Matematik 1 Ara 15. Deneme Sınavı
Toplam 19 Soru1.Soru
Yarılanma ömrü 400 yıl olan bir maddeden başlangıçta 1000 gram bulunmaktadır. 140 yıl sonunda bu maddeden ne kadar kalır?
|
886,4
|
|
799,7
|
|
784,6
|
|
684,4
|
|
554,6
|
2.Soru
Yüz binin 10 tabanına göre logaritması kaçtır?
|
5
|
|
15
|
|
3
|
|
2
|
|
1
|
3.Soru
İfadesinin sonucu aşağıdakilerden hangisidir?
|
18 |
|
12 |
|
11 |
|
108 |
|
10 |
5.Soru
olarak tanımlanmıştır.
sonucu kaçtır?
|
14 |
|
3 |
|
12 |
|
4 |
|
7 |
f(1)=1
f(3)=14
14.1=14
6.Soru
Yarılanma ömrü 100 yıl olan bir radyoaktif maddeden 20 gram vardır. 300 yıl önce bu maddeden kaç gram vardır?
|
240gr |
|
180gr |
|
480gr |
|
120gr |
|
160gr |
100 yıl önce 40 gr
200 yıl önce 80 gr
300 yıl önce 160gr
7.Soru
A={1,3,5} ve B={3,5,7} kümeleri verilsin. B \ A=?
|
{7}
|
|
{1}
|
|
{3,5}
|
|
{1,3}
|
|
{1,7}
|
8.Soru
Bir toplulukta Fransızca veya İngilizce dillerinden sadece birini konuşanların sayısı 25’tir. Bu toplulukta en çok bir dili konuşanların sayısı 55 olduğuna göre bu dillerden hiçbirini konuşamayan kaç kişi vardır?
|
20 |
|
25 |
|
30 |
|
35 |
|
40 |
9.Soru
(g o f) (x) = 5x + 10 ve g (x) = x + 15 ise f (x) nedir ?
|
x+5
|
|
4x-5
|
|
4x+5
|
|
5x-5
|
|
5x+5
|
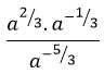
11.Soru
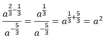
işleminin sonucu aşağıdakilerden hangisidir?
|
a1/2 |
|
a |
|
1 |
|
a-2 |
|
a2 |
Üslü sayıların özelliklerini kullanarak,
olarak elde edilir.
12.Soru
1000 kişinin yaşadığı bir kasabada nüfus her yıl %3 artmaktadır. Aşağıdakilerden hangisi kasabanın 5 yıl sonraki nüfusunu verir?
|
|
|
|
|
|
|
|
|
|
13.Soru
Aşağıdakilerden hangisi
sayısı olarak bilinen irrasyonel sayının yaklaşık bir değeridir?
|
2,7182819 |
|
3,1415926 |
|
1,4142135 |
|
1,7320508 |
|
1,6180339 |
sayısı ne kadar arttırılırsa arttırılsın
şeklinde bir sayıya yaklaşır. Bu sayı
sayısı olarak bilinen irrasyonel sayıdır. Doğru cevap A’dır.
14.Soru
y = x2 + 6x -7 parabolü minimum değerini hangi noktada alır?
|
(3, -1) |
|
(-3, -15) |
|
(-3, 2) |
|
(7, -15) |
|
(-1, -5) |
y = ax2 + bx + c tipinde bir parabolün kolları a>0 olduğundan yukarı doğrudur.
Dolayısıyla en küçük değerini tepe noktasında alır.
a<0 olduğunda ise, kollar aşağı doğrudur ve tepe noktasında maksimum değerini alır.
y = x2 + 6x - 7 parabolünde a = 1 > 0 olduğundan kollar yukarı doğrudur. Minimum değerini tepe noktasında aldığına göre;
bulunur.
y = (-3)2 + 6.(-3) -7
y = 9 - 18 - 7
y = -16
Tepe noktası, (-3, -15) noktasıdır. Doğru cevap B'dir.
15.Soru
2'nin hangi tamsayı kuvveti 200 ile 300 arasına düşer?
|
8
|
|
9
|
|
5
|
|
7
|
|
6
|
16.Soru
10.000 adet bakterinin her 20 dakikada %5 arttığı bilinmektedir. Buna göre aşağıdakilerden hangisi bu bakterilerin 3 saat sonraki sayısını vermektedir?
|
|
|
|
|
|
|
|
|
|
17.Soru
ifadesi aşağıdakilerden hangisine eşittir?
|
512 |
|
256 |
|
128 |
|
64 |
|
32 |
olarak elde edilir.
18.Soru
olduğuna göre
değeri aşağıdakilerden hangisidir?
|
3 |
|
|
|
|
|
4 |
|
5 |
olur. Doğru cevap C’dir.
19.Soru
ANKARA kelimesindeki harflerin kümesini S ile İSTANBUL kelimesindeki harflerin kümesi ise V ile gösterilsin. S?V kümesi aşğıdakilerden hangisidir?
|
{A, B, İ, K, L, S, T} |
|
{A, N} |
|
{A, İ, U} |
|
{B, K, L, N, S, R} |
|
{A, N, K, R, İ, S, T, B, U, L} |
{A, N}
-
- 1.SORU ÇÖZÜLMEDİ
- 2.SORU ÇÖZÜLMEDİ
- 3.SORU ÇÖZÜLMEDİ
- 4.SORU ÇÖZÜLMEDİ
- 5.SORU ÇÖZÜLMEDİ
- 6.SORU ÇÖZÜLMEDİ
- 7.SORU ÇÖZÜLMEDİ
- 8.SORU ÇÖZÜLMEDİ
- 9.SORU ÇÖZÜLMEDİ
- 10.SORU ÇÖZÜLMEDİ
- 11.SORU ÇÖZÜLMEDİ
- 12.SORU ÇÖZÜLMEDİ
- 13.SORU ÇÖZÜLMEDİ
- 14.SORU ÇÖZÜLMEDİ
- 15.SORU ÇÖZÜLMEDİ
- 16.SORU ÇÖZÜLMEDİ
- 17.SORU ÇÖZÜLMEDİ
- 18.SORU ÇÖZÜLMEDİ
- 19.SORU ÇÖZÜLMEDİ