Mathematics 1 Final 8. Deneme Sınavı
Toplam 20 Soru1.Soru
Which one is an irrational number?
|
0 |
|
2 |
|
3/4 |
|
π |
|
0.5 |
A real number which is not a rational is an irrational number. π=3.14 ... in an irrational numbers.
2.Soru
Which of the following is the value of limx›7 [(x2 -2x - 35) / (x - 7)]
|
6 |
|
7 |
|
12 |
|
24 |
|
42 |
The function is a rational function. Because the limits of the numerator and the denominator are equal to 0, we need to factorise the ratio which follows as
[(x2 -2x - 35) / (x - 7)] = [(x - 7) (x + 5)] / x-7 = x + 5.
Following the limit rules, we find limx›7 x + 5 = 7 + 5 = 12.
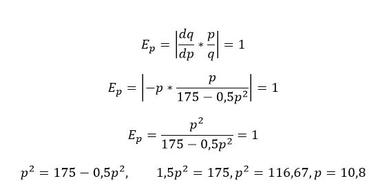
3.Soru
The bus company BusAway determines that when a return ticket between Eskişehir and Ankara costs p TL (0<p<120), the daily demand for tickets is q=175-0,5(p^2). Which of the following is the value of p for which the demand is of unit elasticity?
|
6,5 |
|
7 |
|
8 |
|
10,8 |
|
12,8 |
We need to equate the demand of elasticity to one,
The answer is D.
4.Soru
z = x2 – y ; x = u2 v ; y = u2 + v2 ; at u = v = -1, ?z / ?u = ?
|
-2 |
|
3 |
|
-1 |
|
-4 |
|
1 |
z = u4 v2 – u2 – v2 ; ?z / ?u = 4 u3 v2 – 2 u ; at u = v = -1, ?z / ?u = -2 . pg. 188. Correct answer is A.
5.Soru
limx→-∞ (x4 + x3 – 1) / (x5 + x2 + 1) = ?
|
1 |
|
does not exist |
|
∞ |
|
0 |
|
-∞ |
0 ; Since the degree of the numerator is less than the degree of the denominator. pg. 114. Correct answer is D.
6.Soru
What is the value of the limit;
lim(x,y)›(0,0) (5x²+y²) / (x²+y²)=?
|
-5 |
|
0 |
|
2 |
|
5 |
|
does not exist. |
y=kx,
(5x²+k²x²) / (x²+k²x²)=x²(5+k²) / x²(1+k²)=(5+k²) / (1+k²).
By the way we have an answer depending on k, the limit does not exist.
7.Soru
The total cost of A is C (x) = 2.400 + (2 x2 - 120 x) / 3 , where x represents the quantity produced. Which of the following is the production quantity that makes the cost minimum ?
|
30 |
|
40 |
|
64 |
|
80 |
|
24 |
Local minimum : C'(x) = 4 x – 120 = 0 ; x = 30 ; C'' (30) = 4 > 0 . pg. 164. Correct answer is A.
8.Soru
If the total cost function of a product is given by C(x)=4x+750, and the demand is p=10-(2x/4) which of the following is the maximum profit obtained through the sales of this product?
|
3 |
|
6 |
|
5 |
|
7 |
|
9 |
The total revenue function for the product is,
R(x)=p*x=10-(2x/4)*x=10x-2(x^2)/4
Since the total profit is the difference between the total revenue and the total cost function we have
The answer is C.
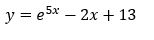
9.Soru
For the function , find the second derivative
|
1 |
|
-1 |
|
5e |
|
25e |
|
0 |
The answer is A.
10.Soru
The demand function of A is p = 40 – (x / 2), the fixed cost 48 TL, and the variable cost for each item produced is 4 TL ; what is the maximum profit ?
|
448 |
|
860 |
|
600 |
|
1.022 |
|
1.296 |
P(x) = R(x) – C(x) ; R(x) = (40 – (x / 2)) x ; C(x) = 48 + 4 x ; P(x) = -0.5 x2 + 36 x – 48 ; P'(x) = -x + 36 = 0 ; x = 36 ; P(36) = 600 . pg. 164. Correct answer is C.
11.Soru
limx›-1 5-1 = ?
|
-1 |
|
0 |
|
0.2 |
|
1 |
|
-0.2 |
0.2 ; limit of a constant is itself. pg. 107. Correct answer is C .
12.Soru
For the function , find the derivative
at the point x=0.
|
8 |
|
9 |
|
11 |
|
e |
|
e + 1 |
The answer is A.
13.Soru
|
-2xe-x2 |
|
e-x2 (-2+4x2) |
|
ex2 (-2+4x2) |
|
-e-x2 (-2-4x2) |
|
4x e-x2 |
14.Soru
limx›2 (x – x-1) (x2 – 1) = ?
|
4.5 |
|
1.5 |
|
2.5 |
|
0.5 |
|
5.5 |
(2 – 05) (4 – 1) = 4.5. pg. 110. Correct answer is A.
15.Soru
f(x, y) = exy + xy2 – xy + 2 ; ?2f / ?y2 = ?
|
x exy + 2 x y – x |
|
exy + 2 x |
|
x2 exy + x |
|
x exy + x |
|
x2 exy + 2 x |
?f / ?y = x exy + 2xy – x ; ?2f / ?y2 = x2 exy + 2x . pg. 183. Correct answer is E.
16.Soru
Find the equation of the tangent plane to z=ln(2x+y) at (-1,3).
|
z=4x+2y-2 |
|
z=x+2y-3 |
|
z=2x+y-1 |
|
z=-2x+2y-3 |
|
z=3x+y-3 |
f(x,y)=ln(2x+y) z0=ln1=0
?f/?x =2/(2x+y) =2
?f/?y=1/(2x+y)=1
then, z-0=2(x-(-1))+1(y-3)
z=2(x+1)+y-3
z=2x+y-1
17.Soru
The utility function of a consumer is defined by U(x,y)=x0.5y0.5 who is constrained by the budget 120=2x+4y (He has 120 liras to spend on x and y, whose prices are 2 and 4 liras respectively). What are the amounts of (x,y) that maximizes his utility given that he spends all his budget?
|
(30,20) |
|
(30,15) |
|
(60,0) |
|
(0,30) |
|
(40,10) |
We can decrease the number of unknown variables to one by substitution.
Since 120=2x+4y, y=(120-2x)/4=30-0.5x
Then we can rewrite his utility function as U(x,y)=x0.5y0.5=U(x)=x0.5(30-0.5x)0.5=(x(30-0.5x))0.5=(30x-0.5x2)0.5
For the maximum utility the first derivative of utility with respect to x must be equal to zero. Thus:
Ux=0.5(30-x)(30x-0.5x2)-0.5=0
30-x=0, which means x=30. Substituting this in y=30-0.5x=15. Thus the utility maximizing combination of (x,y)=(30,15)
18.Soru
What is the derivative of f(x)=(3x2+5x)/(2x-1)
|
(6x2-6x-5)/(4x2-4x+1) |
|
(6x2+6x-5)/(4x2+4x-1) |
|
(12x2-6x-5)/(4x2-4x+1) |
|
(12x2-4x-5)/(4x2-4x+1) |
|
1/(4x2-4x+1) |
If f(x)=h(x)/g(x) then f '(x)=(h '(x)g(x)-g '(x)h(x))/g2(x) from the Quitent rule.
So if f(x)=(3x2+5x)/(2x-1),
then:
f '(x)=(h '(x)g(x)-g '(x)h(x))/g2(x)=((6x+5)*(2x-1)-2(3x2+5x))/(2x-1)2
=(12x2+4x-5-6x2-10x)/(2x-1)2
=(6x2-6x-5)/(4x2-4x+1)
19.Soru
If then
|
∞ |
|
0 |
|
1 |
|
-1 |
|
2 |
The function is a rational function. Since the degree o the numerator is greater than the degreeof the denominator, the following result is true:
. The answer is A.
20.Soru
The function z=f(x, y) is implicitly defined by x2y-3y2+2zx=0. Find dz/dx
|
-y-2z/x |
|
-z-2y/x |
|
-x-2z/y |
|
-x-2y |
|
x+y |
x2y-3y2+2zx=0
2xydx+x2dy-6ydy+2xdz+2zdx=0
Since we are interested in dz/dx we can take dy=0 (y doesnt is constant).
So 2xydx+2xdz+2zdx=0 then 2xdz=-2xydx-2zdx and divind both sides to dx we obtain 2xdz/dx=-2xy-2z
so dz/dx=(-2xy-2z)/2x=-y-2z/x
-
- 1.SORU ÇÖZÜLMEDİ
- 2.SORU ÇÖZÜLMEDİ
- 3.SORU ÇÖZÜLMEDİ
- 4.SORU ÇÖZÜLMEDİ
- 5.SORU ÇÖZÜLMEDİ
- 6.SORU ÇÖZÜLMEDİ
- 7.SORU ÇÖZÜLMEDİ
- 8.SORU ÇÖZÜLMEDİ
- 9.SORU ÇÖZÜLMEDİ
- 10.SORU ÇÖZÜLMEDİ
- 11.SORU ÇÖZÜLMEDİ
- 12.SORU ÇÖZÜLMEDİ
- 13.SORU ÇÖZÜLMEDİ
- 14.SORU ÇÖZÜLMEDİ
- 15.SORU ÇÖZÜLMEDİ
- 16.SORU ÇÖZÜLMEDİ
- 17.SORU ÇÖZÜLMEDİ
- 18.SORU ÇÖZÜLMEDİ
- 19.SORU ÇÖZÜLMEDİ
- 20.SORU ÇÖZÜLMEDİ