Matematik 1 Final 28. Deneme Sınavı
Toplam 16 Soru2.Soru
g(x,y)=x3y2-3xy2+5x olarak veriliyor. gxy(x,y)=?
|
6x2y-6y+5 |
|
3x2y-6 |
|
3x2y2-6xy |
|
6x2y-6y |
|
6x2y-6 |
g(x,y)=x3y2-3xy2+5x olarak verilmiş. İstene değer fonksiyonun önce x değişkenine göre türevini almamız. Sonrada bulduğumuz değerin y değişkenine göre türevini alarak sonuca ulaşırız.
gx(x,y)=3x2y2-3y2+5
gxy(x,y)=6x2y-6y
Doğru cevap D şıkkıdır.
4.Soru
(M+7) x (2M+1) tipinde bir A matrisi bir kare matris ise M=?
|
3
|
|
4
|
|
5
|
|
6
|
|
7
|
5.Soru
Aşağıdakilerden hangisi bir polinom fonksiyondur?
|
|
|
|
|
|
|
|
|
|
cevap e şıkkıdır.
Polinom fonksiyonda x değişkeni paydaya düşemez.
x değişkeni kök içinde olamaz.
x değişkeni üssü rasyonel sayı olamaz.
x değişkeni üssü negatif sayı olamaz.
7.Soru
denklemini sağlayan kökler aşağıdakilerden hangisidir?
|
|
|
|
|
|
|
|
|
|
8.Soru
Maliyet fonksiyonu C(x) = 750 + x ve gelir fonksiyonu R(x)= 10x ise, kâr fonksiyonunu bulunuz.
|
P(x) = 750+11x
|
|
P(x) = 9x –750
|
|
P(x) = 75+11x
|
|
P(x) = 750 – 9x
|
|
P(x) = 9x –75
|
9.Soru
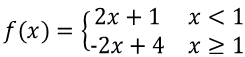
Aşağıda grafiği verilen
fonksiyonu için aşağıdakilerden hangisi doğrudur?
|
Fonksiyon parçalı fonksiyon olduğundan x=0’da limiti yoktur. |
|
Fonksiyon x=1 noktasında tanımsızdır |
|
|
|
Fonksiyon artan bir fonksiyondur. |
|
Fonksiyon x=0 noktasında türevlenebilirdir. |
Verilen f(x) fonksiyonu parçalı bir fonksiyondur. Bu fonksiyon parçalı olduğu x=1 noktası dışındaki tüm noktalarda limiti olan, sürekli, türevlenebilir bir fonksiyondur. x=0 noktasında fonksiyonun limiti mevcuttur ve bu limit 1’e eşittir. Fonksiyon x=1 noktasındaki sağ ve sol limitleri farklı olduğundan bu noktada limiti yoktur. Fonksiyon (-?,1) aralığında artandır ancak [1, ?) aralığında azalandır. Aynı zamanda x=1 noktasında tanımlı ve tanımlı olduğu değer de 2’ye eşittir. Bunun yanında x=0 noktasında fonksiyon türevlenebilirdir ve bu türev 2’ye eşittir.
10.Soru
fonksiyonunun kritik noktaları aşağıdakilerden hangisidir?
|
(1,2) |
|
(-1,-2) |
|
(2,-4) |
|
(-2,4) |
|
(3,6) |
Hem
‘yi sıfır yapan değer ya da değerleri bulmalıyız.
Denklem sisteminde ikinci deklemi -2 ile çarpar ve denklemleri alt alta toplarsak
sonucunu elde ederiz. İkinci denklemde
yerine koyarsak
elde ederiz. Kritik noktamız
olur. Dolayısıyla cevap C seçeneğidir.
11.Soru
olmak üzere hangisi doğru değildir?
|
|
|
|
|
|
|
|
|
|
12.Soru
4/5 kesrinin ondalık gösterimi aşağıdakilerden hangisidir?
|
0,5
|
|
0,6
|
|
0,7
|
|
0,8
|
|
0,9
|
13.Soru
G(x)=(2x3-3x2+1)45 fonksiyonunun birinci mertebeden türevi nedir?
|
(2x3-3x2+1)44.(6x2-6x) |
|
(2x3-3x2+1)45.(6x2-6x)
|
|
45.(2x3-3x2+1)45.(6x2-6x)
|
|
45.(2x3-3x2+1)44.(x2-x) |
|
270.(2x3-3x2+1)44.(x2-x) |
U(x)= 2x3-3x2+1→ U'(x)=6x2-6x;
V(x)=x45→ V'(x)=45.x44
G'(x)= V'(U(x)). U'(x) olup
G'(x)=45(2x3-3x2+1)44.(6x2-6x)= 270.(2x3-3x2+1)44.(x2-x) olarak bulunur.
14.Soru
Aşağıdakilerden hangisi (1,1), (2,3), (3,5) ve (5,6) noktalarının regresyon doğrusudur?
|
y=1.23x+0.37 |
|
y=1.17x+0.52 |
|
y=2.11x-0.46 |
|
y=1.77x+0.37 |
|
y=2.13x-0.52 |
y=1.23x+0.37
15.Soru
y=x+3 ve y=3x+1 doğrularının kesişim noktası aşağıdakilerden hangisidir?
|
(-1,1)
|
|
(-1,3)
|
|
(0,2)
|
|
(1,3)
|
|
(1,4)
|