDİ
- 12.SORU ÇÖZÜLMEDİ
- 13.SORU ÇÖZÜLMEDİ
- 14.SORU ÇÖZÜLMEDİ
- 15.SORU ÇÖZÜLMEDİ
- 16.SORU ÇÖZÜLMEDİ
- 17.SORU ÇÖZÜLMEDİ
- 18.SORU ÇÖZÜLMEDİ
- 19.SORU ÇÖZÜLMEDİ
- 20.SORU ÇÖZÜLMEDİ