Matematik 2 Final 4. Deneme Sınavı
Toplam 19 Soru1.Soru
3x – 12 ? 3 (mod 7) denkleminin özüm kümesi aşağıdakilerden hangisidir?
|
{… -10,-3, 0, 3, 10…}
|
|
{… -12,-5, 5, 12, 19…}
|
|
{… -8,-4, 0,4, 8…}
|
|
{…, -4,-2, 0, 2, 4…}
|
|
{…, -7,-4, -1, 2, 5…}
|
2.Soru
(1,1) noktası aşağıdaki eşitsizliklerden hangisini sağlar?
|
2x + 5y ≤ 8 |
|
x + 3y ≤ 3 |
|
4x + 5y ≤ 5 |
|
2x -y ≤0 |
|
x + 4y ≤ 2 |
(1,1) noktası A şıkkında yerine yazdığımızda 2x+5y=2.1+5.1=7 olup eşitsizliği sağladığı görülür.
3.Soru
Bir düzlemsel çizgede, bölge sayısı 5, köşe nokta sayısı 6 ise, kenar sayısı kaçtır?
|
6
|
|
7
|
|
8
|
|
9
|
|
10
|
4.Soru
Bir düzlemsel çizede bölge sayısı ile köşe noktalarının sayısı eşit ise kenar sayısı aşağıdakilerden hangisi olabilir?
|
1 |
|
3 |
|
5 |
|
7 |
|
8 |
Bölge sayısı+ köşe sayısı= kenar sayısı+2 dir
Bölge sayısı= köşe sayısı=x ise
x+x= Kenar sayısı+2
2x=kenar sayısı +2 olup kenar sayısı tek olamaz yani kenar sayısı çift olmak sorundadır. o yüzden doğru cevap 8 dir.
5.Soru
Kuvvet fonksiyonu ile şifrelemede
sayısının şifrelenmişi aşağıdakilerden hangisidir?
|
4 |
|
5 |
|
6 |
|
7 |
|
8 |
Kuvvet fonksiyonu ile şifrelemede gönderici
sayısını şifreleyip göndermek için
sayısı olan
’yi hesaplar. Buna göre
olduğundan doğru cevap E’dir.
6.Soru
Matrisi
olan sıfır toplamlı oyunun, eğer varsa, denge ikilisi aşağıdakilerden hangisidir?
|
1. satır, 1. sütun |
|
3. satır, 3. sütun |
|
2. satır, 2. sütun |
|
3. satır, 1. sütun |
|
Yoktur |
maks{-3,-2,-1}=-1 ve min{4,2,1}=1 sayılar eşit çıkmadığı için verilen matrisin denge ikilisi yoktur.
7.Soru
Matrisi
verilen oyunun aşağı değeri aşağıdakilerden hangisidir?
|
3 |
|
-1 |
|
4 |
|
-2 |
|
5 |
Her satırın karşısına bu satırın en küçük elemanını, her sütunun altına o sütunun en büyük elemanını yazalım. Sağdaki
sayılarının en büyüğü (-2) sayısı oyunun aşağı değeri, alttaki
sayılarının en küçüğü olan 1 sayısı ise oyunun yukarı değeridir. Cevap D dir.
8.Soru
Köşe sayısı 10 ve kenar sayısı 20 olan bir çizge kaç bölge oluşturur?
|
10 |
|
12 |
|
9 |
|
8 |
|
7 |
Düzlemsel tek parça bir çizgede çizgenin düzlemde belirlediği bölgelerin sayısıyla çizgenin köşe noktalarının sayısının toplamı, çizgenin kenar sayısından iki fazla olur. Yani
bölge sayısı +köşe noktalarının sayısı = kenar sayısı +2
eşitliği geçerlidir.
Bölge sayısı+10=20+2
olduğundan bölge sayısı 12 bulunur.
9.Soru
5 günde bir nöbet tutan bir doktor ilk nöbetini Cuma günü tuttuğuna göre 20. nöbetini hangi gün tutar?
|
Pazartesi |
|
Salı |
|
Çarşamba |
|
Perşembe |
|
Cuma |
Doktor ilk nöbetini Cuma günü tuttuğuna göre geriye 19 nöbeti kalır. 5 günde bir nöbet tuttuğundan son nöbetini
gün sonra tutacaktır. Böylece
olup son nöbetini Cuma’dan dört gün sonra yani Salı günü tutar. Doğru cevap B’dir.
10.Soru
Aşağıdaki çizgenin hangi köşe noktasının derecesi en küçüktür?
|
e |
|
d |
|
c |
|
b |
|
a |
Şekildeki çizgenin a, b ve d köşelerinin derecesi 2, e köşesinin 3, c köşesinin derecesi ise 1’dir.
11.Soru
integralinin sonucu aşağıdakilerden hangisidir?
|
-1,17 |
|
1,17 |
|
0,50 |
|
-0,50 |
|
1,0 |
-1,17
12.Soru
RSA şifrelemesi kullanan alıcı
sayılarını seçmiştir. Ona gönderilecek şifreli sayıyı okumak için gereken gizli
sayısı aşağıdakilerden hangisidir?
|
6 |
|
7 |
|
8 |
|
9 |
|
10 |
bulunur (16’nın 15’e bölümünden kalan 1’dir). Doğru cevap C’dir.
13.Soru
Matrisi
olan sıfır toplamlı oyunun denge ikilisi aşağıdakilerden hangisidir?
|
(1. satır, 3. sütun) |
|
(3. satır, 1. sütun) |
|
(2. satır, 1. sütun) |
|
(2. satır, 2. sütun) |
|
(3. satır, 2. sütun) |
Her satırın karşısına en küçük elemanı, sütunların altına en büyük elemanı yazıp birincilerin maksimumunu, ikincilerin minimumunu bulalım:
Sayılar eşit (= 0) çıktığı için bu 0’ın bulunduğu (3. satır, 1. sütun) denge ikilisidir. Başka bir deyişle bu 0 sayısı bulunduğu 3. satırda en küçük, bulunduğu 1. sütunda ise en büyüktür. Doğru cevap B’dir.
14.Soru
Sırasıyla 1., 2., ve 3. satırları (-3 5 1), (-6 1 4), ve (0 2 3) olan sıfır toplamlı oyunda 1. oyuncu 2. satırı seçtiğinde garantilenmiş kazancı aşağıdakilerden hangisidir?
|
-6
|
|
1
|
|
4
|
|
3
|
|
2
|
15.Soru
Hangisi bir çizgenin tüm köşe noktalarının derecelerinin bir dizisi olamaz?
|
1, 2, 1
|
|
1, 2, 2
|
|
2, 2, 2
|
|
1, 3, 2
|
|
2, 1, 5
|
16.Soru
Tutuklu ikilemi oyunu için tutukluların en iyi stratejisi nedir?
|
(İtiraf, İtiraf)
|
|
(İtiraf, Susma)
|
|
(Susma, İtiraf)
|
|
(Susma, Susma)
|
|
Hiçbiri
|
17.Soru
Bugün günlerden salı ise, 80 gün sonra günlerden ne olur?
|
Pazartesi
|
|
Salı
|
|
Çarşamba
|
|
Perşembe
|
|
Cuma
|
18.Soru
ebob( 164,40)=?
|
10
|
|
6
|
|
4
|
|
2
|
|
12
|
19.Soru
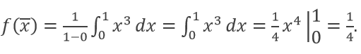
aralığı üzerindeki
aşağıdakilerden hangisidir?
|
|
|
|
|
|
|
|
|
|
-
- 1.SORU ÇÖZÜLMEDİ
- 2.SORU ÇÖZÜLMEDİ
- 3.SORU ÇÖZÜLMEDİ
- 4.SORU ÇÖZÜLMEDİ
- 5.SORU ÇÖZÜLMEDİ
- 6.SORU ÇÖZÜLMEDİ
- 7.SORU ÇÖZÜLMEDİ
- 8.SORU ÇÖZÜLMEDİ
- 9.SORU ÇÖZÜLMEDİ
- 10.SORU ÇÖZÜLMEDİ
- 11.SORU ÇÖZÜLMEDİ
- 12.SORU ÇÖZÜLMEDİ
- 13.SORU ÇÖZÜLMEDİ
- 14.SORU ÇÖZÜLMEDİ
- 15.SORU ÇÖZÜLMEDİ
- 16.SORU ÇÖZÜLMEDİ
- 17.SORU ÇÖZÜLMEDİ
- 18.SORU ÇÖZÜLMEDİ
- 19.SORU ÇÖZÜLMEDİ