Matematiksel İktisat Final 1. Deneme Sınavı
Toplam 19 Soru1.Soru
Aşağıdakilerden hangisi K’ya göre ikinci türevi 2L olan fonksiyondur?
|
$LK^{2}$
|
|
$L^{2}K
|
|
$LK$
|
|
$2KL$
|
|
$2KL^{2}$
|
2.Soru
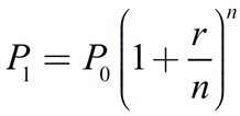
Bir banka için faiz ödemeleri yıl içerisinde düzenli aralıklarla n defa yapılmaktadır ve r kadar sabit nominal yıllık faiz oranı önermektedir. P0 anaparayı temsil ettiğine göre bu banka bir müşterisi için bir yılın sonunda kadar anapara teklif etmektedir. Bu bankaya %4 faiz ile 5000 lira yatıran bir kişi senenin sonunda anaparasının ne kadar fazlasını geri almış olur?
|
200 |
|
300 |
|
520 |
|
5200 |
|
5300 |
İlk önce verilenleri yazalım: r=0.04, P0=5000, n=1. Bu sayıları formülde yerine yazarsak P1=5000*[1+(0.04/1)]1 eşitliğini buluruz. Bu eşitliği çözecek olursak P1=5200 sonucunu buluruz. İlk baştaki anaparamız 5000 olduğuna göre sene sonunda bankanın faizi ile sene sonundaki paramız 200 artmış olur.
3.Soru
Ters talep fonksiyonu, p=250-3Qd ve ters arz fonksiyonu p=2Qs-100 ise denge fiyatı p nedir?
|
10 |
|
20 |
|
30 |
|
40 |
|
50 |
250-3Q=2Q-100
250+100=2Q+3Q
5Q=350
Q=70 olur. p=2Q-100=2.70-100=140-100=40 elde edilir.
4.Soru
Yukarıda verilen üstel fonksiyon limit işleminin sonucu aşağıdakilerden hangisidir?
|
-2 |
|
-1 |
|
0 |
|
1 |
|
2 |
Yukarıdaki limit değeri e tabanlı üstel fonksiyonun özelliklerinden biri olup değeri 0'a eşittir.
5.Soru
f(x,y)=x4y3-8xy fonksiyonunun x değişkenine göre kısmi türevi aşağıdakilerden hangisidir?
|
4x4y3-8xy |
|
3x4y2-8x |
|
4x43y2-8 |
|
4x3y3-8y |
|
x4y3-8y |
Fonksiyonda x değişkenine göre kısmi türev alınması x değişkeninin fonksiyona olan etkisini ortaya koymaktadır. Bunu yaparken y değişkeni sabit olarak kabul edilir. Daha sonra türev alma kurallarına göre x’in üs değeri çarpım olarak x’in önüne getirilir ve üs 1 azaltılır (4x3y3-8xy).
6.Soru
Bir fonksiyonun herhangi bir noktadaki türevi negatif ise fonksiyonun bu noktadaki trendi aşağıdakilerden hangisidir?
|
Artan |
|
Azalan |
|
Nötr |
|
Önce artar sonra azalır. |
|
Önce azalır sonra artar. |
Bir fonksiyonun türevi tanımlı olduğu aralıkta sürekli pozitif ise bu fonksiyona artan fonksiyon adı verilir. Bir fonksiyonun türevi tanımlı olduğu aralıkta sürekli azalan ise bu fonksiyona azalan fonksiyon adı verilir. Artan veya azalan fonksiyonlar, genel olarak monoton fonksiyon olarak adlandırılır.
7.Soru
Bir mal için piyasanın talep fonksiyonu P(Q)=45-9Q ve tekelci firma için toplam maliyet fonksiyonu TC(Q)=Q2+5Q+9 olarak verilmiştir. Buna göre bu firmanın toplam kazanç TR(Q)fonksiyonu aşağıdakilerden hangisidir?
|
45-9Q |
|
2Q+1 |
|
45Q-9Q2 |
|
Q3+5Q2+9Q |
|
P(45-9Q) |
Bir firmanın sattığı mal miktarı ile o malın fiyatı çarpıldığında o firmanın toplam kazancı elde edilir. Q kadar malı 45-9Q fiyatından satan bu firmanın toplam kazanç fonksiyonu; TR(Q)=Q(45-9Q)=45Q-9Q2 ’dir.
8.Soru
İkinci türevi daima pozitif olan fonksiyonlar ne tür fonksiyonlardır?
|
Dışbükey fonksiyon |
|
içbükey fonksiyon |
|
marjinal fonksiyon |
|
logaritmik fonksiyon |
|
Üstel fonksiyon |
Eğimi sürekli artan yani ikinci türevi daima pozitif olan fonksiyonlar dışbükey fonksiyonlar olarak adlandırılır. Bu fonksiyonların yerel minimum noktaları mevcuttur.
9.Soru
Talep fonksiyonu Qd = 160P4 olduğu bir firma için toplam hasılanın maksimum olduğu fiyat nedir?
|
2 |
|
3 |
|
4 |
|
5 |
|
6 |
Toplam hasılayı bulmak için talep miktarı ile fiyatı birbiri ile çarpmak gerekir yani TR=P*Qd şeklinde bulunur. TR=P*(160 - P4) buradan da TR=160P - P5 eşitliğini elde ederiz. Toplam hasıla fonksiyonunun maksimum olduğu noktayı bulmak için Toplam hasıla fonksiyonunun P’ye göre türevini alırız. TR?=1600 – 5P4 ve bunu sıfıra eşitleyip çözeriz. 0=160 – 5P4 ise 5P4=160 buradan P=2 sonucunu buluruz.
10.Soru
Bir matrisin herhangi bir satır veya sütunundaki elemanlarının kendi kofaktör değerleriyle çarpımları toplamına ne ad verilir?
|
Determinant |
|
Ters matris |
|
İz değeri |
|
Evrik |
|
Gauss Eleme Yöntemi |
Bir matrisin herhangi bir satır veya sütunundaki elemanlarının kendi kofaktör değerleriyle çarpımları toplamına determinant denir. Matrislerin boyutu arttıkça bu hesaplama biraz karışık hale gelmektedir.
11.Soru
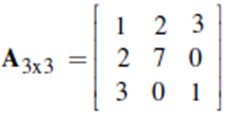
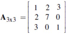
Aşağıda verilen matrislerden hangisi bir simetrik matrisdir?
|
|
|
|
|
|
|
|
|
|
Simetrik matris: Tüm i ve j’ler için, aij = aji koşulu gerçekleşen matristir. Yani a12=a21, a23=a32 … tarzında olan matristir. Simetrik matrisi anlamak için kare bir matrisin köşegeninden bölüm katladığımızı hayal ettiğimizde üst üste gelen terimlerin aynı olup olmadığını kontrol ederiz. Bunu yaptığımız zaman seçenekler arasında simetrik matrisin olduğunu görürüz.
12.Soru
C = 1450 + 0,85Yd şeklinde bir tüketim fonksiyonu verilmiştir. Buna göre hane halklarının hiç gelir elde etmediklerinde yapacakları tüketim miktarı aşağıdakilerden hangisidir?
|
0.85
|
|
1232.5
|
|
1450
|
|
C
|
|
Yd
|
13.Soru
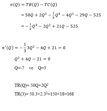
bir firmanın toplam hasıla fonksiyonu olan TR(Q) ve toplam maliyet fonksiyonu TC(Q) fonksiyonları verilmiştir.Bu firma karını maksimum kılabilmek için çalışmaktadır. Buna göre optimum üretim düzeyinde bu firmanın toplam hasılası ne kadar olur?
|
124 |
|
146 |
|
168 |
|
172 |
|
185 |
14.Soru
Çok değişkenli fonksiyonun ikinci mertebeden kısmi türevlerinden elde edilen matris aşağıdakilerden hangisidir?
|
Birim matris |
|
Hessian matrisi |
|
Sıfır matris |
|
Satır matris |
|
Sütun matris |
İkinci mertebeden kısmi türevlerden elde edilen matris Hessian matrisidir. Doğru cevap B'dir.
15.Soru
Fayda fonksiyonu biçiminde olan bir tüketici x malını 1₺ ve y malını 4₺’den satın almaktadır. Tüketicinin bu iki mal için harcayabileceği 16 ₺’si vardır. Bu tüketicinin faydasını maksimize eden optimal tüketim bileşimi (x,y) aşağıdakilerden hangisidir?
|
(8,2) |
|
(2,8) |
|
(1,4) |
|
(4,1) |
|
(2,4) |
Öncelikle tüketicinin kısıt fonksiyonunu (bütçe kısıtını) oluşturmak gereklidir.
M=Pxx+Pyy⇒x+4y=16
Bu durumda tüketicinin problemi:
Maksimize et: U(x,y)=xy
Kısıt: 16= x+4y
Fayda optimizasyon probleminin çözümü için gerekli Lagrange fonksiyonu ve I. Dereceden koşulları aşağıdaki gibi olacaktır.
L(x,y,λ)=xy+λ(16-x-4y)
Lx≡∂L/∂x=y-λ=0
Ly≡∂L/∂y=x-4λ=0
Lλ≡∂L/∂λ=16-x-4y=0
λ=x=4y
Bulunan x ifadesini Lλ’da yerine koyarsak
16-4y-4y=0⇒8y=16⇒y=2
x=4y olduğundan x=4(2)=8
16.Soru
Aşağıda genel formda ifade edilmiş doğrusal eşzamanlı denklemler sistemi verilmiştir.
ax+by=e
cx+dy=f
Bu iki denklemin paralel doğruları tanımlamaları için hangi koşulun gerçekleşmesi gerekir?
|
a/b=c/d |
|
ad-cb=0 |
|
f/d=c/d |
|
a/c=b/d |
|
ab=cd |
Öncelikle her iki denklemi de eğim kesişim formunda y cinsinden ifade edelim:
y=e/b-(a/b)x
y=f/d-(c/d)x
Bu iki denklemin paralel doğruları ifade etmesi için eğimleri eşit (aynı) olmalıdır. Yani a/b=c/d olmalıdır.
17.Soru
Bir matriste tüm i ve j’ler için, aij = aji gerçekleşiyorsa, o matrise ne ad verilir?
|
Üçgensel matris |
|
Alt üçgensel matris |
|
Simetrik matris |
|
Köşegen Matris |
|
Matrisin evriği |
Bir matriste tüm i ve j’ler için, aij = aji gerçekleşiyorsa, o matrise simetrik matris denir.
18.Soru
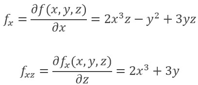
f(x,y,z)=1/2 x4 z-xy2+3xyz fonksiyonunda fxz kısmi türevi aşağıdakilerden hangisidir?
|
x3 - y2 |
|
x3+3yz |
|
x3-y2+3y |
|
2x3+3y |
|
x + 3xz |
19.Soru
Aşağıda verilen fonksiyonlardan hangisi doğrusal fonksiyondur?
|
|
|
|
|
|
|
|
|
|
Eşitliğin doğrusal olması, kontrol edilen bütün eşitliklerin, y = a + bx formatında olması gerekliliğidir. Bu özellik formattaki a veya b’nin 0 ya da 1 olduğu durumları da içerir ki böyle durumlarda y = a ya da y = x olur. Doğrusal olması formatın üs, kare (veya başka bir seviyede), kök, xy veya x/y olmaması durumunu ifade eder. Doğru cevap B'dir.
-
- 1.SORU ÇÖZÜLMEDİ
- 2.SORU ÇÖZÜLMEDİ
- 3.SORU ÇÖZÜLMEDİ
- 4.SORU ÇÖZÜLMEDİ
- 5.SORU ÇÖZÜLMEDİ
- 6.SORU ÇÖZÜLMEDİ
- 7.SORU ÇÖZÜLMEDİ
- 8.SORU ÇÖZÜLMEDİ
- 9.SORU ÇÖZÜLMEDİ
- 10.SORU ÇÖZÜLMEDİ
- 11.SORU ÇÖZÜLMEDİ
- 12.SORU ÇÖZÜLMEDİ
- 13.SORU ÇÖZÜLMEDİ
- 14.SORU ÇÖZÜLMEDİ
- 15.SORU ÇÖZÜLMEDİ
- 16.SORU ÇÖZÜLMEDİ
- 17.SORU ÇÖZÜLMEDİ
- 18.SORU ÇÖZÜLMEDİ
- 19.SORU ÇÖZÜLMEDİ