İstatistik 1 Final 24. Deneme Sınavı
Toplam 20 Soru1.Soru
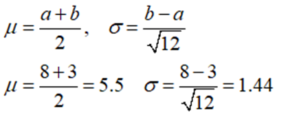
Bir sürekli rassal değişkeni a=3 ve b=8 ile sürekli düzgün dağılıma sahip olsun. Bu dağılımın ortalaması ve standart sapması hangi şıkta doğru olarak verilmiştir? (İlk değer ortama, ikinci değer standart sapma)
|
5.5 , 1.44 |
|
5, 4 |
|
6.5, 1.2 |
|
2.5, 2 |
|
2.5, 5 |
2.Soru
Bir kutuda 4 beyaz ve 5 kırmızı top vardır. Bu kutudan yerine konmaksızın iki top çekilmiştir. Birincinin beyaz ve ikincinin kırmızı olması olasılığı nedir?
|
4/9 |
|
5/9 |
|
4/18 |
|
5/18 |
|
9/20 |
A: Rastgele seçilen birinci topun beyaz olması,
B: Rastgele seçilen ikinci topun kırmızı olması
olarak tanımlanırsa A?B= Rastgele seçilen birinci topun beyaz, ikinci topun kırmızı olması
şeklinde olur. Bu durumda,
P(A) = 4/9 olduğu açıktır. Seçilen birinci topun beyaz olduğu bilindiğine göre geriye 8 top kalmıştır ve bunlardan 3 tanesi beyaz , 5 tanesi kırmızıdır.İkinci topun kırmızı olma olasılığı bu durumda
P(B/A) = 5/8
Böylece çarpma kuralından P( A?B ) = P(A) . P(B/A) = 4/9 . 5/8 = 5/18
3.Soru
Sürekli bir rassal değişkenin tanımlı olduğu aralıkta belirlenen eşit uzunluktaki aralıkların olasılıklarının eşit olduğu dağılıma ne ad verilir?
|
Düzgün dağılım
|
|
Normal dağılım
|
|
Binom dağılımı
|
|
Poisson dağılımı
|
|
Kesikli dağılım
|
4.Soru
Bir işyerinde çalışanların aylık ücretleri hangi ölçme düzeyinde değerlendirilir?
|
Oransal ölçme düzeyi
|
|
Sınıflayıcı ölçme düzeyi
|
|
Sıralayıcı ölçme düzeyi
|
|
Aralıklı ölçme düzeyi
|
|
Nispi olmayan ölçme düzeyi
|
5.Soru
Sürekli X rassal değişkeni, aralığında düzgün dağılıma sahiptir. X rassal değişkeninin ortalaması kaçtır?
|
2 |
|
3 |
|
4 |
|
5 |
|
6 |
Verilen bilgilere göre, X rassal değişkeninin tanım aralığıbiçimindedir. Bu nedenle, X’in alabileceği minimum değer ve maksimum değer ise ’dır. Buna göre X rassal değişkeninin ortalaması:
olarak elde edilir.
6.Soru
Normal dağılıma sahip bir X rassal değişkeninin ortalaması 6.4 ve standart sapması 1.2 ise bu rassal değişkenin 7’den küçük olma olasılığı kaçtır?
|
0.1915 |
|
0.3085 |
|
0.5000 |
|
0.6915 |
|
0.8085 |
7.Soru
100 kişilik bir sınıfta öğrencilerin 25’i badminton, 20’si tenis, 10’u ise her ikisini de oynamaktadır. Bu sınıftan rassal olarak seçilen bir öğrencinin basketbol veya voleybol oynuyor olması olasılığı aşağıdakilerden hangisidir?
|
0.55 |
|
0.50 |
|
0.45 |
|
0.40 |
|
0.35 |
P (B )= 25/100=0.25, P (T) = 20/100=0.20 ve P (B ∩ T )=10/100= 0.10
seçilen bir öğrencinin badminton veya tenis oynuyor olması olasılığı
P(B∪T) = P(B) + P(T) - P(B ∩ T ) formülünden hesaplanırsa;
P(B∪T) =0.25+0.20-0.10=0.35 olarak bulunur. Doğru yanıt E'dir.
8.Soru
Sürekli X rassal değişkeni, ortalaması 18 ve varyansı 9 olmak üzere normal dağılmaktadır. Bu bilgiler göre P (22.5 < X < 24.3) olasılık aşağıdakilerden hangisidir?
|
0.0489
|
|
0.0666
|
|
0.1243
|
|
0.2257
|
|
0.4332
|
9.Soru
Aşağıdakilerden hangisi sürekli bir rassal değişkenin olasılık yoğunluk fonksiyonunun sağlaması gereken özelliklerden biridir?
|
|
|
|
|
|
|
|
|
|
10.Soru
Para atma deneyinde kesikli birikimli olasılık dağılımı fonksiyonunun aldığı değer aşağıdakilerden hangisidir?
|
0
|
|
1/3
|
|
1/2
|
|
1
|
|
2
|
11.Soru
Varyansı 0,91 olan bir poisson dağılımının ortalaması nedir?
|
0,09
|
|
0,18
|
|
0,04
|
|
0,82
|
|
0,91
|
12.Soru
Aşağıdakilerden hangisi Binom dağılımının ortalamasını ifade eder?
|
E(X)=p
|
|
E(X)=(1-p)
|
|
E(X)=n.p
|
|
E(X)=n(1-p)
|
|
E(X)=n.p.q
|
13.Soru
Ayrık olaylar için toplama kuralı nasıl ifade edilir?
|
Bu olayların kesişimine eşittir. |
|
Bu olayların ayrı ayrı olasılıkları toplamıdır. |
|
Bu olayların olasılıkları farkıdır. |
|
Bu olayların birleşimi ile kesişimi olasılıklarının farkıdır. |
|
Bu olayların kesişimlerinin ayrı ayrı iki olay için birleşimleri olasılıklarının toplamıdır. |
Ayrık olaylar için kesişimleri boş küme olduğundan ve boş kümenin de olasılığı sıfır olduğundan toplama kuralı bu olayların ayrı ayrı olasılıkları toplamıdır.
14.Soru
Bir torbada her biri aynı ağırlıkta 4 Yeşil ve 6 Kırmızı top bulunmaktadır. Bu torbadan "iadeli" olarak 3 top çekilmiştir. Buna göre, çekilen toplardan 2 tanesinin Kırmızı olması olasılığı nedir?
|
2/125
|
|
3/125
|
|
54/125
|
|
108/125
|
|
116/125
|
15.Soru
İki sonucu olan bir deneyi modellemek için hangi kesikli dağılım kullanılır?
|
Binom dağılımı |
|
Poisson dağılımı |
|
Bernoulli dağılımı |
|
Frekans dağılımı |
|
Normal dağılım |
İki sonucu olan bir deneyi (Bernoulli denemesi) modellemek için kullanılan kesikli bir dağılımdır. Genellikle, bu sonuçlar “başarı (success)” ve “başarısızlık (failure)” olarak isimlendirilir.
16.Soru
X kesikli rassal değişkeninin olasılık dağılımı verilmiştir? Buna göre P(X?3) olasılığı kaçtır?
|
0,62 |
|
0,39 |
|
0,49 |
|
0,51 |
|
0,55 |
bulunur.
17.Soru
1. X rassal değişkeninin olasılık dağılımı aşağıda verildiği gibidir.
X 0 1 2 3 4
P(X=x) 0,10 0,15 0,20 0,25 0,30
Buna göre, P(2<x? 4) olasılığı aşağıdakilerden hangisidir ?
|
0,20 |
|
0,25 |
|
0,45 |
|
0,55 |
|
0,75 |
P(2<x? 4) = P(x=3) + P(x=4) = 0,25+0,30 = 0,55
18.Soru
2. X rassal değişkeninin olasılık dağılımı aşağıda verildiği gibidir.
X 0 1 2 3 4
P(X=x) 0,18 0,22 0,30 c 0,03
Buna göre, c sabitinin değeri aşağıdakilerden hangisidir?
|
0 |
|
0,25 |
|
0,27 |
|
0,30 |
|
0,33 |
P(x=0) + P(x=1) + P(x=2) + P(x=3) + P(x=4 ) = 1
0,18 + 0,22 + 0,30 + c + 0,03 = 1
c = 1 – 0,73 = 0,27 olarak bulunur.
19.Soru
İki farklı renkte iki zar atılmıştır. Üste gelen yüzdeki sayıların toplamının 11 veya 12 olması olasılığı nedir?
|
1/36
|
|
1/18
|
|
1/12
|
|
1/9
|
|
1/6
|
20.Soru
Sorudaki verilere göre rassal olarak seçilen bir öğrencinin basketbol oynadığı bilindiğine göre kız olma olasılığı nedir?
|
1/11 |
|
10/33 |
|
5/16 |
|
3/22 |
|
19/33 |
-
- 1.SORU ÇÖZÜLMEDİ
- 2.SORU ÇÖZÜLMEDİ
- 3.SORU ÇÖZÜLMEDİ
- 4.SORU ÇÖZÜLMEDİ
- 5.SORU ÇÖZÜLMEDİ
- 6.SORU ÇÖZÜLMEDİ
- 7.SORU ÇÖZÜLMEDİ
- 8.SORU ÇÖZÜLMEDİ
- 9.SORU ÇÖZÜLMEDİ
- 10.SORU ÇÖZÜLMEDİ
- 11.SORU ÇÖZÜLMEDİ
- 12.SORU ÇÖZÜLMEDİ
- 13.SORU ÇÖZÜLMEDİ
- 14.SORU ÇÖZÜLMEDİ
- 15.SORU ÇÖZÜLMEDİ
- 16.SORU ÇÖZÜLMEDİ
- 17.SORU ÇÖZÜLMEDİ
- 18.SORU ÇÖZÜLMEDİ
- 19.SORU ÇÖZÜLMEDİ
- 20.SORU ÇÖZÜLMEDİ