Matematik 2 Ara 15. Deneme Sınavı
Toplam 19 Soru4.Soru
Aşağıdaki tabloda 2015 yılına ait Türkiye İstatistik Kurumu (TÜİK) tarafından yayımlan Türkiye’deki gelir dağılımı verilmiştir. Buna göre ilk yüzde kırkın toplam gelirden aldığı pay yüzde kaçtır?
|
0,061 |
|
0,107 |
|
0,168 |
|
0,152 |
|
0,320 |
Yukarıdaki tabloya bakıldığında ilk yüzde 20’nin toplam gelirden aldığı pay yüzde 6,1’dir. Buna göre L(0,2)=0,061 olur. Tabloya göre ilk yüzde 40’ın toplam gelirden aldığı pay ise 6,1+10,7=16,8’dir. Buna göre L(0,4)=0,168 olur.
5.Soru
integralinin sonucu aşağıdakilerden hangisidir?
|
|
|
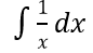
|
|
|
|
|
|
|
x+3=u denilirse dx=du olur. Bu durumda
olur.
6.Soru
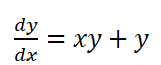
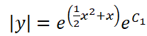
diferansiyel denkleminin y(2)=e koşulunu sağlayan çözümü aşağıdakilerden hangisidir?
|
|
|
|
|
|
|
|
|
|
Denklemi dy/dx=y(x+1) olarak yazarak
dy/y=(x+1)dx biçimine getirelim ve her iki tarafın integralini alalım. Böylece
elde ederiz. Bu ifadeyi düzenleyerek
Burada
dersek
y(2)=e olduğundan
olmalıdır.
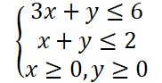
7.Soru
f(x,y)=2x+y amaç fonksiyonunun,
eşitsizliği ile verilen küme üzerindeki maksimum değeri nedir?
|
0 |
|
2 |
|
4 |
|
6 |
|
8 |
3x+y=6 ve x+y=2 denklem sistemi çözüldüğünde 3x+y=6 ve x+y=2 doğrularının (2,0) noktasında kesiştikleri görülür. Çokgen bölgenin köşe noktaları: (0,0), (2,0) ve (0,2) dir. Amaç fonksiyonunun bu noktalardaki değerleri: f(0,0)=0, f(0,2)=2 ve f(2,0)=4 olur. Bu fonksiyon değerlerinin en büyüğü 4 olduğuna göre amaç fonksiyonunun bu çokgen bölge (aslında üçgen bölge) üzerindeki maksimum değeri 4 olur.
8.Soru
diferansiyel denkleminin x=1 için y=1 başlangıç değerine sahip çözümü aşağıdakilerden hangisidir?
|
|
|
|
|
|
|
|
|
|
bulunur. x=1 için y=1 başlangıç değer koşulundan
1=1/5+c denklemine ulaşılır ve buradan c=4/5 bulunur. Diferansiyel denklemin x=1 için y=1 başlangıç değerine sahip çözümü
9.Soru
diferansiyel denkleminin y(1)=0 koşuluna uyan çözümü aşağıdakilerden hangisidir?
|
|
|
|
|
|
|
|
|
|
olup y(1)=0 koşulunu kullanırsak 0=1+c eşitliğine ulaşılır. Buradan c=-1 olup, çözüm
olarak elde edilir.
10.Soru
Belirli bir zaman aralığında piyasada tüketicilerin, satın alma gücüyle desteklenmiş, değişik fiyat düzeyinde satın almaya istekli oldukları mal veya hizmet miktarına ne denir?
|
Talep
|
|
Arz
|
|
Tüketici rantı
|
|
Üretici rantı
|
|
Piyasa fiyatı
|
11.Soru
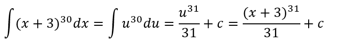
integralinin sonucu aşağıdakilerden hangisidir?
|
|
|
|
|
|
|
|
|
|
x+3=u diyelim. Buradan du=dx olur.
elde edilir.
12.Soru
Aşağıdaki noktalardan hangisi x -2y ? 5 x ? 0, y ? 0 eşitsizliklerinin hepsini birden saglar?
|
(1,-1) |
|
(-2,5) |
|
(2,3) |
|
(6,0) |
|
(8,1) |
(2,3) noktasını eşitsizliklerde yerine yazarsak üç eşitsizliğide sağladığı görülür.
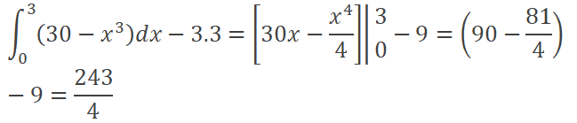
13.Soru
x miktarı ve p fiyatı göstermek üzere bir malın talep fonksiyonu
şeklinde verilsin. Buna göre p0=3 fiyatındaki tüketici rantı aşağıdakilerden hangisidir?
|
242/3 |
|
243/4 |
|
61 |
|
245/3 |
|
246/3 |
eşitliğinden x=3 olarak bulunur. Bu değeri x0=3 şeklinde göstererek tüketici rantı
olarak elde edilir.
14.Soru
Aşağıdaki noktalardan hangisi 2x + y ? 4 x ? 0, y ? 0 eşitsizliklerinin hepsini birden saglar?
|
(1,3) |
|
(1,1) |
|
(-1,2) |
|
(1,-2) |
|
(2,1) |
(1,1) noktası 3 eşitsizliği birden sağladığı yerine yezınca kolaylıkla görülür.
15.Soru
integralinin sonucu aşağıdakilerden hangisidir?
|
0 |
|
1 |
|
2 |
|
3 |
|
4 |
16.Soru
Bir ülkenin istatistik kurumunun yayınladığı yüzde 10'lik fert gruplarına göre gelir dağılımı verileri şu şekildedir. İlk yuzde 10'lik fert grubu için toplam gelirden aldığı pay yüzde 1.5, ikinci yüzde 10'lik fert grubu için toplam gelirden aldığı pay yüzde 2.5'dır. Bu verilere göre aşağıdakilerden hangisi Lorenz eğrisinin geçtiği noktalardan değildir?
|
0.4
|
|
1
|
|
0
|
|
0.04
|
|
0.015
|
17.Soru
Bir karınca kolonisindeki, karınca sayısının artış hızı mevcut karınca sayısıyla orantılıdır. Kolonideki karınca sayısı 4 saatte ikiye katlandığına göre karınca sayısı ne zaman 16 katına çıkar?
|
8
|
|
16
|
|
24
|
|
32
|
|
40
|
18.Soru
Bir ülkenin istatistik kurumunun yayınladığı yüzde 20'lik fert gruplarına göre gelir dağılımı verileri şu şekildedir. İlk yuzde 20'lik fert grubu için toplam gelirden aldığı pay 3.5, ikinci yüzde 20'lik fert grubu için toplam gelirden aldığı pay 12.6'dır. Bu verilere göre aşağıdakilerden hangisi Lorenz eğrisinin geçtiği noktalardan değildir?
|
0.035
|
|
0
|
|
1
|
|
1.26
|
|
0.161
|
19.Soru
integralinin sonucu aşağıdakilerden hangisidir?
|
|
|
|
|
|
|
|
|
|
x>0 iken
olur.
-
- 1.SORU ÇÖZÜLMEDİ
- 2.SORU ÇÖZÜLMEDİ
- 3.SORU ÇÖZÜLMEDİ
- 4.SORU ÇÖZÜLMEDİ
- 5.SORU ÇÖZÜLMEDİ
- 6.SORU ÇÖZÜLMEDİ
- 7.SORU ÇÖZÜLMEDİ
- 8.SORU ÇÖZÜLMEDİ
- 9.SORU ÇÖZÜLMEDİ
- 10.SORU ÇÖZÜLMEDİ
- 11.SORU ÇÖZÜLMEDİ
- 12.SORU ÇÖZÜLMEDİ
- 13.SORU ÇÖZÜLMEDİ
- 14.SORU ÇÖZÜLMEDİ
- 15.SORU ÇÖZÜLMEDİ
- 16.SORU ÇÖZÜLMEDİ
- 17.SORU ÇÖZÜLMEDİ
- 18.SORU ÇÖZÜLMEDİ
- 19.SORU ÇÖZÜLMEDİ