İstatistik Ara 30. Deneme Sınavı
Toplam 20 Soru1.Soru
I. GrafiklerII. ŞemalarIII. TablolarYukarıdakilerden hangisi istatistiksel araştırmalarda kullanılan sunu ve raporların barındırması gereken içeriklerdendir?
|
I
|
|
I ve II
|
|
I ve III
|
|
II ve III
|
|
I, II ve III
|
2.Soru
I. Serpilme grafiğiII. Sütun grafiğiIII. Pasta grafiğiYukarıdakilerden hangisi nitel değişkenlerin gösteriminde kullanılan grafiklerdendir?
|
I
|
|
I ve II
|
|
I ve III
|
|
II ve III
|
|
I, II ve III
|
3.Soru
Veri derleme ile ilgili olarak aşağıda verilenlerden hangisi yanlıştır?
|
Veri derleme hataları derlemeyi düzenleyicilerden, cevaplayıcılardan ve beşeri araçlardan kaynaklanamaktadır.
|
|
Gözlem, görüşme ve anket ikincil elden veri derleme yöntemleridir.
|
|
Veri derleme hataları etkileri bakımından rassal hata ve sistematik hata olarak sınıflandırılır.
|
|
Veri derleme araçları maddi ve beşeri araçlardır.
|
|
İkinci elden veri derleme yönetimi kullanılıyorsa güncelliğe dikkat edilmelidir.
|
4.Soru
Derlenen verilerin düzenlenmesi, tablo, grafik ve şekillerle gösterilmesi ve verilerin doğasında var olan özelliklerin profilinin çıkarılması işlemine ne ad verilir?
|
Betimleme |
|
Karşılaştırma |
|
Tahminleme |
|
Kestirim |
|
İlişki araştırma |
Karşılaştırma işleminde evren ve örneklem karşılaştırılırken, tahminleme aşamasında evren parametreleri tahmin edilmeye çalışılır ve tahminleme sürecinde kestirimler yapılır. İlişki araştırma da ise iki değişken arasında ilişki varlığı ve ilişkinin düzeyi araştırılmaktadır. Verilerin düzenlenerek, görselleştirilip raporlaştırılması süreci ise betimleme olarak adlandırılır. Doğru yanıt A'dır.
5.Soru
Bir seride belirli bir değerden daha küçük veya belirli bir değerden daha büyük değerli kaç tane gözlem değeri olduğu bilgisini üreten serilere ne ad verilir?
|
Frekans serisi |
|
Gruplandırılmış seri |
|
Basit seri |
|
Birikimli seri |
|
Mekan serisi |
Bir seride belirli bir değerden daha küçük veya belirli bir değerden daha büyük değerli kaç tane gözlem değeri olduğu bilgisini üreten serilere birikimli seri denir. Birikimli seriler frekans dağılımında her sınıfın frekansına kendinden önceki veya sonraki frekansların eklenmesi ile oluşturulurlar. Doğru cevap D'dir.
6.Soru
Kareli ortalaması 13 ve aritmetik ortalaması 10 olan serinin varyansı nedir?
|
69 |
|
65 |
|
96 |
|
100 |
|
169 |
Sorunun cevabı:69
Var(x)=132-102=169-100=69
7.Soru
2010 yılında fiyatları 30 TL, 50 TL ve 80 TL olan A, B ve C ürünlerinin fiyatları 2015 yılında sırasıyla 40 TL, 70 TL ve 85 TL olmuştur. Buna göre, bu üç ürün için 2015 yılı endeksler ortalaması tekniğiyle hesaplanan sabit esaslı bileşik fiyat endeksi aşağıdakilerden hangisidir?
|
112,6
|
|
121,8
|
|
126,5
|
|
134,9
|
|
145,7
|
8.Soru
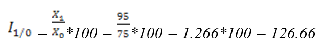
2011-2016 yıllarına ilişkin teknoloji alanında yapılan kdv değerleri aşağıda verilmiştir.
| YILLAR | (Bin) |
| 2011 | 75 |
| 2012 | 95 |
| 2013 | 80 |
| 2014 | 150 |
| 2015 | 125 |
| 2016 | 135 |
2012 yılı için değişken esaslı endeks aşağıdakilerden hangisinde doğru verilmiştir?
|
% 28.68 |
|
% 27.67 |
|
% 26.66 |
|
% 25.65 |
|
% 24.64 |
Verilen tabloda , 2011 yılı temel devre olduğu için bu yıla 0, izleyen yıllara da sırasıyla 1 ,2, 3, 4 ve 5 devre numaraları verilir.
2012 yılı (1.devre ) için değişken esaslı endeks
olarak hesaplanır. 126.66-100 = 26.66 bulunur
9.Soru
“ Doğum yeri ” değişkeni ne tür bir değişkendir?
|
Sürekli değişken |
|
Kesikli değişen |
|
Ani değişken |
|
Mekân değişkeni |
|
Zaman değişkeni |
Doğum yeri” değişkeni mekân değişkenidir.
10.Soru
Aşağıda verilen seri türlerinden hangisinde belirli bir değerden daha küçük değerli kaç tane gözlem değeri olduğu bilgisi üretilebilir?
|
Zaman serisi
|
|
Frekans serisi
|
|
Birikimli seri
|
|
Basit seri
|
|
Mekan serisi
|
11.Soru
Aydın ili Söke ilçesinde çalışan fırınların ürettiği simitlerin ağırlıkları üzerine bir araştırma yapılacaktır. Buna göre, araştırma evreniyle ilgili aşağıdakilerden hangisi doğrudur?
|
Gerçek birimlerden oluşan sürekli evrendir
|
|
Doğal birimlerden oluşan sonlu evrendir
|
|
Doğal birimlerden oluşan sonsuz evrendir
|
|
Doğal olmayan birimlerden oluşan sonsuz evrendir
|
|
Doğal olmayan birimlerden oluşan sonlu evrendir
|
12.Soru
Belirli bir konuda belirli bir amaç için verilerin derlenmesi, düzenlenmesi, çözümlenmesi ve yorumlanması amacıyla kullanılan teknik ve yöntemler topluluğuna ne ad verilir?
|
Örneklem değeri anlamında istatistik
|
|
Veri kümesi anlamında istatistik
|
|
Parametre
|
|
Yığın olay
|
|
Bilim dalı anlamında istatistik
|
13.Soru
İki nicel değişken için derlenen verilerin bir koordinat sistemi içerisinde eşlenmiş olarak gösterimine ne ad verilir?
|
Serpilme grafiği
|
|
Histogram
|
|
Pasta grafiği
|
|
Sütun grafiği
|
|
Çizgi grafiği
|
14.Soru
Bir ilin hububat üretim miktarının ilçeler itibariyle dağılımı ne tür seri ile gösterilir?
|
Mekan serisi
|
|
Zaman serisi
|
|
Bölünme serisi
|
|
Birikimli seri
|
|
Frekans poligonu
|
15.Soru
İlgilenilen değişkenin sahip olduğu değerlerin mekâna göre sınıflandırılması ile elde edilen mekân serilerinin grafiksel gösteriminde hangi grafik türü kullanılır?
|
Kartezyen Grafiği
|
|
Serpilme Grafiği
|
|
Sütun Grafiği
|
|
Histogram
|
|
Pasta Grafiği
|
16.Soru
Bir işletmenin ürettiği bir ürüne ilişkin 2009 yılını temel yıl alınarak hesaplanan 2010 yılı Paasche fiyat endeksi 101,84 ve Laspeyres fiyat endeksi ise 103,34 ise bu ürüne ilişkin Fisher fiyat endeksi nedir?
|
100,58 |
|
101,58 |
|
102,58 |
|
103,58 |
|
104,58 |
Fisher fiyat endeksi Paasche ve Laspeyres fiyat endekslerinin geometrik ortalaması alınarak hesaplanır. Soruda verilen örneğe göre ürünün Fisher fiyat endeksi (101,84*103,34)^1/2= 102,58 dir.
17.Soru
Bir şehirdeki hava sıcaklıklarının geçmiş 10 günlük değerleri 14, 12, 13, 12, 14, 15, 13, 11, 12 ve 10 derece şeklindedir. Bu verilere göre bu şehirdeki geçmiş 10 günlük hava sıcaklığının mod değeri nedir?
|
11
|
|
12
|
|
13
|
|
14
|
|
15
|
18.Soru
Bir araştırmada otomobil istatistik birimi olarak tanımlanmıştır. Buna göre, bu birim için aşağıdaki ifadelerden hangisi söylenemez?
|
Gerçek birim
|
|
Ani birim
|
|
Doğal birim
|
|
Devamlı birim
|
|
Maddi birim
|
19.Soru
Ege bölgesinde, 2015 ve 2016 yıllarına ilişkin zeytin yağı üreten firmaların üretim miktarları ve bunlara karşılık gelen fiyatları verilmiştir. 2015 yılını temel yıl(devre) alarak bu soruyu yanıtlayınız2015 Yılı2016 YılıÜrünlerFiyat(?)Miktar(ton)Fiyat(?)Miktar(ton)A15702050B35322040C40203625D10452435Aşağıdaki şıklardan hangisinde Fisher fiyat endeksi ve yorumu doğru verilmiştir?
|
106.55, Söz konusu 4 ürünün fiyatları,2016 yılında 2015 yılına göre ortalama olarak %6.55 oranında azalmıştır. |
|
113.53, Söz konusu 4 ürünün fiyatları,2016 yılında 2015 yılına göre ortalama olarak %13.53 oranında artmıştır. |
|
106.55, Söz konusu 4 ürünün fiyatları,2016 yılında 2015 yılına göre ortalama olarak %6.55 oranında artmıştır. |
|
113.53, Söz konusu 4 ürünün fiyatları,2016 yılında 2015 yılına göre ortalama olarak %13.53 oranında azalmıştır. |
|
112.30, Söz konusu 4 ürünün fiyatları,2016 yılında 2015 yılına göre ortalama olarak %12.30 oranında artmıştır. |
Laspeyres ve Paache fiyat endeksleri, soru 7 ve 8’de bulunmuştu. Buna göre;
Laspeyres fiyat endeksi = 112.30
Paache fiyat endeksi = 101.1
=106.55 olarak bulunur.
20.Soru
I. Bir sınıftaki öğrencilerin saç renkleriII. Bir fabrikada çalışanların yaşlarıIII. İşletmelerin kuruluş sermayeleriYukarıdaki değişkenlerden hangileri nitel değişkendir?
|
Yalnız I
|
|
Yalnız III
|
|
I ve II
|
|
II ve III
|
|
I ve III
|
-
- 1.SORU ÇÖZÜLMEDİ
- 2.SORU ÇÖZÜLMEDİ
- 3.SORU ÇÖZÜLMEDİ
- 4.SORU ÇÖZÜLMEDİ
- 5.SORU ÇÖZÜLMEDİ
- 6.SORU ÇÖZÜLMEDİ
- 7.SORU ÇÖZÜLMEDİ
- 8.SORU ÇÖZÜLMEDİ
- 9.SORU ÇÖZÜLMEDİ
- 10.SORU ÇÖZÜLMEDİ
- 11.SORU ÇÖZÜLMEDİ
- 12.SORU ÇÖZÜLMEDİ
- 13.SORU ÇÖZÜLMEDİ
- 14.SORU ÇÖZÜLMEDİ
- 15.SORU ÇÖZÜLMEDİ
- 16.SORU ÇÖZÜLMEDİ
- 17.SORU ÇÖZÜLMEDİ
- 18.SORU ÇÖZÜLMEDİ
- 19.SORU ÇÖZÜLMEDİ
- 20.SORU ÇÖZÜLMEDİ