Matematik 2 Ara 9. Deneme Sınavı
Toplam 18 Soru2.Soru
Aşağıdaki noktalardan hangisi 12x+3y<= 36 eşitsizliğini sağlar?
|
(3,12)
|
|
(12,3)
|
|
(3,1)
|
|
(1,12)
|
|
(2,2)
|
3.Soru
Aşağıdakilerden hangisi maksimizasyon problemi kısıtlarından değildir?
|
|
|
|
|
|
|
|
|
|
a1, b1, c1, . . . , ak, bk, ck sayıları pozitif olmak üzere,
doğrusal eşitsizliklerine maksimizasyon probleminin kısıtları denir.Bu kalıplara uymayan
eşitsizliğidir.
4.Soru
Bir ülkenin istatistik kurumunun yayımladığı yüzde 20’lik fert gruplarına göre geri dağılımı verilerinden elde edilen Lorenz fonksiyonu
şeklinde belirlenmiştir. Buna göre bu ülkenin Gini indeksi aşağıdakilerden hangisidir?
|
0,33 |
|
0,66 |
|
0,75 |
|
0,80 |
|
0,90 |
Çözüm: Bu ülkenin Gini indeksi
0,66 olur.
5.Soru
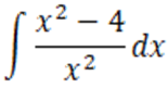
üstten y=6 ve yanlardan x=2 ve x=-2 ile sınırlı bölgenin alanı kaç br2 ' dir?
|
16/3 |
|
8 |
|
12 |
|
40/3 |
|
16 |
Sorulan bölgenin alanı aşağıda belirtilmiştir.
Buna göre
olur.
6.Soru
3x + 5y =200 ve x + 5y = 100 doğrularının kesişim noktaları aşağıdakilerden hangisidir?
|
(75/2 , 10)
|
|
(25,25)
|
|
(10,20)
|
|
(10,50)
|
|
(50,10)
|
7.Soru
Arz eğrisinin kaymasına neden olan faktörlere bir örnek veriniz?
|
Talebin artması |
|
Fiyatların artması |
|
Talebin azalması |
|
Fiyatların azalması |
|
Talebin fiyat esnekliği |
Arz eğrisinin kaymasına neden olan faktörlerden biri talebin artmasıdır.
8.Soru
f(x,y)=3x+7y amaç fonksiyonu aşağıda verilen çokgen bölge üzerindeki hangi noktada en büyük değerini alır?
|
(15,2) |
|
(19,13) |
|
(10,20) |
|
(1,13) |
|
(5,2) |
f(x,y)=ax+by doğrusal fonksiyonu çokgen bölge üzerinde en büyük değerini çokgenin bir köşe noktasında alır. Bu durumda çokgen bölgenin köşe noktalarının fonksiyonu altındaki değerleri sırasıyla
f(15,2)=3.15+7.2=59
f(19,13)=3.19+7.13=148
f(10,20)=3.10+7.20=170
f(1,13)=3.1+7.13=94
f(5,2)=3.5+7.2=29
sayılarıdır. O halde f(x,y) fonksiyonu en büyük değerini (10,20) noktasında alır.
9.Soru
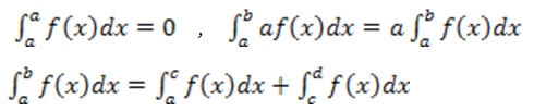
f, [2,5] aralığında sürekli bir fonksiyon ve F, f fonksiyonunun bir ilkeli ise aşağıdakilerden hangisi yanlıştır?
|
|
|
|
|
|
|
|
|
|
f, [a,b] aralığında sürekli bir fonksiyon
olmak üzere integral kuralları gereği
olur. İntegralin temel teoremi gereği
ve
olduğundan
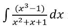
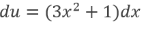
10.Soru
integralinin sonucu aşağıdakilerden hangisidir?
|
|
|
|
|
|
|
|
|
|
İntegralde
değişken değiştirmesi yapılırsa,
olarak bulunur. İntegralde yerine yazarsak,
şeklinde ifade edilir.
11.Soru
eşitsizliğinin çözüm kümesi aşağıdakilerden hangisidir?
|
|
|
|
|
|
|
|
|
|
3x+2y=18 doğrusunun eksenleri kestiği noktalar (6,0) ve (0,9) noktalarıdır. 3.0+2.0=0<18 olduğundan (0,0) noktası
eşitsizliğini sağlar. Bu durumda (0,0) noktasının bulunduğu taraftaki tüm noktalar eşitsizliğin çözüm kümesidir. O halde
eşitsizliğinin çözüm kümesi
olur.
12.Soru
Talep ve arz fonksiyonları p=10-2x ve p=1+3x olan bir malın piyasa fiyatı nedir?
|
1
|
|
2
|
|
1.4
|
|
1.8
|
|
1.2
|
13.Soru
Belirli bir zaman diliminde, bireyin diğer mal ve hizmetlerden olan tüketimi sabit iken, bir malın çeşitli miktarda tüketilmesi sonucu ulaşılan düzeye ne ad verilir?
|
Tüketici Rantı
|
|
Üretici Rantı
|
|
Toplam Fayda
|
|
Talebin Fiyat Esnekliği
|
|
Piyasa Fiyatı
|
14.Soru
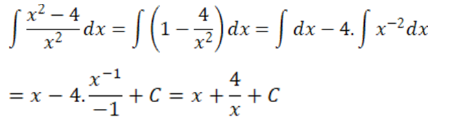
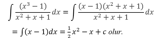
integralinin sonucu aşağıdakilerden hangisidir?
|
|
|
|
|
|
|
x2+4x+C |
|
|
olur.
16.Soru
Aşağıdakilerden noktalardan hangisi x + 2y ? 5 eşitsizliğini sağlar?
|
(1,3) |
|
(5,1) |
|
(2,2) |
|
(1,1) |
|
(3,2) |
(1,1) için x+2y=1+2.1=3 olup doğru şık D dir.
17.Soru
diferansiyel denkleminin genel çözümü aşağıdakilerden hangisidir?
|
|
|
|
|
|
|
|
|
|
ve buradan
bulunur.
18.Soru
integralinin sonucu aşağıdakilerden hangisidir?
|
|
|
|
|
|
|
|
|
|
olduğundan
-
- 1.SORU ÇÖZÜLMEDİ
- 2.SORU ÇÖZÜLMEDİ
- 3.SORU ÇÖZÜLMEDİ
- 4.SORU ÇÖZÜLMEDİ
- 5.SORU ÇÖZÜLMEDİ
- 6.SORU ÇÖZÜLMEDİ
- 7.SORU ÇÖZÜLMEDİ
- 8.SORU ÇÖZÜLMEDİ
- 9.SORU ÇÖZÜLMEDİ
- 10.SORU ÇÖZÜLMEDİ
- 11.SORU ÇÖZÜLMEDİ
- 12.SORU ÇÖZÜLMEDİ
- 13.SORU ÇÖZÜLMEDİ
- 14.SORU ÇÖZÜLMEDİ
- 15.SORU ÇÖZÜLMEDİ
- 16.SORU ÇÖZÜLMEDİ
- 17.SORU ÇÖZÜLMEDİ
- 18.SORU ÇÖZÜLMEDİ