Mathematics 1 Final 11. Deneme Sınavı
Toplam 19 Soru1.Soru
Wthat is he slope of the tangent line to the curve y = x3 - 2x + 5 at the point (0, 4) equal to?
|
2 |
|
4 |
|
6 |
|
8 |
|
12 |
The derivative of the function f is equal to 3x2 + 2. When the point is plug into the derivative it yields to 3*(0)2 + 2 = 2. The answer is 2, choice A.
2.Soru
For z = x²+xy, and x=u²-v and y=-uv, find the partial derivative ?z / ?v at u=2, v=-1.
|
-22 |
|
-12 |
|
0 |
|
7 |
|
9 |
?z / ?v = (?z / ?x) . (?x / ?v)+ (?z / ?y) . (?y / ?v)
?z / ?v = (2x+y) . (-1) + (x) . (-u)
Hence, x=u²-v and y=-uv
?z / ?v = (2(u²-v)+(-uv)) . (-1) + (u²-v) . (-u)
By the way u=2, v=-1
?z / ?v = (2(5)+(2)) . (-1) + (5) . (-2)= -22
3.Soru
For z = x²+ylnx, and x=u³+v² and y=v, find the partial derivative ?z / ?v at u=1, v=-3.
|
-7 |
|
0 |
|
3 |
|
7 |
|
11 |
For z = x²+ylnx, and x=u³+v² and y=v, find the partial derivative ?z / ?v at u=1, v=0.
?z / ?v = (?z / ?x) . (?x / ?v)+ (?z / ?y) . (?y / ?v)
?z / ?v = (2x+(y/x)) . (2v) + (lnx) . (1)
Hence, x=u³+v² and y=v
?z / ?v = (2(u³+v²)+(v/(u³+v²))) . (2v) + (ln(u³+v²)) . (1)
On substitution u=1, v=0
?z / ?v = (2(1)+(0)) . (0) + (0) . (1)= 0
5.Soru
The fixed cost of a product is 4.000 TL, variable cost for one unit is 0.4 TL and the selling price of the product is 4.4 TL. Which of the following is the break-even point ?
|
1.400 |
|
900 |
|
800 |
|
1.200 |
|
1.000 |
R(x) = p x = 4.4 x ; C(x) 4.0000 + 0.4 x ; 4.4 x = 4.000 + 0.4 x ; 4 x = 4.000 ; x = 1.000 . pg. 161. Correct answer is E.
6.Soru
Which of the following is not true for an exponential function f(x)=ax if 0<a<1?
|
Domain of the exponential function f(x)=ax is (-∞, ∞) |
|||||||||||||||||||||||||||||||||||||||||||||||||||||||
|
Range of the exponential function f(x)=ax is (0, ∞) | |||||||||||||||||||||||||||||||||||||||||||||||||||||||
|
The exponential function f(x)=ax is increasing |
|||||||||||||||||||||||||||||||||||||||||||||||||||||||
|
As x goes to minus infinity, f(x)=ax
As x goes to infinity, f(x)=ax
Yanıt Açıklaması:
f(x)=ax is not an increasing function for 0<a<1. It is a decreasing function. 7.SoruWhat is the derivative of the function which is given below? f(x)=(x²-7)1/2
Yanıt Açıklaması:
By using the chain rule, f'(x)=1/2.(x²-7)-1/2.(x²-7)' f'(x)=1/2.(x²-7)-1/2.2x f'(x)=x.(x²-7)-1/2 f'(x)=x/(x²-7)1/2 8.SoruWhich of the following is the slope of the graph of
Yanıt Açıklaması:
9.SoruWhich of the following is the value of
Yanıt Açıklaması:
From the quotient rule for limits together with
10.Soruf(x) = x2 – 2 for x < 3 ; f(x) = x3 – 2 for x > 3 ; while approaching from the left limx›3 f(x) = ?
Yanıt Açıklaması:
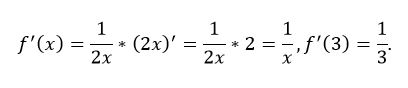
y = 9 – 2 = 7. pg. 109. Correct answer is D. 12.SoruGivenn the function f(x)=ln(2x), find the second derivative
Yanıt Açıklaması:
13.SoruA company produces a certain item whose demand function is and supply function is For what values of x is there a market surplus?
Yanıt Açıklaması:
We first find the equilibrium point by equating the supply and demand functions. Therefore, the equality gives Since there will be a surplus in the market, to the right of this point the correct answer is 14.Soru
Yanıt Açıklaması:
If a rule defining a function is given but the domain has not been specified explicitly, then the largest set which makes the rule meaningful is understood. This set is denoted by Df for the rule y=f (x) and is called the natural domain of the function. The function given by the rule f(x) = As also understood from the information given, the correct answer is E. 16.SoruFor given sets A and B assume that s(A) = 16, s(B) = 20 and s(A ∪ B) = 26. Find s(B \ A).
Yanıt Açıklaması:
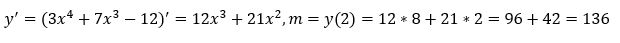
s(A ∩ B) = s(A) + s(B) – s(A ∪ B) 17.SoruLet m=9 be the slope of the tangent line to the curve
Yanıt Açıklaması:
The solution is quite straightforward. The slope is the derivative of the function at the given point so f' (x)=3(a+3) x2-4x-5 whose value at x=1 is m=3(a+3)-9. This value is 9 so that a=3. 18.SoruWhich of the following is a polynomial function, with degree 0?
Yanıt Açıklaması:
The degree of f(x) = 1 is 0 since it consists of only a constant term. 19.SoruWhat is the slope of the tangent line to the curve y=3x2-1 at point (2, 11)?
Yanıt Açıklaması:
Let denote the slope with m. Then:
© 2019 sorular.net
IOS Uygulamamız Güncellendi! |