Matematik 2 Final 3. Deneme Sınavı
Toplam 19 Soru1.Soru
Aşağıdaki sayılardan hangisi
denkleminin çözüm kümesine aittir?
|
2 |
|
3 |
|
4 |
|
5 |
|
6 |
1 sayısı seçeneklerde olmadığına göre denklemi sağlayan 5 sayısıdır.
2.Soru
Kuvvet fonksiyonu ile şifrelemede p=11, e=7 olsun. M=5 sayısının şifrelenmişi aşağıdakilerden hangisidir?
|
6 |
|
5 |
|
4 |
|
3 |
|
2 |
olur. Böylece ş(5)=3'tür.
3.Soru
Doğrusal şifreleme fonksiyonu d(y) = 10(y-5) (mod 3) ile y =12 sayısının şifrelenmişi aşağıdakilerden hangisidir?
|
5
|
|
4
|
|
3
|
|
2
|
|
1
|
4.Soru
Doğrusal şifreleme fonksiyonu ş(x)=3x+4 (mod 7) ile x=6 sayısının şifrelenmişi aşağıdakilerden hangisidir?
|
1
|
|
2
|
|
3
|
|
4
|
|
5
|
5.Soru
Matrisi
şeklinde verilen oyunun aşağı değeri aşağıdakilerden hangisidir?
|
3 |
|
-1 |
|
4 |
|
-2 |
|
5 |
Her satırın karşısına bu satırın en küçük elemanını, her sütunun altına o sütunun en büyük elemanını yazalım. Sağdaki {-2,-4,-3} sayılarının en büyüğü (-2) sayısı oyunun aşağı değeri, alttaki {2,1,5,4} sayılarının en küçüğü olan 1 sayısı ise oyunun yukarı değeridir.
6.Soru
Kriptanaliz nedir?
|
Şifreleme problemlerinde kullanılan matematiksel yöntemlerin bütününe kriptanaliz denir.
|
|
Şifrelenmiş metinden doğru metni bulma yöntemleridir.
|
|
Doğru metinden şifrelenmiş metni bulma yöntemidir.
|
|
Devletin çeşitli birimleri arasında gizli haberleşmeyi saglayan bir tekniktir.
|
|
Şifrelenmiş metinden başka bir şifrelenmiş metni bulma yöntemidir.
|
7.Soru
Deşifre fonksiyonu d(y)=22(y-3) (mod 29) ile y=6 sayısının deşifresi aşağıdakilerden hangisidir?
|
8
|
|
7
|
|
5
|
|
4
|
|
3
|
8.Soru
Aşağıdaki fonksiyonlardan hangisi
diferansiyel denklemini sağlar?
|
y=x |
|
|
|
y=1 |
|
|
|
|
fonksiyonunun türevi kendisine eşittir, dolayısıyla
fonksiyonu sağlar.
9.Soru
Kuvvet fonksiyonuyla şifrelemede p=13, e=7 ise M=8 sayısının şifrelenmişi aşağıdakilerden hangisidir ?
|
1
|
|
4
|
|
8
|
|
7
|
|
5
|
10.Soru
Şifreleme fonksiyonu
ile veriliyorsa deşifre fonksiyonu aşağıdakilerden hangisidir?
|
|
|
|
|
|
|
|
|
|
doğrusal şifreleme için
deşifre fonksiyonudur, yani gönderilecek sayı
fonksiyonu yardımıyla şifrelenip,
’nin yardımıyla deşifre edilir. Doğru cevap A’dır.
11.Soru
Aşağıdaki sayı gruplarından hangisi aralarında asaldır?
|
8,34
|
|
27,181
|
|
39,115
|
|
15,80
|
|
16,48
|
12.Soru
Düzlemsel bir çizgede köşe sayısı 4, kenar sayısı 6 ise bölge sayısı kaçtır?
|
4 |
|
3 |
|
5 |
|
1 |
|
2 |
Düzlemsel tek parça bir çizgede çizgenin düzlemde belirlediği bölgelerin sayısıyla çizgenin köşe noktalarının sayısının toplamı, çizgenin kenar sayısından iki fazla olur. Yani
Bölge Sayısı + Köşe Noktalarının Sayısı = Kenar Sayısı +2
eşitliği geçerlidir. Bu formüle Euler formülü de denir. Bu formülde verilenleri yerine koyarsak
Bölge Sayısı+ 4=6+2
olacağından bölge sayısı 4 olarak bulunur.
13.Soru
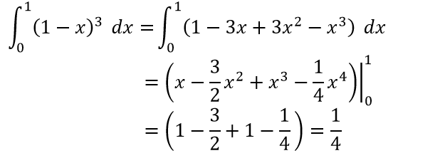
integralinin değeri aşağıdakilerden hangisidir?
|
1/12 |
|
1/3 |
|
3/4 |
|
1/4 |
|
2/3 |
14.Soru
f(x,y)=2x+3y amaç fonksiyonunun
kısıtları altında maksimum değeri aşağıdakilerden hangisidir?
|
12 |
|
20 |
|
25 |
|
28 |
|
30 |
x+y=10 doğrusu eksenleri (0,10) ve (10,0) noktalarında, 2x+y=12 doğrusu eksenleri (0,12) ve (6,0) noktalarında keser. Ayrıca
denklemi sistemi çözülürse, bu iki doğrunun x=2 ve y=8 yani (2,8) noktasında kesiştiği görülür. O halde çokgen bölgenin köşe noktaları (0,0), (0,10), (6,0) ve (2,8) noktalarıdır. Amaç fonksiyonunun bu noktalardaki değeri f(0,0)=0, f(0,10)=30, f(6,0)=12, f(2,8)=28 olur. Bu fonksiyon değerlerinin en büyüğü 30 olduğundan amaç fonksiyonunun bu çokgen bölge üzerindeki maksimum değeri 30 olur.
15.Soru
Boş kümeden farklı noktalar kümesiyle bu noktalar arasındaki çizgilerin kümesine……..denir’ noktalı yere aşağıdakilerden hangisi gelmelidir?
|
Çizge |
|
Kenar |
|
Nokta |
|
Doğru |
|
Mesafe |
İşte bu tür diyagramlara çizge denir. Daha kesin bir tanım vermek gerekirse çizge, boş kümeden farklı noktalar kümesiyle bu noktalar arasındaki çizgilerin kümesinden oluşur.
16.Soru
Babasının yaşı oğlunun yaşının 4 katının 5 eksiğinden büyüktür. Babasının yaşı y oğlunun yaşı x olduğuna göre aşağıdaki ifadelerden hangisi doğrudur?
|
y>4x-5
|
|
y<4x+15
|
|
y>5x-4
|
|
y>4x+5
|
|
y>5x+4
|
17.Soru
8 takımdan oluşan bir ligin ikinci haftası tamamlanmıştır. Ancak takımlardan birinin otobüsü kaza yaptığı için oynayacağı ikinci hafta maçı ileri bir tarihe ertelenmiştir. Ligin bu durumunu gösteren çizge aşağıdakilerden hangisidir?
|
|
|
|
|
|
|
|
|
|
8 tane takım olduğu için 8 köşeli bir çizge olmalıdır. Ayrıca takımlardan biri ikinci hafta maça çıkamadığı için bu takım ve oynayacağı takım ikinci hafta maçlarını oynamadıklarından, şimdiye kadar birer maç yapmışlardır. Bu takımlardan birer kenar çıkmaması gerekir. Diğer takımlar ikişer maç yaptığı için, bu takımları temsil eden köşelerden ikişer kenar çıkmalıdır.
18.Soru
Şifreleme fonksiyonu
olarak veriliyor.
değerinin şifresi hangisidir?
|
2 |
|
3 |
|
0 |
|
1 |
|
5 |
Doğru cevap A’dır.
19.Soru
7 köşe noktalı, köşe noktaları adlandırılmış kaç farklı ağaç vardır?
|
343
|
|
16807
|
|
2401
|
|
117649
|
|
49
|
-
- 1.SORU ÇÖZÜLMEDİ
- 2.SORU ÇÖZÜLMEDİ
- 3.SORU ÇÖZÜLMEDİ
- 4.SORU ÇÖZÜLMEDİ
- 5.SORU ÇÖZÜLMEDİ
- 6.SORU ÇÖZÜLMEDİ
- 7.SORU ÇÖZÜLMEDİ
- 8.SORU ÇÖZÜLMEDİ
- 9.SORU ÇÖZÜLMEDİ
- 10.SORU ÇÖZÜLMEDİ
- 11.SORU ÇÖZÜLMEDİ
- 12.SORU ÇÖZÜLMEDİ
- 13.SORU ÇÖZÜLMEDİ
- 14.SORU ÇÖZÜLMEDİ
- 15.SORU ÇÖZÜLMEDİ
- 16.SORU ÇÖZÜLMEDİ
- 17.SORU ÇÖZÜLMEDİ
- 18.SORU ÇÖZÜLMEDİ
- 19.SORU ÇÖZÜLMEDİ