Matematiksel İktisat Final 3. Deneme Sınavı
Toplam 20 Soru1.Soru
fonksiyonunun x değişkenine göre kısmi türevi aşağıdakilerden hangisidir?
|
3x2 + 10 |
|
12x2y3 + 10 |
|
3x2y4 + 10 |
|
4x3y3 |
|
4x3y3 +10 |
Fonksiyonun x değişkenine göre kısmi türevinin alınması için y'nin sabit tutulup türevin alınması gereklidir. Buna göre fonksiyonun x değişkenine göre kısmi türevi 3x2y4 + 10 olarak gerçekleşir. Doğru cevap C'dir.
2.Soru
Yukarıdaki lineer denklem sistemi çözüldüğünde x değeri kaç olarak bulunur?
|
-2 |
|
-1 |
|
1 |
|
2 |
|
3 |
Yukarıdaki lineer denklem sistemi yerine koyma metodu ile çözülürse y yerine 1. denklemden elde edilen 2x-3 ifadesi yazılabilir. Bu ifade 2. denklemde yerine konduğunda x+6x-9 = 5 denklemi elde edilir. Buradan x'in değeri 2 olarak bulunur. Doğru cevap D'dir.
3.Soru
Aşağıdakilerden hangisi, bir malın tüketilen son biriminin tüketiciye sağladığı fayda olarak adlandırılır?
|
Minimum fayda
|
|
Maksimum fayda
|
|
Marjinal fayda
|
|
Toplam fayda
|
|
Optimal fayda
|
4.Soru
Ortalama hasıla fonksiyonu AR=P=100-4Q ise marjinal hasıla fonksiyonu aşağıdakilerden hangisidir?
|
a) 100-8Q
|
|
b) 120-3Q
|
|
c) 100-6Q
|
|
d) 100Q-4Q2
|
|
e) 100Q2-4Q
|
5.Soru
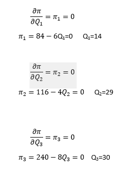
Bir firmanın kar fonksiyonu;olarak verilmiştir. Buna göre firmanın karını optimum kılan üretim düzeyleri nedir?
|
|
|
|
|
|
|
|
|
|
6.Soru
“P0 > 0 (anapara) kadar para vadeli mevduat hesabına yatırılmıştır ve bu hesap r kadar sabit nominal yıllık faiz oranı önermektedir. Faiz ödemeleri yıl içerisinde düzenli aralıklarla n defa yapılmaktadır.”
Buna göre bir yıl sonunda anaparanın yeni durumunu gösteren hesap aşağıdakilerden hangisidir?
|
|
|
|
|
|
|
|
|
|
P0 > 0 (anapara) kadar para vadeli mevduat hesabına yatırılmıştır ve bu hesap r kadar sabit nominal yıllık faiz oranı önermektedir. Faiz ödemeleri yıl içerisinde düzenli aralıklarla n defa yapılmaktadır. Bir yıl sonunda anaparanın yeni durumunu gösteren hesap şöyle olur.
7.Soru
5000 TL paranızı yıllık %8 faiz oranı öneren bir bankaya 3 yıllığına yatırdığınızı varsayalım. 3 yılın sonunda anaparanızın alacağı yeni değer ne kadar olur?
|
6298
|
|
7536
|
|
8244
|
|
7638
|
|
5246
|
8.Soru
Q = 600 – 2 P – 5Pi+ 0.05Y şeklinde verilmiş olan talep fonksiyonunda Q talep miktarı, P fiyatı, Pi ikame malın fiyatını ve Y geliri temsil ettiğine göre P=20, Pi = 30, Y=800 olduğu durumda gelir esnekliği nedir?
|
1/45 |
|
8/45 |
|
4/45 |
|
9/40 |
|
1/80 |
Gelirin esnekliğini hesaplamak için formülünü kullandığımızda öncelikle Q’nun Y’ye göre kısmi türevini bulmamız gerektiğini görüyoruz. Bu kısmi türev ise 0.05’e eşittir. Q ise 600 – 2*20-5*30+0.05*800 = 450 olduğunu buluruz. Bulunan tüm değerleri yerine yazdığımızda Ey= (800/450)x(0.05) = 4/45 talebin fiyat esnekliğini 4/45 olarak buluruz.
9.Soru
fonksiyonunda f31 kısmi türevi aşağıdakilerden hangisidir?
|
x3 + 6x15 |
|
6x15 + x2 |
|
x1 + 4x33 |
|
1 |
|
6x15 |
Fonksiyonun önce x3'e göre kısmi türevi alınıp sonra da x1'e göre kısmi türevi alınır. Dolayısıyla sonuç 1 olur. Doğru cevap D'dir.
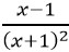
10.Soru
olduğuna göre fonksiyonunun eşiti aşağıdakilerden hangisidir?
|
|
|
|
|
|
|
|
|
|
Bölüm fonksiyonu kuralına göre paydaki fonksiyonun türevi ile paydadaki fonksiyonun kendisi çarpılır ve paydadaki fonksiyonun türevi ile paydaki fonksiyonun kendisi çarpılarak bu iki çarpım birbirinden çıkarılır ve bulunan fark paydadaki fonksiyonun karesi ile bölünür.
11.Soru
I. Hessian matirisinin determinant değeri sıfıra eşitse bu sıralı ikililer için bir şey söylenemez.
II. Hessian matirisinin determinant değeri sıfırdan küçük ise ne maksimum ne de minimumu vardır.
III. Hessian matrisi birinci mertebeden kısmi türevlerden elde edilen matristir.
Hessian Matrisi ile ilgili verilenlerden hangisi ya da hangileri doğrudur?
|
Yalnız I |
|
Yalnız II |
|
I ve II |
|
I ve III |
|
II ve III |
I. Hessian matirisinin determinant değeri sıfıra eşitse bu sıralı ikililer için bir şey söylenemez. (Doğru)
II. Hessian matirisinin determinant değeri sıfırdan küçük ise ne maksimum ne de minimumu vardır. (Doğru)
III. Hessian matrisi birinci mertebeden kısmi türevlerden elde edilen matristir. (Yanlış, Hessian matrisi ikinci mertebeden kısmi türevlerden elde edilen matristir.)
Doğru cevap C şıkkıdır.
12.Soru
Herhangi bir f(x) fonksiyonu için x’in bir değerine o değerinden büyük değerlerden yaklaşılmasındaki limitine ne ad verilir?
|
Sonlu limit |
|
Sonsuz limit |
|
Sürekli limit |
|
Soldan limit |
|
Sağdan limit |
Bir f(x) fonksiyonu için x herhangi bir değer alındığında x eksenindeki noktasını düşündüğümüz zaman bu değerden küçük değerler sol tarafındadır ve bu değerden büyük değerler sağ tarafındadır. Yani daha büyük değerlerle yaklaşılması sağdan limit adını alır.
13.Soru
Denklem sistemi aşağıdaki örnekte verilen doğrusal ve doğrusal olmayan iki denklemden oluşmuştur.
y2 + x - 1 = 0
y + (1/2)x = 1
x = 2 – 2y dir.
Buna göre doğrusal denklem çözüldüğünde x ve y değeri aşağıdakilerden hangisidir?
|
y* = 1, x* = 0 |
|
y* = 2, x* = 0 |
|
y* = 0, x* = 0 |
|
y* = 3, x* = 1 |
|
y* = 1, x* = 3 |
x değerinin doğrusal olmayan fonksiyonda yerine konulmas› gerekir. Yerine koyma işlemi sonucunda;
y2 + (2 – 2y) – 1 = y2 – 2y + 1 = (y – 1)2 = 0
y* = 1 ve x* = 2 - (2 * 1) = 0 dır.
14.Soru
Bir ekonomide tüketim fonksiyonu C=0,5Y+200 ve yatırımlar I=500 olarak belirlenmiştir. Yatırım harcamalarındaki 50 birimlik artış sonucunda milli gelirin denge düzeyi ne kadar artar?
|
50
|
|
100
|
|
150
|
|
200
|
|
250
|
15.Soru
Bir malın fiyatı %10 arttığında talebi %15 azalıyorsa, bu malın esnekliğiyle ile ilgili aşağıdaki ifadelerden hangisi doğrudur?
|
Esneklik değeri - 1,5 ve birim esnektir. |
|
Esneklik değeri 1,5 ve birim esnektir. |
|
Esneklik değeri 0.15 ve talep esnekliği düşüktür. |
|
Esneklik değeri - 0.15 ve talep esnekliği düşüktür. |
|
Esneklik değeri 1,5 ve talep esnekliği yüksektir. |
Talep esnekliğini hesaplamak için kullanacağımız esneklik formülü: - (talep edilen miktardaki yüzde değişim / malın fiyatındaki yüzde değişim)
Buna göre esneklik değeri: - (0.15/0.10)=1.5 olacaktır.
Esneklik değeri 1'den büyük olacağı için talep esnekliği yüksektir.
16.Soru
Genel formda ifade edilen tüketim fonksiyonu C=a+bY biçiminde ise, yatırımlar gelirden bağımsız (otonom) olarak belirleniyorsa, buradan elde edilecek çarpan aşağıdakilerden hangisidir?
|
a/b
|
|
2ab
|
|
1/(1-b)
|
|
1/2a
|
|
2b-4a
|
17.Soru
Yukarıda görülen grafikte her iki fonksiyonun denklem sisteminin çözümü aşağıdakilerden hangisidir?
|
x = y = 3 |
|
x = 3, y =5 |
|
x = 2, y = 3 |
|
y = 2/3x |
|
2/3x = 45/7y |
Grafikte iki doğrusal denklemin eğim-kesişim fonksiyonu bulunmaktadır.
İlk doğrusal fonksiyonumuz: y = 50/7 - 5/7x
İkinci doğrusal fonksiyonumuz: y = 2/3x + 3
Her bir doğrusal denklem için, lineer (doğrusal) fonksiyonları grafik olarak ifade etmek istersek aşağıdaki soruda gösterilen doğrusal denklemleri elde ederiz.
Sorudaki grafikte görüldüğü gibi doğrusal iki fonksiyonun kesiştiği noktada y değerleri aynı olmalıdır. Bundan dolayı, y cinsinden yazılmış olan iki doğrusal fonksiyonun birbirine eşitlenmesi gerekir. Bu işlemin yapılması durumunda;
50/7 - 5/7 x = y = 2/3 x + 3
eşitliği elde edilir. Buradan bilinenlerle bilinmeyenleri bir tarafa almamız durumunda;
50/7 - 3 = 2/3 x + 5/7x
150 - 63 = 14x + 15x
87 = 29x
x = 87/29 = 3
sonucunu buluruz. Çözüm sonucunda x değerini 3 olarak bulundu. y değerini hesaplamak için eğim-kesişim formunun doğrusal fonksiyonlarından herhangi birini kullanabiliriz. Denklemlerden ikincisini kullanalım. Bu denklemde x yerine 3 değerini ikame etmemiz durumunda;
y = 2/3 * (3) + 3 = 5
y değeri 5 olarak hesaplanır.
Denklem sisteminin çözümü ise: x = 3, y = 5’dir.
Doğru cevap B'dir.
18.Soru
Dışa kapalı bir ekonomide tüketim fonksiyonu C(Y)=1050+0,7Y, otonom yatırımlar I=275, otonom kamu harcamaları G=325 şeklinde verilmiştir. Buna göre denge milli gelir düzeyini hesaplayınız?
|
3500
|
|
4500
|
|
5500
|
|
6500
|
|
7500
|
19.Soru
Tek bir satır ya da sütundan oluşan matrislere ne ad verilir?
|
Fonksiyon
|
|
Vektör
|
|
Karesel matris
|
|
Üçgensel matris
|
|
Simetrik matris
|
20.Soru
Maliyet fonksiyonu TC=4Q+300 ve talep fonksiyonu P=130-3Q olarak veriliyor. Buna göre maksimum kar nedir?
|
1023 |
|
2646 |
|
3548 |
|
4200 |
|
5125 |
Maliyet fonksiyonu TC=4Q+300
Talep fonksiyonu P= 130-3Q
Hasıla fonksiyonu TR= P.Q=(130-3Q)Q
=130Q-3Q2 olarak bulunur.
Kar fonksiyonu=Hasıla-Maliyet
= 130Q-3Q2-(4Q+300)
= 130Q-3Q2-4Q-300
=126Q-3Q2-300
Maksimum karı bulmak için önce kar fonksiyonunun türevi alınıp sıfıra eşitlenir.
126-6Q=0 buradan Q=21 elde edilir. Karı maksimum yapan miktar 21 dir. Bu üretim ya da satışı maksimum yapan miktardaki kar değeri ise bu değerin kar fonksiyonunda yerine yazılması ile elde edilen değer olacaktır.
Kar=126.21-3.212-300= 2646-1323-300=1023 bulunur.
-
- 1.SORU ÇÖZÜLMEDİ
- 2.SORU ÇÖZÜLMEDİ
- 3.SORU ÇÖZÜLMEDİ
- 4.SORU ÇÖZÜLMEDİ
- 5.SORU ÇÖZÜLMEDİ
- 6.SORU ÇÖZÜLMEDİ
- 7.SORU ÇÖZÜLMEDİ
- 8.SORU ÇÖZÜLMEDİ
- 9.SORU ÇÖZÜLMEDİ
- 10.SORU ÇÖZÜLMEDİ
- 11.SORU ÇÖZÜLMEDİ
- 12.SORU ÇÖZÜLMEDİ
- 13.SORU ÇÖZÜLMEDİ
- 14.SORU ÇÖZÜLMEDİ
- 15.SORU ÇÖZÜLMEDİ
- 16.SORU ÇÖZÜLMEDİ
- 17.SORU ÇÖZÜLMEDİ
- 18.SORU ÇÖZÜLMEDİ
- 19.SORU ÇÖZÜLMEDİ
- 20.SORU ÇÖZÜLMEDİ